Seo Junghee, Cabelof Alyssa C, Chen Chun-Hsing, Caulton Kenneth G
Indiana University , Department of Chemistry , 800 E. Kirkwood Ave. , Bloomington , IN 47401 , USA . Email:
Chem Sci. 2018 Oct 16;10(2):475-479. doi: 10.1039/c8sc02979b. eCollection 2019 Jan 14.
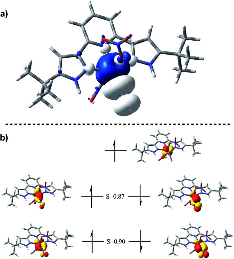
1,4-Bis(trimethylsilyl)-1,4-diaza-2,5-cyclohexadiene is an effective silyl transfer reagent towards the oxygen of nitrate coordinated to Cr(iii) in a pincer complex. Two nitrate oxygens are removed to give the 17 valence electron octahedral complex (HL)Cr(NO)(NO). This is shown by a variety of spectroscopic methods, together with DFT, to be a Cr(i) complex with a linear CrNO unit. This work also identifies future applications of this reductive silylation process.
1,4-双(三甲基硅基)-1,4-二氮杂-2,5-环己二烯是一种有效的硅基转移试剂,可作用于钳形配合物中与Cr(iii)配位的硝酸根的氧原子。两个硝酸根氧原子被去除,生成17价电子的八面体配合物(HL)Cr(NO)(NO)。通过多种光谱方法以及密度泛函理论(DFT)表明,这是一种具有线性CrNO单元的Cr(i)配合物。这项工作还确定了这种还原硅烷化过程的未来应用。