Suppr超能文献

一种用于食管鳞状细胞癌患者的基于炎症的新型预后指数:中性粒细胞淋巴细胞比值/前白蛋白比值。

A novel inflammation-based prognostic index for patients with esophageal squamous cell carcinoma: Neutrophil lymphocyte ratio/prealbumin ratio.

作者信息

Lv Yajuan, Zhang Jiandong, Liu Zhen, Tian Yuan, Liu Fengjun

机构信息

Department of Radiation Oncology, Shandong Provincial Qianfoshan Hospital affiliated to Shandong University, Jinan, Shandong, PR China.

出版信息

Medicine (Baltimore). 2019 Feb;98(7):e14562. doi: 10.1097/MD.0000000000014562.

Abstract

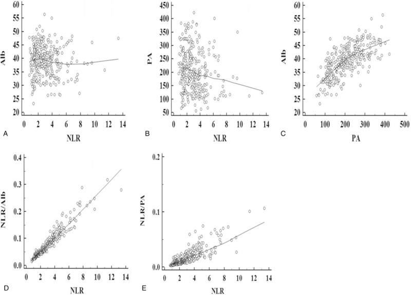
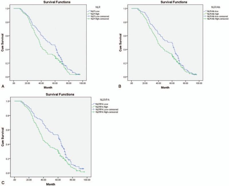
NLR/Alb (neutrophil lymphocyte ratio/albumin ratio), is a prognostic index for esophageal cancer has been confirmed. Prealbumin (PA) is more sensitive to malnutrition than albumin. A new prognostic index, named neutrophil lymphocyte ratio/prealbumin ratio (NLR/PA), for predicting the survival time in patients with esophageal squamous cell carcinoma (ESCC) was proposed.A retrospective study of 315 cases with ESCC was enrolled. The optimal cut-off values were evaluated by ROC curve (the receiver operating characteristics curve). Pearson correlation analyses were used to calculate the correlations among NLR, Alb, NLR/Alb and NLR/PA. The overall survival (OS) was calculated by Kaplan-Meier method. Cox regression analyses were performed to evaluate the prognostic factors.The optimal cut-off value was 0.01 for NLR/PA according to ROC curve. According to multivariate analyses, TNM stage, NLR, NLR/Alb, NLR/PA were prognostic factors for OS. The AUC area (the area under the receiver operating characteristics curves) of the NLR/PA was higher than the areas of NLR and NLR/Alb for all the patients. The index of NLR/ PA had a higher AUC area than that of the index of NLR or NLR/Alb for patients in stage I-II. But in stage III-IVA, the index of NLR had a higher AUC area than that of the index of NLR/PA or NLR/Alb.The index of NLR/PA is superior to the index of NLR as a prognostic indicator for patients with early stage (stage I-II) ESCC.

摘要

中性粒细胞与淋巴细胞比值/白蛋白比值(NLR/Alb)是已被证实的食管癌预后指标。前白蛋白(PA)比白蛋白对营养不良更敏感。提出了一种新的预后指标,即中性粒细胞与淋巴细胞比值/前白蛋白比值(NLR/PA),用于预测食管鳞状细胞癌(ESCC)患者的生存时间。

纳入了315例ESCC患者的回顾性研究。通过ROC曲线(受试者工作特征曲线)评估最佳截断值。采用Pearson相关分析计算NLR、Alb、NLR/Alb和NLR/PA之间的相关性。采用Kaplan-Meier法计算总生存期(OS)。进行Cox回归分析以评估预后因素。

根据ROC曲线,NLR/PA的最佳截断值为0.01。多因素分析显示,TNM分期、NLR、NLR/Alb、NLR/PA是OS的预后因素。对于所有患者,NLR/PA的AUC面积(受试者工作特征曲线下面积)高于NLR和NLR/Alb的面积。对于I-II期患者,NLR/PA指标的AUC面积高于NLR或NLR/Alb指标。但在III-IVA期,NLR指标的AUC面积高于NLR/PA或NLR/Alb指标。

对于早期(I-II期)ESCC患者,NLR/PA指标作为预后指标优于NLR指标。

https://cdn.ncbi.nlm.nih.gov/pmc/blobs/5f37/6407987/245d618ad30a/medi-98-e14562-g002.jpg

文献检索

告别复杂PubMed语法,用中文像聊天一样搜索,搜遍4000万医学文献。AI智能推荐,让科研检索更轻松。

立即免费搜索

文件翻译

保留排版,准确专业,支持PDF/Word/PPT等文件格式,支持 12+语言互译。

免费翻译文档

深度研究

AI帮你快速写综述,25分钟生成高质量综述,智能提取关键信息,辅助科研写作。

立即免费体验