• 文献检索
  • 文档翻译
  • 深度研究
  • 学术资讯
  • Suppr Zotero 插件Zotero 插件
  • 邀请有礼
  • 套餐&价格
  • 历史记录
应用&插件
Suppr Zotero 插件Zotero 插件浏览器插件Mac 客户端Windows 客户端微信小程序
定价
高级版会员购买积分包购买API积分包
服务
文献检索文档翻译深度研究API 文档MCP 服务
关于我们
关于 Suppr公司介绍联系我们用户协议隐私条款
关注我们

Suppr 超能文献

核心技术专利:CN118964589B侵权必究
粤ICP备2023148730 号-1Suppr @ 2026

文献检索

告别复杂PubMed语法,用中文像聊天一样搜索,搜遍4000万医学文献。AI智能推荐,让科研检索更轻松。

立即免费搜索

文件翻译

保留排版,准确专业,支持PDF/Word/PPT等文件格式,支持 12+语言互译。

免费翻译文档

深度研究

AI帮你快速写综述,25分钟生成高质量综述,智能提取关键信息,辅助科研写作。

立即免费体验

应用 NIPAM 凝胶剂量学对使用均整滤过(FF)和无均整滤过(FFF)放射治疗的三维剂量比较。

Three-dimensional dose comparison of flattening filter (FF) and flattening filter-free (FFF) radiation therapy by using NIPAM gel dosimetry.

机构信息

Biomaterials Translational Research Center, China Medical University Hospital, Taichung City, Taiwan, R.O.C.

Department of Biomedical Imaging and Radiological Science, China Medical University, Taichung City, Taiwan, R.O.C.

出版信息

PLoS One. 2019 Feb 21;14(2):e0212546. doi: 10.1371/journal.pone.0212546. eCollection 2019.

DOI:10.1371/journal.pone.0212546
PMID:30789968
原文链接:https://pmc.ncbi.nlm.nih.gov/articles/PMC6383886/
Abstract

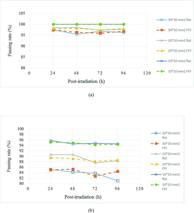
Intensity-modulated radiotherapy and volumetric modulated arc therapy are modern radiation therapy technologies that can create the desired dose distribution by multileaf collimator movement and dose-rate control. However, the homogeneous dose delivery of small-field irradiation techniques shows disagreement with that of treatment planning system. The removal of the flattening filter by flattening filter free (FFF) beam irradiation increases dose conformity and further reduces treatment delivery time in radiosurgery. This study aims to investigate the dose distribution of FFF and flattened beams for small-field irradiation by using the 3D gel dosimeter. The N-isopropylacrylamide (NIPAM) polymer gel dosimeter was employed to record the 3D dose distribution. In addition, flattened and FFF beams were compared using the gamma evaluation technique. The use of an FFF accelerator resulted in excellent radiation treatments with short delivery times and low doses to normal tissues and organs. Results also showed that the passing rate increased with the decrease of field size (30 × 30, 20 × 20, and 10 × 10 mm2) at post-irradiation times of 24, 48, 72, and 96 h. The passing rates for each field size were retained at the same level when gamma criteria, namely, distance-to-agreement (DTA) = 3 mm/dose difference (DD) = 3%, were used. Nevertheless, the passing rates for each field size decreased slowly after 48 h when DTA = 2 mm/DD = 2%. The Wilcoxon signed-rank test was used to determine statistical difference with a significant level of p < 0.05. The passing rates of flattened and FFF beams showed no significant difference. The edge enhancement effect in the flattened beam was more evident than in the FFF beam. The 3D NIPAM gel dosimeter can be used for dose verification of small field for radiation therapy with high dose rate.

摘要

强度调制放疗和容积旋转调强放疗是现代放疗技术,通过多叶准直器的运动和剂量率控制来实现所需的剂量分布。然而,小野照射技术的均匀剂量分布与治疗计划系统的结果存在差异。通过使用无均整滤过(FFF)射束,消除了均整滤过器,提高了剂量适形度,并进一步缩短了立体定向放射治疗的治疗时间。本研究旨在使用 3D 凝胶剂量计研究 FFF 和常规射束用于小野照射的剂量分布。使用 N-异丙基丙烯酰胺(NIPAM)聚合物凝胶剂量计记录 3D 剂量分布。此外,还使用伽马评估技术比较了常规射束和 FFF 射束。使用 FFF 加速器可实现出色的放射治疗,治疗时间短,对正常组织和器官的剂量低。结果还表明,随着照射后时间的增加(24、48、72 和 96 h),随着射野尺寸的减小(30×30、20×20 和 10×10 mm2),通过率也随之增加。当伽马标准(即距离一致性(DTA)= 3 mm/剂量差(DD)= 3%)时,每个射野尺寸的通过率都保持在相同水平。然而,当 DTA = 2 mm/DD = 2%时,每个射野尺寸的通过率在 48 h 后缓慢下降。使用 Wilcoxon 符号秩检验确定具有显著水平 p < 0.05 的统计学差异。常规射束和 FFF 射束的通过率没有显著差异。常规射束的边缘增强效果比 FFF 射束更明显。3D NIPAM 凝胶剂量计可用于高剂量率放射治疗中小野的剂量验证。

https://cdn.ncbi.nlm.nih.gov/pmc/blobs/64eb/6383886/b6cbd6337eec/pone.0212546.g006.jpg
https://cdn.ncbi.nlm.nih.gov/pmc/blobs/64eb/6383886/985f6c96e51b/pone.0212546.g001.jpg
https://cdn.ncbi.nlm.nih.gov/pmc/blobs/64eb/6383886/45c31dfb07de/pone.0212546.g002.jpg
https://cdn.ncbi.nlm.nih.gov/pmc/blobs/64eb/6383886/2570d32f7773/pone.0212546.g003.jpg
https://cdn.ncbi.nlm.nih.gov/pmc/blobs/64eb/6383886/7ca62f1422f7/pone.0212546.g004.jpg
https://cdn.ncbi.nlm.nih.gov/pmc/blobs/64eb/6383886/0a557aaf56a4/pone.0212546.g005.jpg
https://cdn.ncbi.nlm.nih.gov/pmc/blobs/64eb/6383886/b6cbd6337eec/pone.0212546.g006.jpg
https://cdn.ncbi.nlm.nih.gov/pmc/blobs/64eb/6383886/985f6c96e51b/pone.0212546.g001.jpg
https://cdn.ncbi.nlm.nih.gov/pmc/blobs/64eb/6383886/45c31dfb07de/pone.0212546.g002.jpg
https://cdn.ncbi.nlm.nih.gov/pmc/blobs/64eb/6383886/2570d32f7773/pone.0212546.g003.jpg
https://cdn.ncbi.nlm.nih.gov/pmc/blobs/64eb/6383886/7ca62f1422f7/pone.0212546.g004.jpg
https://cdn.ncbi.nlm.nih.gov/pmc/blobs/64eb/6383886/0a557aaf56a4/pone.0212546.g005.jpg
https://cdn.ncbi.nlm.nih.gov/pmc/blobs/64eb/6383886/b6cbd6337eec/pone.0212546.g006.jpg

相似文献

1
Three-dimensional dose comparison of flattening filter (FF) and flattening filter-free (FFF) radiation therapy by using NIPAM gel dosimetry.应用 NIPAM 凝胶剂量学对使用均整滤过(FF)和无均整滤过(FFF)放射治疗的三维剂量比较。
PLoS One. 2019 Feb 21;14(2):e0212546. doi: 10.1371/journal.pone.0212546. eCollection 2019.
2
Flattening filter free in intensity-modulated radiotherapy (IMRT) - Theoretical modeling with delivery efficiency analysis.调强放射治疗中使用的无均整过滤器 - 基于传输效率分析的理论建模。
Med Phys. 2019 Jan;46(1):34-44. doi: 10.1002/mp.13267. Epub 2018 Nov 20.
3
MO-A-BRB-02: Facts and Fiction of Flattening Filter Free (FF-FFF) X-Rays Beams.MO - A - BRB - 02:无平片滤过(FF - FFF)X射线束的事实与虚构
Med Phys. 2012 Jun;39(6Part20):3861-3862. doi: 10.1118/1.4735765.
4
Re-irradiating spinal column metastases using IMRT and VMAT with and without flattening filter - a treatment planning study.使用有或无均整器的调强放疗(IMRT)和容积调强弧形放疗(VMAT)对脊柱转移瘤进行再照射——一项治疗计划研究
Radiat Oncol. 2016 Mar 1;11:33. doi: 10.1186/s13014-016-0603-0.
5
Radiation-induced second primary cancer risks from modern external beam radiotherapy for early prostate cancer: impact of stereotactic ablative radiotherapy (SABR), volumetric modulated arc therapy (VMAT) and flattening filter free (FFF) radiotherapy.早期前列腺癌现代外照射放疗所致放射性第二原发癌风险:立体定向消融放疗(SABR)、容积调强弧形放疗(VMAT)及无均整器放疗(FFF)的影响
Phys Med Biol. 2015 Feb 7;60(3):1237-57. doi: 10.1088/0031-9155/60/3/1237. Epub 2015 Jan 15.
6
Can volumetric modulated arc therapy with flattening filter free beams play a role in stereotactic body radiotherapy for liver lesions? A volume-based analysis.容积调强弧形治疗技术(FFF 模式)在立体定向体部放疗治疗肝脏病变中是否有作用?一项基于体积的分析。
Med Phys. 2012 Feb;39(2):1112-8. doi: 10.1118/1.3679858.
7
Evaluation of an aSi-EPID with flattening filter free beams: applicability to the GLAaS algorithm for portal dosimetry and first experience for pretreatment QA of RapidArc.评估带有平扫滤波器的非晶硅电子射野影像装置:在 GLAaS 算法用于门控剂量学中的适用性,以及 RapidArc 治疗前 QA 的初步经验
Med Phys. 2013 Nov;40(11):111719. doi: 10.1118/1.4824923.
8
Flattening filter free vs flattened beams for breast irradiation.适形调强野 vs 适形野在乳腺癌放疗中的应用
Int J Radiat Oncol Biol Phys. 2013 Feb 1;85(2):506-13. doi: 10.1016/j.ijrobp.2012.03.040. Epub 2012 Jun 5.
9
The Effect of Flattening Filter Free on Three-dimensional Conformal Radiation Therapy (3D-CRT), Intensity-Modulated Radiation Therapy (IMRT), and Volumetric Modulated Arc Therapy (VMAT) Plans for Metastatic Brain Tumors from Non-small Cell Lung Cancer.无平板滤过器对非小细胞肺癌脑转移瘤三维适形放射治疗(3D-CRT)、调强放射治疗(IMRT)和容积调强弧形治疗(VMAT)计划的影响
Health Phys. 2015 Jul;109(1):1-9. doi: 10.1097/HP.0000000000000278.
10
A comprehensive Study of the Out of Field Non Target Dose Associated with 6 and 10 MV Flattened and Flattening Filter Free X Ray Beam in a True Beam Linear Accelerator.在 TrueBeam 医用直线加速器中,对 6MV 和 10MV 均整和非均整平扫 X 射线射野内的非靶区剂量进行全面研究。
Asian Pac J Cancer Prev. 2024 May 1;25(5):1529-1538. doi: 10.31557/APJCP.2024.25.5.1529.

引用本文的文献

1
Comparison of the dose distribution of the VMAT radiotherapy technique depending on the beam used: FFF-X10MV and FFF-X15MV.基于使用的射束(FFF-X10MV和FFF-X15MV)比较容积调强弧形放疗(VMAT)技术的剂量分布
Rep Pract Oncol Radiother. 2023 Nov 16;28(5):654-660. doi: 10.5603/rpor.97508. eCollection 2023.
2
Feasibility evaluation of N-Isopropyl Acrylamide 3D gel dosimeters for proton therapy.N-异丙基丙烯酰胺 3D 凝胶体剂量计用于质子治疗的可行性评估。
PLoS One. 2023 Sep 12;18(9):e0291507. doi: 10.1371/journal.pone.0291507. eCollection 2023.
3
HyperArc Dosimetric Validation for Multiple Targets Using Ionization Chamber and RT-100 Polymer Gel.

本文引用的文献

1
Dosimetric influence of filtered and flattening filter free photon beam on rapid arc (RA) radiotherapy planning in case of cervix carcinoma.滤过和无均整器光子束对宫颈癌快速弧形(RA)放射治疗计划的剂量学影响
Rep Pract Oncol Radiother. 2017 Jan-Feb;22(1):10-18. doi: 10.1016/j.rpor.2016.09.010. Epub 2016 Oct 17.
2
Single-fraction flattening filter-free volumetric modulated arc therapy for lung cancer: Dosimetric results and comparison with flattened beams technique.单分割无均整器容积调强弧形放疗用于肺癌:剂量学结果及与均整射束技术的比较
Med Dosim. 2016;41(4):334-338. doi: 10.1016/j.meddos.2016.09.002. Epub 2016 Oct 15.
3
使用电离室和RT-100聚合物凝胶对多个靶区进行HyperArc剂量验证
Gels. 2022 Jul 31;8(8):481. doi: 10.3390/gels8080481.
4
Applying the N-isopropylacrylamide gel dosimeter to quantify dynamic dose effects: A feasibility study.应用 N-异丙基丙烯酰胺凝胶剂量计量化动态剂量效应:一项可行性研究。
Technol Health Care. 2022;30(S1):413-424. doi: 10.3233/THC-THC228038.
5
Hydrogels for Three-Dimensional Ionizing-Radiation Dosimetry.用于三维电离辐射剂量测定的水凝胶
Gels. 2021 Jun 21;7(2):74. doi: 10.3390/gels7020074.
Small-Field Measurements of 3D Polymer Gel Dosimeters through Optical Computed Tomography.
通过光学计算机断层扫描对3D聚合物凝胶剂量计进行小场测量。
PLoS One. 2016 Mar 14;11(3):e0151300. doi: 10.1371/journal.pone.0151300. eCollection 2016.
4
Assessment of optical CT as a future QA tool for synchrotron x-ray microbeam therapy.评估光学CT作为同步加速器X射线微束治疗未来质量保证工具的性能。
Phys Med Biol. 2016 Jan 7;61(1):320-37. doi: 10.1088/0031-9155/61/1/320. Epub 2015 Dec 14.
5
Dosimetric verification for intensity-modulated arc therapy plans by use of 2D diode array, radiochromic film and radiosensitive polymer gel.使用二维二极管阵列、放射变色薄膜和放射敏感聚合物凝胶对调强弧形治疗计划进行剂量验证。
J Radiat Res. 2014 May;55(3):541-52. doi: 10.1093/jrr/rrt139. Epub 2014 Jan 20.
6
Commissioning and validation of BrainLAB cones for 6X FFF and 10X FFF beams on a Varian TrueBeam STx.在瓦里安 TrueBeam STx 上对 6XFFF 和 10XFFF 射束的 BrainLAB 准直器进行调试和验证。
J Appl Clin Med Phys. 2013 Nov 4;14(6):4493. doi: 10.1120/jacmp.v14i6.4493.
7
Intensity modulated radiosurgery of brain metastases with flattening filter-free beams.适形调强放射外科治疗脑转移瘤的无均整滤过技术。
Radiother Oncol. 2013 Dec;109(3):448-51. doi: 10.1016/j.radonc.2013.10.017. Epub 2013 Nov 11.
8
Volumetric modulated arc therapy with flattening filter free (FFF) beams for stereotactic body radiation therapy (SBRT) in patients with medically inoperable early stage non small cell lung cancer (NSCLC).容积旋转调强弧形治疗技术(FFF 技术)联合立体定向体部放疗(SBRT)治疗无法手术的早期非小细胞肺癌(NSCLC)。
Radiother Oncol. 2013 Jun;107(3):414-8. doi: 10.1016/j.radonc.2013.04.016. Epub 2013 May 28.
9
Frameless high dose rate stereotactic lung radiotherapy: intrafraction tumor position and delivery time.无框架高剂量率立体定向肺放疗:分次内肿瘤位置和治疗时间。
Radiother Oncol. 2013 Jun;107(3):419-22. doi: 10.1016/j.radonc.2013.04.019. Epub 2013 May 23.
10
Characteristics of a new polymer gel for high-dose gradient dosimetry using a micro optical CT scanner.使用微型光学CT扫描仪进行高剂量梯度剂量测定的新型聚合物凝胶的特性
Appl Radiat Isot. 2010 Jan;68(1):144-54. doi: 10.1016/j.apradiso.2009.08.016. Epub 2009 Sep 3.