Suppr超能文献

使用加速度计评估单侧脑瘫患者的上肢活动。

Actigraph assessment for measuring upper limb activity in unilateral cerebral palsy.

机构信息

Department of Developmental Neuroscience, IRCCS Fondazione Stella Maris, Viale del Tirreno 331, 56128 Calambrone, Pisa, Italy.

Department of Clinical and Experimental Medicine, University of Pisa, Via Roma, 56125, Pisa, Italy.

出版信息

J Neuroeng Rehabil. 2019 Feb 22;16(1):30. doi: 10.1186/s12984-019-0499-7.

Abstract

BACKGROUND

Detecting differences in upper limb use in children with unilateral cerebral palsy (UCP) is challenging and highly dependent on examiner experience. The recent introduction of technologies in the clinical environment, and in particular the use of wearable sensors, can provide quantitative measurement to overcome this issue. This study aims to evaluate ActiGraph GT3X+ as a tool for measuring asymmetry in the use of the two upper limbs (ULs) during the assessment with a standardized clinical tool, the Assisting Hand Assessment (AHA) in UCP patients aged 3-25 years compared to age-matched typically developing (TD) subjects.

METHODS

Fifty children with UCP and 50 TD subjects were assessed with AHA while wearing ActiGraphs GT3X+ on both wrists. The mean activity of each hand (dominant and non-dominant, MA and MA, respectively) and the asymmetry index (AI) were calculated. Two linear mixed model analyses were carried out to evaluate how dependent actigraphic variables (i.e. MA and AI) varied by group (TD vs UCP) and among levels of manual ability based on Manual Ability Classification System (MACS). In both models age, sex, side of hemiplegia, presence/absence of mirror movements were specified as random effects.

RESULTS

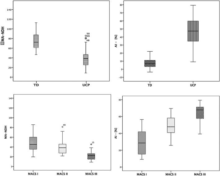
The MA was significantly lower in UCP compared to TD, while the AI was significantly higher in UCP compared to TD. Moreover, in UCP group there were significant differences related to MACS levels, both for MA and AI. None of the random variables (i.e. age, sex, side, presence/absence of mirror movements) showed significant interaction with MA and AI.

CONCLUSIONS

These results confirm that actigraphy could provide, in a standardized setting, a quantitative description of differences between upper limbs activity.

TRIAL REGISTRATION

ClincalTrials.gov, NCT03054441 . Registered 15 February 2017.

摘要

背景

检测单侧脑瘫(UCP)患儿上肢使用差异具有挑战性,且高度依赖于检查者的经验。最近在临床环境中引入的技术,特别是可穿戴传感器的使用,可以提供定量测量,以克服这一问题。本研究旨在评估 ActiGraph GT3X+ 在评估单侧脑瘫患者时,作为一种工具,用于测量两个上肢(UL)使用的不对称性,与年龄匹配的典型发育(TD)对照组相比,使用标准化临床工具,即辅助手评估(AHA)。

方法

对 50 例 UCP 患儿和 50 例 TD 对照组进行 AHA 评估,同时在两个手腕上佩戴 ActiGraph GT3X+。计算每只手的平均活动量(优势手和非优势手,分别为 MA 和 MA)和不对称指数(AI)。进行了两次线性混合模型分析,以评估依赖于活动计变量(即 MA 和 AI)如何随组(TD 与 UCP)和基于手动能力分类系统(MACS)的手动能力水平而变化。在两个模型中,年龄、性别、偏瘫侧、是否存在镜像运动均指定为随机效应。

结果

与 TD 组相比,UCP 组的 MA 明显更低,而 AI 明显更高。此外,在 UCP 组中,MA 和 AI 与 MACS 水平均存在显著差异。年龄、性别、偏瘫侧、是否存在镜像运动等随机变量均与 MA 和 AI 无显著交互作用。

结论

这些结果证实,在标准化设置中,活动计可提供上肢活动差异的定量描述。

试验注册

ClincalTrials.gov,NCT03054441。于 2017 年 2 月 15 日注册。

https://cdn.ncbi.nlm.nih.gov/pmc/blobs/11ae/6387534/8f58b5134065/12984_2019_499_Fig1_HTML.jpg

文献AI研究员

20分钟写一篇综述,助力文献阅读效率提升50倍。

立即体验

用中文搜PubMed

大模型驱动的PubMed中文搜索引擎

马上搜索

文档翻译

学术文献翻译模型,支持多种主流文档格式。

立即体验