Suppr超能文献

超声弹性成像补充评估磁共振成像分期的鼻咽癌颈淋巴结 N0 患者的淋巴结状态。

Ultrasound Elastography supplement assessing nodal status of magnetic resonance imaging staged cervical N0 patients with nasopharyngeal carcinoma.

机构信息

Department of Diagnostic and Interventional Ultrasound, Sun Yat-Sen University Cancer Center, State Key Laboratory of Oncology in South China, Collaborative Innovation Center for Cancer Medicine, No.651, Dong-feng-dong Road, Guangzhou, 510060, China.

Department of Radiation Oncology, Sun Yat-Sen University Cancer Center, State Key Laboratory of Oncology in South China, Collaborative Innovation Center for Cancer Medicine, No.651, Dong-feng-dong Road, Guangzhou, 510060, China.

出版信息

Cancer Imaging. 2019 Mar 4;19(1):12. doi: 10.1186/s40644-019-0199-3.

Abstract

BACKGROUND

To determine whether ultrasound elastography can distinguish reactive or metastatic small lymph nodes (sLN) of magnetic resonance imaging (MRI) staged cervical N0 patients with nasopharyngeal carcinoma (NPC).

METHODS

A pilot study was performed involving the diagnostic performances of conventional high-frequency ultrasound (CHFU) and/or shear wave elastography (SWE) for predicting metastases in sLN of MRI-staged N0 NPC patients with reference to the histologically-proven ultrasound guided core needle biopsy (US-CNB). The diagnosis of CHFU was based on the superficial lymph node ultrasonic criteria with the five-point-scale (FPS). The mean (Emean), minimum (Emin) and maximum (Emax) of the elasticity indices were measured by SWE at the stiffest part of the sLN in kilopascal. Diagnostic performances were analyzed using a receiver operating curve (ROC) on a per-node basis. The authenticity of this article has been validated by uploading the key raw data onto the Research Data Deposit public platform ( http://www.researchdata.org.cn ), with the approval RDD number as RDDA2017000447.

RESULTS

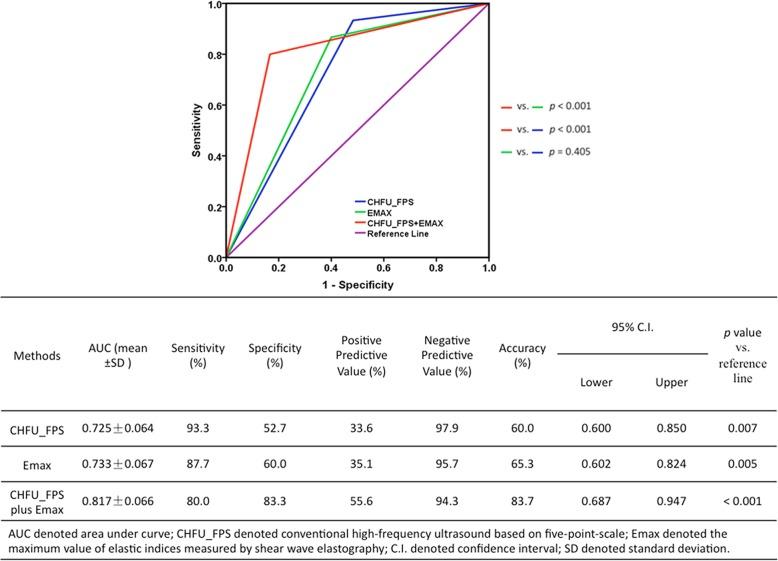
All 113 cervical sLN of 49 MRI-staged cervical N0 NPC patients underwent evaluation of CHFU and SWE; 38 sLN (FPS < 2) were regarded as benign, which were excluded from subsequent analysis due to none biopsy-proven. And 75 indeterminate sLN (FPS ≥ 2) were referred to US-CNB and revealed 15 (20%) metastases. All SWE elastic indices were significantly higher in malignant sLNs than in benign sLNs (p < 0.05). Moreover, Emax exhibited the highest diagnostic value (AUC:0.733 ± 0.067, p = 0.005) with excellent measurement reproducibility (ICC: 0.786; 95%CI: 0.684, 0.864). CHFU plus SWE was superior to CHFU or SWE alone for predicting metastases in sLN of MRI-staged N0 patients with NPC (p < 0.001).

CONCLUSIONS

CHFU plus SWE is an optional non-invasive modality to supplement MRI in assessing cervical nodal status of patients with NPC.

摘要

背景

为了确定超声弹性成像是否可以区分磁共振成像(MRI)分期的鼻咽癌(NPC)颈 N0 患者的反应性或转移性小淋巴结(sLN)。

方法

进行了一项试点研究,涉及常规高频超声(CHFU)和/或剪切波弹性成像(SWE)对 MRI 分期的 NPC 颈 N0 患者 sLN 转移的预测诊断性能,参考经组织学证实的超声引导下核心针活检(US-CNB)。CHFU 的诊断是基于淋巴结超声标准的 5 分制评分(FPS)。sLN 最硬部位的弹性指数的平均值(Emean)、最小值(Emin)和最大值(Emax)通过 SWE 测量,单位为千帕斯卡。每个节点的诊断性能均使用接收者操作曲线(ROC)进行分析。本文的真实性已通过将关键原始数据上传至研究数据存储库公共平台(http://www.researchdata.org.cn)得到验证,注册号为 RDDA2017000447。

结果

49 例 MRI 分期颈 N0 NPC 患者的 113 个颈部 sLN 均接受了 CHFU 和 SWE 评估;38 个 sLN(FPS<2)被认为是良性的,由于没有活检证实,因此将其排除在后续分析之外。75 个不确定的 sLN(FPS≥2)进行了 US-CNB 检查,发现 15 个(20%)转移。恶性 sLN 的所有 SWE 弹性指数均明显高于良性 sLN(p<0.05)。此外,Emax 具有最高的诊断价值(AUC:0.733±0.067,p=0.005),且具有良好的可重复性(ICC:0.786;95%CI:0.684,0.864)。CHFU 加 SWE 优于 CHFU 或 SWE 单独用于预测 MRI 分期的 NPC 颈 N0 患者 sLN 转移(p<0.001)。

结论

CHFU 加 SWE 是一种可选的无创方法,可补充 MRI 评估 NPC 患者颈部淋巴结状态。

https://cdn.ncbi.nlm.nih.gov/pmc/blobs/c188/6399938/5f8c88b6a07f/40644_2019_199_Fig1_HTML.jpg

文献检索

告别复杂PubMed语法,用中文像聊天一样搜索,搜遍4000万医学文献。AI智能推荐,让科研检索更轻松。

立即免费搜索

文件翻译

保留排版,准确专业,支持PDF/Word/PPT等文件格式,支持 12+语言互译。

免费翻译文档

深度研究

AI帮你快速写综述,25分钟生成高质量综述,智能提取关键信息,辅助科研写作。

立即免费体验