• 文献检索
  • 文档翻译
  • 深度研究
  • 学术资讯
  • Suppr Zotero 插件Zotero 插件
  • 邀请有礼
  • 套餐&价格
  • 历史记录
应用&插件
Suppr Zotero 插件Zotero 插件浏览器插件Mac 客户端Windows 客户端微信小程序
定价
高级版会员购买积分包购买API积分包
服务
文献检索文档翻译深度研究API 文档MCP 服务
关于我们
关于 Suppr公司介绍联系我们用户协议隐私条款
关注我们

Suppr 超能文献

核心技术专利:CN118964589B侵权必究
粤ICP备2023148730 号-1Suppr @ 2026

文献检索

告别复杂PubMed语法,用中文像聊天一样搜索,搜遍4000万医学文献。AI智能推荐,让科研检索更轻松。

立即免费搜索

文件翻译

保留排版,准确专业,支持PDF/Word/PPT等文件格式,支持 12+语言互译。

免费翻译文档

深度研究

AI帮你快速写综述,25分钟生成高质量综述,智能提取关键信息,辅助科研写作。

立即免费体验

核桃壳热重分析及气相色谱-质谱联用的热行为研究

Thermal behaviour of walnut shells by thermogravimetry with gas chromatography-mass spectrometry analysis.

作者信息

Fan Fangyu, Li Han, Xu Yuqiao, Liu Yun, Zheng Zhifeng, Kan Huan

机构信息

Key Laboratory for Forest Resources Conservation and Utilisation in the Southwest Mountains of China, Ministry of Education, Southwest Forestry University, 650224 Kunming, Yunnan, People's Republic of China.

School of Light Industry and Food Engineering, Southwest Forestry University, 650224 Kunming, People's Republic of China.

出版信息

R Soc Open Sci. 2018 Sep 12;5(9):180331. doi: 10.1098/rsos.180331. eCollection 2018 Sep.

DOI:10.1098/rsos.180331
PMID:30839760
原文链接:https://pmc.ncbi.nlm.nih.gov/articles/PMC6170593/
Abstract

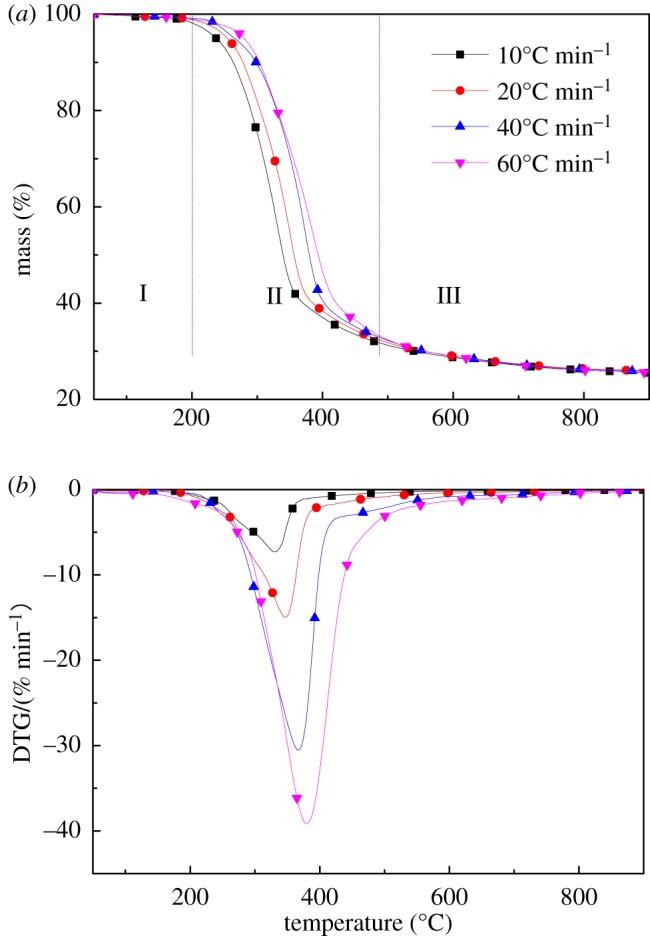
The present study introduces thermogravimetry with gas chromatography-mass spectrometry (TG-GC-MS) at four different heating rates to investigate the activation energy and thermal degradation behaviour of walnut shell pyrolysis. The distributed activation energy model (DAEM) was applied to investigate the activation energy. According to values of the activation energy and the correlation coefficient by the DAEM, the activation energy (98.69-267.75 kJ mol) and correlation coefficient (0.914-0.999) were determined for pyrolysis of walnut shells. GC-MS was performed to investigate the pyrolysis products from walnut shells at different critical temperature points. More than 20 different substances were identified at different temperatures from GC-MS results. With the increasing pyrolysis temperature, furan, furfural, benzene and long chain alkanes were successively identified in different GC-MS experimental results.

摘要

本研究采用热重-气相色谱-质谱联用仪(TG-GC-MS)在四种不同升温速率下,研究核桃壳热解的活化能及热降解行为。应用分布活化能模型(DAEM)来研究活化能。根据DAEM得到的活化能值和相关系数,确定核桃壳热解的活化能为98.69 - 267.75 kJ/mol,相关系数为0.914 - 0.999。利用气相色谱-质谱联用仪(GC-MS)研究了核桃壳在不同临界温度点的热解产物。根据GC-MS结果,在不同温度下鉴定出20多种不同物质。随着热解温度升高,在不同的GC-MS实验结果中依次鉴定出呋喃、糠醛、苯和长链烷烃。

https://cdn.ncbi.nlm.nih.gov/pmc/blobs/7cff/6170593/204ac40ddf8a/rsos180331-g4.jpg
https://cdn.ncbi.nlm.nih.gov/pmc/blobs/7cff/6170593/d64c624a5452/rsos180331-g1.jpg
https://cdn.ncbi.nlm.nih.gov/pmc/blobs/7cff/6170593/fed42be9e735/rsos180331-g2.jpg
https://cdn.ncbi.nlm.nih.gov/pmc/blobs/7cff/6170593/1cacd1194f7f/rsos180331-g3.jpg
https://cdn.ncbi.nlm.nih.gov/pmc/blobs/7cff/6170593/204ac40ddf8a/rsos180331-g4.jpg
https://cdn.ncbi.nlm.nih.gov/pmc/blobs/7cff/6170593/d64c624a5452/rsos180331-g1.jpg
https://cdn.ncbi.nlm.nih.gov/pmc/blobs/7cff/6170593/fed42be9e735/rsos180331-g2.jpg
https://cdn.ncbi.nlm.nih.gov/pmc/blobs/7cff/6170593/1cacd1194f7f/rsos180331-g3.jpg
https://cdn.ncbi.nlm.nih.gov/pmc/blobs/7cff/6170593/204ac40ddf8a/rsos180331-g4.jpg

相似文献

1
Thermal behaviour of walnut shells by thermogravimetry with gas chromatography-mass spectrometry analysis.核桃壳热重分析及气相色谱-质谱联用的热行为研究
R Soc Open Sci. 2018 Sep 12;5(9):180331. doi: 10.1098/rsos.180331. eCollection 2018 Sep.
2
Thermal Characteristics and Kinetics of Waste Shells by TG-GC/MS.热重-气相色谱/质谱联用仪研究废弃果壳的热特性及动力学
ACS Omega. 2019 Jun 14;4(6):10370-10375. doi: 10.1021/acsomega.9b01013. eCollection 2019 Jun 30.
3
Pyrolysis kinetic and product analysis of different microalgal biomass by distributed activation energy model and pyrolysis-gas chromatography-mass spectrometry.采用分布式活化能模型和热解-气相色谱-质谱法对不同微藻生物质的热解动力学和产物分析。
Bioresour Technol. 2014 Jul;163:335-42. doi: 10.1016/j.biortech.2014.04.040. Epub 2014 Apr 19.
4
Pyrolysis Kinetic Behaviour of Glass Fibre-Reinforced Epoxy Resin Composites Using Linear and Nonlinear Isoconversional Methods.使用线性和非线性等转化率方法研究玻璃纤维增强环氧树脂复合材料的热解动力学行为
Polymers (Basel). 2021 May 11;13(10):1543. doi: 10.3390/polym13101543.
5
Kinetic study on the slow pyrolysis of nonmetal fraction of waste printed circuit boards (NMF-WPCBs).废旧印刷电路板中非金属部分慢速热解的动力学研究。
Waste Manag Res. 2020 Aug;38(8):903-910. doi: 10.1177/0734242X19896630. Epub 2020 Jan 10.
6
Research on the pyrolysis characteristics and mechanisms of waste printed circuit boards at fast and slow heating rates.快速和慢速加热速率下废印刷电路板热解特性及机理研究。
Waste Manag. 2022 Jul 15;149:134-145. doi: 10.1016/j.wasman.2022.06.008. Epub 2022 Jun 18.
7
Pyrolysis kinetics and thermal behavior of waste sawdust biomass using thermogravimetric analysis.利用热重分析研究废木屑生物质的热解动力学和热行为。
Bioresour Technol. 2018 Mar;251:63-74. doi: 10.1016/j.biortech.2017.12.029. Epub 2017 Dec 13.
8
Catalytic Pyrolysis Kinetic Behavior and TG-FTIR-GC-MS Analysis of Metallized Food Packaging Plastics with Different Concentrations of ZSM-5 Zeolite Catalyst.不同浓度ZSM-5沸石催化剂作用下金属化食品包装塑料的催化热解动力学行为及TG-FTIR-GC-MS分析
Polymers (Basel). 2021 Feb 26;13(5):702. doi: 10.3390/polym13050702.
9
Kinetic and energy production analysis of pyrolysis of lignocellulosic biomass using a three-parallel Gaussian reaction model.利用三并行高斯反应模型对木质纤维素生物质热解的动力学和能量产生分析。
Bioresour Technol. 2016 Jul;211:502-8. doi: 10.1016/j.biortech.2016.03.091. Epub 2016 Mar 23.
10
Kinetic compensation effect in logistic distributed activation energy model for lignocellulosic biomass pyrolysis.木质纤维素生物质热解的逻辑斯谛分布活化能模型中的动力学补偿效应。
Bioresour Technol. 2018 Oct;265:139-145. doi: 10.1016/j.biortech.2018.05.092. Epub 2018 Jun 4.

引用本文的文献

1
Adaptive control strategies for button motor actuated insect scale flapping wing MAV mechanisms.用于按钮电机驱动的昆虫尺度扑翼微型飞行器机构的自适应控制策略。
Sci Rep. 2025 Aug 5;15(1):28626. doi: 10.1038/s41598-025-13834-2.
2
The Potential Application of Starch and Walnut Shells as Biofillers for Natural Rubber (NR) Composites.淀粉和核桃壳作为天然橡胶(NR)复合材料的生物填料的潜在应用。
Int J Mol Sci. 2022 Jul 19;23(14):7968. doi: 10.3390/ijms23147968.
3
Shape-Memory Polymer Nanocomposites of Poly(ε-caprolactone) with the Polystyrene--polybutadiene--polystyrene-tri- Copolymer Encapsulated with Metal Oxides.

本文引用的文献

1
Investigation into the lignin decomposition mechanism by analysis of the pyrolysis product of Pinus radiata.分析辐射松热解产物以探究木质素的分解机制。
Bioresour Technol. 2016 Nov;219:371-377. doi: 10.1016/j.biortech.2016.08.001. Epub 2016 Aug 2.
2
Towards efficient bioethanol production from agricultural and forestry residues: Exploration of unique natural microorganisms in combination with advanced strain engineering.从农林废弃物中高效生产生物乙醇:探索独特的天然微生物与先进的菌株工程相结合。
Bioresour Technol. 2016 Sep;215:84-91. doi: 10.1016/j.biortech.2016.03.158. Epub 2016 Apr 1.
3
A thermochemical-biochemical hybrid processing of lignocellulosic biomass for producing fuels and chemicals.
聚(ε-己内酯)与金属氧化物封装的聚苯乙烯-聚丁二烯-聚苯乙烯三嵌段共聚物的形状记忆聚合物纳米复合材料
ACS Omega. 2021 Feb 22;6(9):6261-6273. doi: 10.1021/acsomega.0c05839. eCollection 2021 Mar 9.
4
Thermal Characteristics and Kinetics of Waste Shells by TG-GC/MS.热重-气相色谱/质谱联用仪研究废弃果壳的热特性及动力学
ACS Omega. 2019 Jun 14;4(6):10370-10375. doi: 10.1021/acsomega.9b01013. eCollection 2019 Jun 30.
木质纤维素生物质的热化学-生物化学联合处理生产燃料和化学品。
Biotechnol Adv. 2015 Dec;33(8):1799-813. doi: 10.1016/j.biotechadv.2015.10.006. Epub 2015 Oct 19.
4
Physico-chemical properties, antioxidant activities and antihypertensive effects of walnut protein and its hydrolysate.核桃蛋白及其水解产物的理化性质、抗氧化活性和降压作用
J Sci Food Agric. 2016 May;96(7):2579-87. doi: 10.1002/jsfa.7379. Epub 2015 Sep 18.
5
TG-MS analysis and kinetic study for thermal decomposition of six representative components of municipal solid waste under steam atmosphere.蒸汽氛围下城市固体废弃物六种代表性组分热分解的热重-质谱联用分析及动力学研究
Waste Manag. 2015 Sep;43:152-61. doi: 10.1016/j.wasman.2015.05.024. Epub 2015 Jun 8.
6
Pyrolysis behaviors of four lignin polymers isolated from the same pine wood.四种从同一松木中分离得到的木质素聚合物的热解行为。
Bioresour Technol. 2015 Apr;182:120-127. doi: 10.1016/j.biortech.2015.01.127. Epub 2015 Feb 7.
7
Comparison of biochar properties from biomass residues produced by slow pyrolysis at 500°C.比较在 500°C 下慢速热解产生的生物质残渣的生物炭特性。
Bioresour Technol. 2013 Nov;148:196-201. doi: 10.1016/j.biortech.2013.08.135. Epub 2013 Sep 2.
8
TG-MS analysis for thermal decomposition of cellulose under different atmospheres.TG-MS 分析在不同气氛下纤维素的热分解。
Carbohydr Polym. 2013 Oct 15;98(1):514-21. doi: 10.1016/j.carbpol.2013.06.031. Epub 2013 Jun 26.
9
Thermogravimetric study and kinetic analysis of fungal pretreated corn stover using the distributed activation energy model.采用分布活化能模型对真菌预处理玉米秸秆的热重研究及动力学分析。
Bioresour Technol. 2013 Jan;128:417-22. doi: 10.1016/j.biortech.2012.10.144. Epub 2012 Nov 7.
10
Biomass-based pyrolytic polygeneration system on cotton stalk pyrolysis: influence of temperature.基于生物质的热解多联产系统对棉秆热解的影响:温度的影响。
Bioresour Technol. 2012 Mar;107:411-8. doi: 10.1016/j.biortech.2011.10.074. Epub 2011 Nov 6.