Marsden Barry, Mummery Andrew, Mummery Paul
Nuclear Graphite Research Group, School of Mechanical, Aerospace and Civil Engineering, University of Manchester, Manchester M13 9PL, UK.
Wadham College, University of Oxford, Parks Road, Oxford OX1 3PN, UK.
Proc Math Phys Eng Sci. 2018 Oct;474(2218):20180075. doi: 10.1098/rspa.2018.0075. Epub 2018 Oct 31.
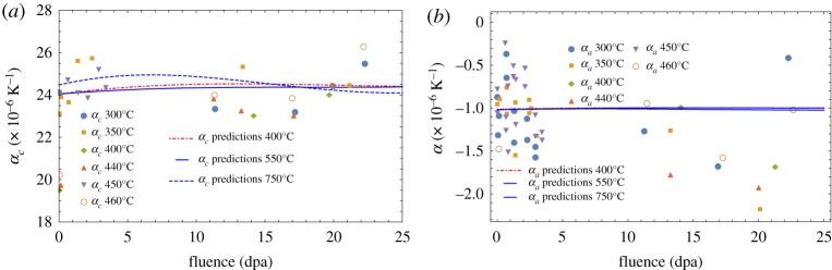
Theoretical models for the coefficient of thermal expansion (CTE) first proposed in the 1970s are expanded upon, allowing them, for the first time, to be implemented over a wide temperature range. The models are of interest because they predict the effects of the changes in the crystal lattice spacing and crystallite modulus on the CTE. Hence, they can in turn be used to investigate the influence of pressure and irradiation on the CTE. To date, typographical and mathematical errors and incomplete or conflicting assumptions between the various papers had made the complex mathematical formulations difficult, if not impossible, to follow and apply. This paper has two main aims: firstly to revisit and review the CTE models, correcting the errors and compiling and updating various input data, secondly to use the revised models to investigate the effect of loading and irradiation on the CTE. In particular, the models have been applied to data for natural and highly orientated pyrolytic graphite and compared with experimental data, giving an insight into the influence of temperature, loading and irradiation on both single crystal and polycrystalline graphite. The findings lend credence to postulated microstructural mechanisms attributed to the in-reactor behaviour of nuclear graphite, which finds a wide use in predictive multiscale modelling.
20世纪70年代首次提出的热膨胀系数(CTE)理论模型得到了扩展,使其首次能够在很宽的温度范围内应用。这些模型之所以受到关注,是因为它们预测了晶格间距和微晶模量变化对CTE的影响。因此,它们反过来可用于研究压力和辐照对CTE的影响。迄今为止,各种论文中的排版和数学错误以及不完整或相互矛盾的假设使得复杂的数学公式难以理解和应用,即便不是完全不可能。本文有两个主要目的:一是重新审视和回顾CTE模型,纠正错误并整理和更新各种输入数据;二是使用修订后的模型研究加载和辐照对CTE的影响。特别是,这些模型已应用于天然和高度取向热解石墨的数据,并与实验数据进行了比较,从而深入了解温度、加载和辐照对单晶和多晶石墨的影响。这些发现为归因于核石墨反应堆内行为的假定微观结构机制提供了可信度,该机制在预测性多尺度建模中得到广泛应用。