Suppr超能文献

关于股骨截肢者步态中补偿性生物力学与步幅不对称性之间联系的机制假说的发展

Development of a Mechanistic Hypothesis Linking Compensatory Biomechanics and Stepping Asymmetry during Gait of Transfemoral Amputees.

作者信息

Mohamed Abeer, Sexton Andrew, Simonsen Kirsten, McGibbon Chris A

机构信息

Institute of Biomedical Engineering, University of New Brunswick, Fredericton, New Brunswick, Canada.

Department of Mechanical Engineering, University of New Brunswick, Fredericton, New Brunswick, Canada.

出版信息

Appl Bionics Biomech. 2019 Feb 3;2019:4769242. doi: 10.1155/2019/4769242. eCollection 2019.

Abstract

OBJECTIVE

Gait asymmetry is a common adaptation observed in lower-extremity amputees, but the underlying mechanisms that explain this gait behavior remain unclear for amputees that use above-knee prostheses. Our objective was to develop a working hypothesis to explain chronic stepping asymmetry in otherwise healthy amputees that use above-knee prostheses.

METHODS

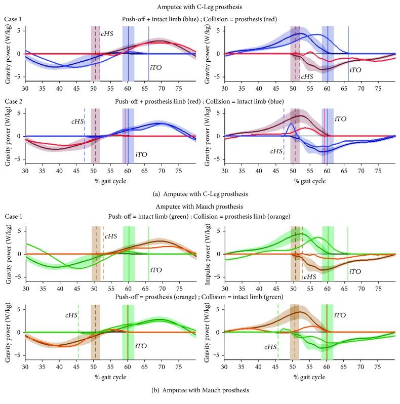
Two amputees (both through-knee; one with microprocessor knee, one with hydraulic knee) and fourteen control subjects participated. 3D kinematics and kinetics were acquired at normal, fast, and slow walking speeds. Data were analyzed for the push-off and collision limbs during a double support phase. We examined gait parameters to identify the stepping asymmetry then examined the external work rate (centre of mass) and internal (joint) power profiles to formulate a working hypothesis to mechanistically explain the observed stepping asymmetry.

RESULTS

Stepping asymmetry at all three gait speeds in amputees was characterized by increased stance phase duration of the intact limb versus relatively normal stance phase duration for the prosthesis limb. The prosthesis limb contributed very little to positive and negative work during the double support phase of gait. To compensate, the intact leg at heel strike first provided aid to the deficient prosthetic ankle/foot during its push-off by doing positive work with the intact knee, which caused a delayed stance phase pattern. The resulting delay in toe-off of the intact limb then facilitated the energy transfer from the more robust intact push-off limb to the weaker colliding prosthesis side. This strategy was observed for both amputees.

CONCLUSIONS

There is a sound scientific rationale for a mechanistic hypothesis that stepping asymmetry in amputee participants is a result of a motor adaptation that is both facilitating the lower-leg trajectory enforced by the prosthesis while compensating for the lack of work done by the prosthesis, the cost of which is increased energy expenditure of the intact knee and both hips.

摘要

目的

步态不对称是下肢截肢者常见的适应性表现,但对于使用膝上假肢的截肢者,解释这种步态行为的潜在机制仍不清楚。我们的目的是提出一个可行的假设,以解释使用膝上假肢的健康截肢者的慢性步幅不对称现象。

方法

两名截肢者(均为经膝截肢;一名使用微处理器控制膝关节假肢,一名使用液压膝关节假肢)和十四名对照受试者参与了研究。在正常、快速和慢速行走速度下采集三维运动学和动力学数据。分析双支撑期蹬离和碰撞肢体的数据。我们检查步态参数以识别步幅不对称,然后检查外部工作率(质心)和内部(关节)功率曲线,以提出一个可行的假设,从机制上解释观察到的步幅不对称现象。

结果

截肢者在所有三种步态速度下的步幅不对称表现为健侧肢体站立期持续时间增加,而假肢侧肢体的站立期持续时间相对正常。在步态双支撑期,假肢侧肢体对正功和负功的贡献很小。为了进行补偿,健侧腿在足跟触地时,首先通过健侧膝关节做正功,在蹬离时为功能不足的假肢踝/足提供助力,这导致了站立期模式延迟。健侧肢体随后的离地延迟,进而促进了能量从更强壮的健侧蹬离肢体向较弱的碰撞假肢侧转移。两名截肢者均观察到了这种策略。

结论

有一个合理的科学依据支持这样一个机制性假设,即截肢参与者的步幅不对称是一种运动适应性结果,这种适应性既促进了假肢所强制的小腿轨迹,同时又补偿了假肢所做工作的不足,其代价是健侧膝关节和双侧髋关节的能量消耗增加。

https://cdn.ncbi.nlm.nih.gov/pmc/blobs/4cb4/6378070/84d158686c34/ABB2019-4769242.001.jpg

文献AI研究员

20分钟写一篇综述,助力文献阅读效率提升50倍。

立即体验

用中文搜PubMed

大模型驱动的PubMed中文搜索引擎

马上搜索

文档翻译

学术文献翻译模型,支持多种主流文档格式。

立即体验