• 文献检索
  • 文档翻译
  • 深度研究
  • 学术资讯
  • Suppr Zotero 插件Zotero 插件
  • 邀请有礼
  • 套餐&价格
  • 历史记录
应用&插件
Suppr Zotero 插件Zotero 插件浏览器插件Mac 客户端Windows 客户端微信小程序
定价
高级版会员购买积分包购买API积分包
服务
文献检索文档翻译深度研究API 文档MCP 服务
关于我们
关于 Suppr公司介绍联系我们用户协议隐私条款
关注我们

Suppr 超能文献

核心技术专利:CN118964589B侵权必究
粤ICP备2023148730 号-1Suppr @ 2026

文献检索

告别复杂PubMed语法,用中文像聊天一样搜索,搜遍4000万医学文献。AI智能推荐,让科研检索更轻松。

立即免费搜索

文件翻译

保留排版,准确专业,支持PDF/Word/PPT等文件格式,支持 12+语言互译。

免费翻译文档

深度研究

AI帮你快速写综述,25分钟生成高质量综述,智能提取关键信息,辅助科研写作。

立即免费体验

利用可见近红外光谱和随机森林回归预测污染土壤中复杂化学混合物的生物可利用性变化。

Predicting bioavailability change of complex chemical mixtures in contaminated soils using visible and near-infrared spectroscopy and random forest regression.

机构信息

Cranfield University, School of Water, Energy and Environment, Cranfield, MK430AL, UK.

Department of Environment, Ghent University, Coupure 653, 9000, Gent, Belgium.

出版信息

Sci Rep. 2019 Mar 14;9(1):4492. doi: 10.1038/s41598-019-41161-w.

DOI:10.1038/s41598-019-41161-w
PMID:30872800
原文链接:https://pmc.ncbi.nlm.nih.gov/articles/PMC6418180/
Abstract

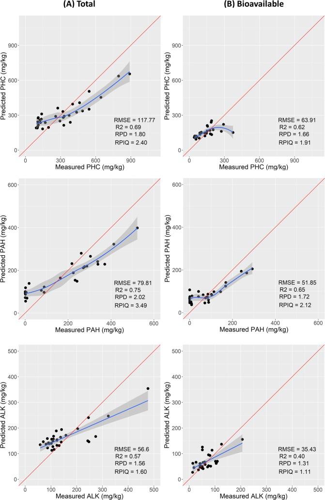
A number of studies have shown that visible and near infrared spectroscopy (VIS-NIRS) offers a rapid on-site measurement tool for the determination of total contaminant concentration of petroleum hydrocarbons compounds (PHC), heavy metals and metalloids (HM) in soil. However none of them have yet assessed the feasibility of using VIS-NIRS coupled to random forest (RF) regression for determining both the total and bioavailable concentrations of complex chemical mixtures. Results showed that the predictions of the total concentrations of polycyclic aromatic hydrocarbons (PAH), PHC, and alkanes (ALK) were very good, good and fair, and in contrast, the predictions of the bioavailable concentrations of the PAH and PHC were only fair, and poor for ALK. A large number of trace elements, mainly lead (Pb), aluminium (Al), nickel (Ni), chromium (Cr), cadmium (Cd), iron (Fe) and zinc (Zn) were predicted with very good or good accuracy. The prediction results of the total HMs were also better than those of the bioavailable concentrations. Overall, the results demonstrate that VIS-NIR DRS coupled to RF is a promising rapid measurement tool to inform both the distribution and bioavailability of complex chemical mixtures without the need of collecting soil samples and lengthy extraction for further analysis.

摘要

一些研究表明,可见近红外光谱(VIS-NIRS)为快速现场测量工具,可用于测定土壤中石油烃化合物(PHC)、重金属和类金属(HM)的总污染物浓度。然而,目前还没有研究评估将 VIS-NIRS 与随机森林(RF)回归相结合来测定复杂化学混合物的总浓度和生物可利用浓度的可行性。结果表明,多环芳烃(PAH)、PHC 和烷烃(ALK)总浓度的预测结果非常好、好和一般,相比之下,PAH 和 PHC 的生物可利用浓度的预测结果仅为一般,而 ALK 的预测结果则较差。大量微量元素,主要是铅(Pb)、铝(Al)、镍(Ni)、铬(Cr)、镉(Cd)、铁(Fe)和锌(Zn)的预测精度非常好或好。总 HM 的预测结果也优于生物可利用浓度的预测结果。总体而言,结果表明,VIS-NIR DRS 与 RF 相结合是一种很有前途的快速测量工具,可以在无需采集土壤样品和进行冗长的提取以进行进一步分析的情况下,提供复杂化学混合物的分布和生物可利用性信息。

https://cdn.ncbi.nlm.nih.gov/pmc/blobs/7ae1/6418180/bc137292745f/41598_2019_41161_Fig4_HTML.jpg
https://cdn.ncbi.nlm.nih.gov/pmc/blobs/7ae1/6418180/fc2c9e29c52e/41598_2019_41161_Fig1_HTML.jpg
https://cdn.ncbi.nlm.nih.gov/pmc/blobs/7ae1/6418180/26d82f43d648/41598_2019_41161_Fig2_HTML.jpg
https://cdn.ncbi.nlm.nih.gov/pmc/blobs/7ae1/6418180/29a2c23ad983/41598_2019_41161_Fig3_HTML.jpg
https://cdn.ncbi.nlm.nih.gov/pmc/blobs/7ae1/6418180/bc137292745f/41598_2019_41161_Fig4_HTML.jpg
https://cdn.ncbi.nlm.nih.gov/pmc/blobs/7ae1/6418180/fc2c9e29c52e/41598_2019_41161_Fig1_HTML.jpg
https://cdn.ncbi.nlm.nih.gov/pmc/blobs/7ae1/6418180/26d82f43d648/41598_2019_41161_Fig2_HTML.jpg
https://cdn.ncbi.nlm.nih.gov/pmc/blobs/7ae1/6418180/29a2c23ad983/41598_2019_41161_Fig3_HTML.jpg
https://cdn.ncbi.nlm.nih.gov/pmc/blobs/7ae1/6418180/bc137292745f/41598_2019_41161_Fig4_HTML.jpg

相似文献

1
Predicting bioavailability change of complex chemical mixtures in contaminated soils using visible and near-infrared spectroscopy and random forest regression.利用可见近红外光谱和随机森林回归预测污染土壤中复杂化学混合物的生物可利用性变化。
Sci Rep. 2019 Mar 14;9(1):4492. doi: 10.1038/s41598-019-41161-w.
2
Rapid prediction of total petroleum hydrocarbons concentration in contaminated soil using vis-NIR spectroscopy and regression techniques.利用可见-近红外光谱和回归技术快速预测污染土壤中总石油烃的浓度。
Sci Total Environ. 2018 Mar;616-617:147-155. doi: 10.1016/j.scitotenv.2017.10.323. Epub 2017 Nov 9.
3
Potential of visible and near infrared spectroscopy coupled with machine learning for predicting soil metal concentrations at the regional scale.可见近红外光谱结合机器学习在区域尺度预测土壤金属浓度的潜力。
Sci Total Environ. 2022 Oct 1;841:156582. doi: 10.1016/j.scitotenv.2022.156582. Epub 2022 Jun 14.
4
Influence of solution acidity and CaCl2 concentration on the removal of heavy metals from metal-contaminated rice soils.溶液酸度和氯化钙浓度对金属污染稻田土壤中重金属去除的影响。
Environ Pollut. 2006 Dec;144(3):918-25. doi: 10.1016/j.envpol.2006.02.001. Epub 2006 Apr 5.
5
Predicting total petroleum hydrocarbons in field soils with Vis-NIR models developed on laboratory-constructed samples.利用在实验室构建的样本上建立的可见-近红外模型预测野外土壤中的总石油烃。
J Environ Qual. 2020 Jul;49(4):847-857. doi: 10.1002/jeq2.20102. Epub 2020 Jun 13.
6
Linking bioavailability and toxicity changes of complex chemicals mixture to support decision making for remediation endpoint of contaminated soils.将复杂化学混合物的生物有效性和毒性变化联系起来,为受污染土壤的修复终点决策提供支持。
Sci Total Environ. 2019 Feb 10;650(Pt 2):2150-2163. doi: 10.1016/j.scitotenv.2018.09.339. Epub 2018 Sep 27.
7
Assessing heavy metal concentrations in earth-cumulic-orthic-anthrosols soils using Vis-NIR spectroscopy transform coupled with chemometrics.利用可见-近红外光谱变换结合化学计量学评估土-腐殖质-有机-人为土壤中的重金属浓度。
Spectrochim Acta A Mol Biomol Spectrosc. 2020 Feb 5;226:117639. doi: 10.1016/j.saa.2019.117639. Epub 2019 Oct 9.
8
The application of a handheld mid-infrared spectrometry for rapid measurement of oil contamination in agricultural sites.手持式中红外光谱仪在农业现场快速测量油污中的应用。
Sci Total Environ. 2019 May 15;665:253-261. doi: 10.1016/j.scitotenv.2019.02.065. Epub 2019 Feb 7.
9
Prediction of bioavailability and toxicity of complex chemical mixtures through machine learning models.通过机器学习模型预测复杂化学混合物的生物利用度和毒性。
Chemosphere. 2019 Jan;215:388-395. doi: 10.1016/j.chemosphere.2018.10.056. Epub 2018 Oct 11.
10
Modelling potentially toxic elements in forest soils with vis-NIR spectra and learning algorithms.应用可见-近红外光谱和学习算法对森林土壤中潜在有毒元素进行建模。
Environ Pollut. 2020 Dec;267:115574. doi: 10.1016/j.envpol.2020.115574. Epub 2020 Sep 6.

引用本文的文献

1
Utilization of-Omic technologies in cold climate hydrocarbon bioremediation: a text-mining approach.-组学技术在寒冷气候下碳氢化合物生物修复中的应用:一种文本挖掘方法。
Front Microbiol. 2023 Jun 16;14:1113102. doi: 10.3389/fmicb.2023.1113102. eCollection 2023.
2
Vis-NIR Spectroscopy Combined with GAN Data Augmentation for Predicting Soil Nutrients in Degraded Alpine Meadows on the Qinghai-Tibet Plateau.基于可见-近红外光谱技术和 GAN 数据增强的青藏高原退化高寒草甸土壤养分预测
Sensors (Basel). 2023 Apr 2;23(7):3686. doi: 10.3390/s23073686.
3
Screening Risk Assessment of Agricultural Areas under a High Level of Anthropopressure Based on Chemical Indexes and VIS-NIR Spectroscopy.

本文引用的文献

1
Linking bioavailability and toxicity changes of complex chemicals mixture to support decision making for remediation endpoint of contaminated soils.将复杂化学混合物的生物有效性和毒性变化联系起来,为受污染土壤的修复终点决策提供支持。
Sci Total Environ. 2019 Feb 10;650(Pt 2):2150-2163. doi: 10.1016/j.scitotenv.2018.09.339. Epub 2018 Sep 27.
2
Insights into mixed contaminants interactions and its implication for heavy metals and metalloids mobility, bioavailability and risk assessment.洞悉混合污染物相互作用及其对重金属和类金属迁移性、生物可利用性和风险评估的影响。
Sci Total Environ. 2018 Dec 15;645:662-673. doi: 10.1016/j.scitotenv.2018.07.179. Epub 2018 Jul 18.
3
基于化学指标和可见-近红外光谱的高强度人为压力下农业区的筛选风险评估。
Molecules. 2020 Jul 9;25(14):3151. doi: 10.3390/molecules25143151.
Evaluation of vis-NIR reflectance spectroscopy sensitivity to weathering for enhanced assessment of oil contaminated soils.
评价可见-近红外反射光谱对风化的敏感性,以增强对油污土壤的评估。
Sci Total Environ. 2018 Jun 1;626:1108-1120. doi: 10.1016/j.scitotenv.2018.01.122. Epub 2018 Feb 19.
4
Rapid prediction of total petroleum hydrocarbons concentration in contaminated soil using vis-NIR spectroscopy and regression techniques.利用可见-近红外光谱和回归技术快速预测污染土壤中总石油烃的浓度。
Sci Total Environ. 2018 Mar;616-617:147-155. doi: 10.1016/j.scitotenv.2017.10.323. Epub 2017 Nov 9.
5
Assessing bioavailability of complex chemical mixtures in contaminated soils: Progress made and research needs.评估受污染土壤中复杂化学混合物的生物可利用性:进展与研究需求。
Sci Total Environ. 2018 Feb 15;615:708-723. doi: 10.1016/j.scitotenv.2017.09.321. Epub 2017 Oct 17.
6
Risk-based remediation of polluted sites: A critical perspective.基于风险的污染场地修复:批判性视角
Chemosphere. 2017 Nov;186:607-615. doi: 10.1016/j.chemosphere.2017.08.043. Epub 2017 Aug 9.
7
Cost-benefit calculation of phytoremediation technology for heavy-metal-contaminated soil.植物修复技术用于重金属污染土壤的成本效益分析。
Sci Total Environ. 2016 Sep 1;563-564:796-802. doi: 10.1016/j.scitotenv.2015.12.080. Epub 2016 Jan 4.
8
From Bioavailability Science to Regulation of Organic Chemicals.从生物利用度科学到有机化学品监管。
Environ Sci Technol. 2015 Sep 1;49(17):10255-64. doi: 10.1021/acs.est.5b02412. Epub 2015 Aug 18.
9
Estimation of potentially toxic elements contamination in anthropogenic soils on a brown coal mining dumpsite by reflectance spectroscopy: a case study.利用反射光谱法估算褐煤矿山排土场人为土壤中潜在有毒元素的污染:一项案例研究
PLoS One. 2015 Feb 18;10(2):e0117457. doi: 10.1371/journal.pone.0117457. eCollection 2015.
10
Development of a hybrid proximal sensing method for rapid identification of petroleum contaminated soils.开发一种混合近场感应方法,用于快速识别石油污染土壤。
Sci Total Environ. 2015 May 1;514:399-408. doi: 10.1016/j.scitotenv.2015.01.087. Epub 2015 Feb 11.