Suppr超能文献

用于抗氧化应用的聚合物纳米胶囊中薰衣草和精油主要成分的气相色谱-氢火焰离子化检测器同步定量分析

Simultaneous GC-FID Quantification of Main Components of L. and Essential Oils in Polymeric Nanocapsules for Antioxidant Application.

作者信息

Silva-Flores Perla Giovanna, Pérez-López Luis Alejandro, Rivas-Galindo Verónica Mayela, Paniagua-Vega David, Galindo-Rodríguez Sergio Arturo, Álvarez-Román Rocío

机构信息

Departamento de Química Analítica, Facultad de Medicina, Universidad Autónoma de Nuevo León, Av. Fco. I. Madero y Dr. E. Aguirre Pequeño S/N, 64460 Monterrey, Nuevo León, Mexico.

Cátedras CONACYT-UANL, Departamento de Química Analítica, Facultad de Medicina, Universidad Autónoma de Nuevo León, Av. Fco. I. Madero y Dr. E. Aguirre Pequeño S/N, 64460 Monterrey, Nuevo León, Mexico.

出版信息

J Anal Methods Chem. 2019 Feb 10;2019:2837406. doi: 10.1155/2019/2837406. eCollection 2019.

Abstract

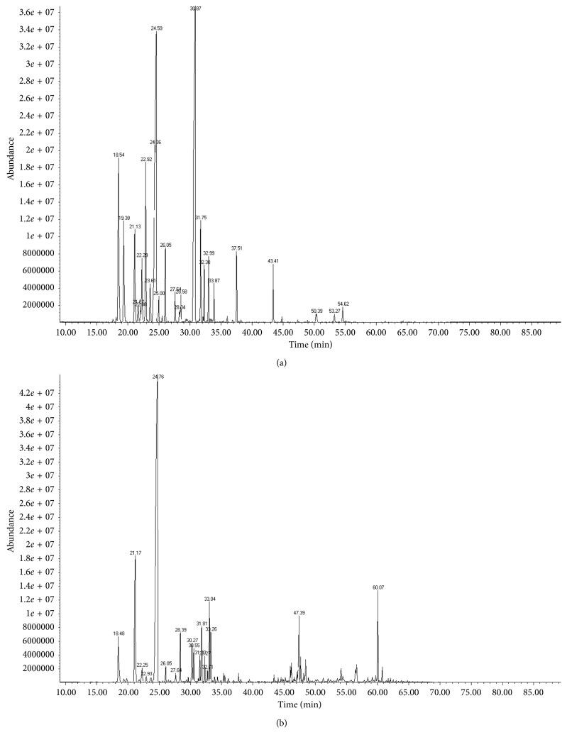
The essential oils (EO) of and have been widely used due to their antioxidant activity. However, due to their high volatility, the loading of EO into polymeric nanocapsules (NC) represents an efficient way of retaining their effect in future topical administration. In this way, the quantitative determination of EO incorporated into NC is necessary for simultaneous monitoring of the main components of the EO during the nanoencapsulation process as well as for precise and exact dosing of the components used during the performance of and biological tests. In this study, EO were isolated by hydrodistillation in a Clevenger-type apparatus and characterized by GC-MS and GC-FID analyses. The major constituents of EO- were camphor (39.46%) and 1,8-cineole (14.63%), and for EO- were 1,8-cineole (68.59%) and -pinene (11.53%). A new analytical method based on GC-FID for quantification of free and encapsulated EO was developed and validated according to ICH. Linearity, limit of detection and quantification, and intra- and interday precision parameters were determined. The methods were linear and precise for the quantification of the main components of EO. The EO were encapsulated by nanoprecipitation and were analyzed by the GC-FID method validated for their direct quantification. The NC size was 200 nm with homogeneous size distribution. The quantification of the incorporated EO within a NC is an important step in NC characterization. In this way, an encapsulation efficiency of at least 59.03% and 41.15% of total EO- and EO-, respectively, was obtained. Simple, repeatable, and reproducible methods were developed as an analytical tool for the simultaneous quantification of the main components of EO loaded in polymeric nanocapsules as well as their monitoring in biological assays.

摘要

薄荷和迷迭香的精油(EO)因其抗氧化活性而被广泛使用。然而,由于其高挥发性,将EO负载到聚合物纳米胶囊(NC)中是在未来局部给药中保留其效果的有效方法。通过这种方式,在纳米包封过程中同时监测EO的主要成分以及在薄荷和迷迭香生物测试过程中精确给药所使用的成分时,定量测定掺入NC中的EO是必要的。在本研究中,通过在Clevenger型装置中进行水蒸馏分离出EO,并通过气相色谱 - 质谱(GC - MS)和气相色谱 - 火焰离子化检测(GC - FID)分析进行表征。薄荷EO的主要成分是樟脑(39.46%)和1,8 - 桉叶素(14.63%),迷迭香EO的主要成分是1,8 - 桉叶素(68.59%)和α - 蒎烯(11.53%)。开发了一种基于GC - FID的新分析方法,用于定量游离和包封的EO,并根据国际协调会议(ICH)进行了验证。测定了线性、检测限和定量限以及日内和日间精密度参数。这些方法对于EO主要成分的定量是线性且精确的。通过纳米沉淀法包封EO,并通过经验证可用于直接定量的GC - FID方法进行分析。NC的尺寸为200 nm,尺寸分布均匀。定量测定NC中掺入的EO是NC表征的重要一步。通过这种方式,分别获得了至少59.03%和41.15%的薄荷EO和迷迭香EO的包封效率。开发了简单、可重复且可重现的方法,作为同时定量负载在聚合物纳米胶囊中的EO主要成分以及在生物测定中对其进行监测的分析工具。

https://cdn.ncbi.nlm.nih.gov/pmc/blobs/3839/6387723/9312837dfbb9/JAMC2019-2837406.001.jpg

文献AI研究员

20分钟写一篇综述,助力文献阅读效率提升50倍。

立即体验

用中文搜PubMed

大模型驱动的PubMed中文搜索引擎

马上搜索

文档翻译

学术文献翻译模型,支持多种主流文档格式。

立即体验