Suppr超能文献

麦芽糊精对干燥番茄中番茄红素和绿原酸降解动力学的影响。

Effects of Maltodextrins on the Kinetics of Lycopene and Chlorogenic Acid Degradation in Dried Tomato.

机构信息

Institute of Food and Health, University College Dublin, Dublin 4, Ireland.

DeFENS, Department of Food, Environmental and Nutritional Sciences, Università degli Studi di Milano, via Celoria 2, 20133 Milano, Italy.

出版信息

Molecules. 2019 Mar 16;24(6):1042. doi: 10.3390/molecules24061042.

Abstract

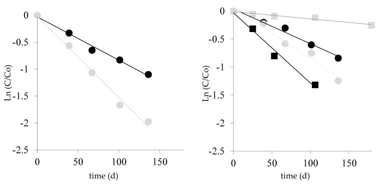
Maltodextrins (MD) are frequently used as processing aids in tomato drying. The aim of this study was to investigate the effect of the addition of MD on the stability of lycopene and chlorogenic acid, which are the main lipophilic and hydrophilic antioxidants in processed tomato, respectively. Tomato powder added with 10% MD (dextrose equivalents, DE 12) and a control tomato powder were stored in the water activity (a) range 0.17⁻0.56, for 180 d at 30 °C. At the a level of 0.17, which was below the monolayer moisture content (o), chlorogenic acid was stable, while lycopene content decreased faster in tomato added with MD than in control tomato, probably due to a decrease in matrix hydrophilicity and greater oxygen diffusion in the oil phase. Maximum stability occurred in both tomato powders at a of 0.3, that was in close proximity to o (first-order rate constant for lycopene, k = 7.0 × 10 d in tomato added with MD). At high a levels, MD increased the rate of lycopene degradation with respect to the control, possibly by hampering its regeneration by chlorogenic acid, which conversely was found to be more stable than in the control tomato.

摘要

麦芽糊精(MD)常用于番茄干燥中的加工助剂。本研究旨在研究添加 MD 对分别作为加工番茄中主要亲脂性和亲水性抗氧化剂的番茄红素和绿原酸稳定性的影响。在 30°C 下,将添加了 10% MD(葡萄糖当量,DE 12)的番茄粉和对照番茄粉在水活度(a)范围为 0.17⁻0.56 下储存 180 天。在低于单层水分含量(o)的 a 值 0.17 下,绿原酸稳定,而添加 MD 的番茄中的番茄红素含量比对照番茄中下降更快,可能是由于基质亲水性降低和油相中的氧气扩散增加所致。在接近 o 的 a 值 0.3 下,两种番茄粉均具有最大的稳定性(添加 MD 的番茄中的番茄红素的一级速率常数,k = 7.0 × 10 d)。在高 a 值下,MD 相对于对照品增加了番茄红素的降解速率,可能是通过阻碍绿原酸的再生,而绿原酸的稳定性反而比对照番茄更高。

https://cdn.ncbi.nlm.nih.gov/pmc/blobs/2ca2/6471318/5407fde116df/molecules-24-01042-g001.jpg

文献AI研究员

20分钟写一篇综述,助力文献阅读效率提升50倍。

立即体验

用中文搜PubMed

大模型驱动的PubMed中文搜索引擎

马上搜索

文档翻译

学术文献翻译模型,支持多种主流文档格式。

立即体验