Department of Laboratory Medicine, Gyeongsang National University Hospital, Gyeongsang National University College of Medicine, Jinju, Republic of Korea.
Biomedical Research Institute, Gyeongsang National University Hospital, Jinju, Republic of Korea.
PLoS One. 2019 Mar 19;14(3):e0213389. doi: 10.1371/journal.pone.0213389. eCollection 2019.
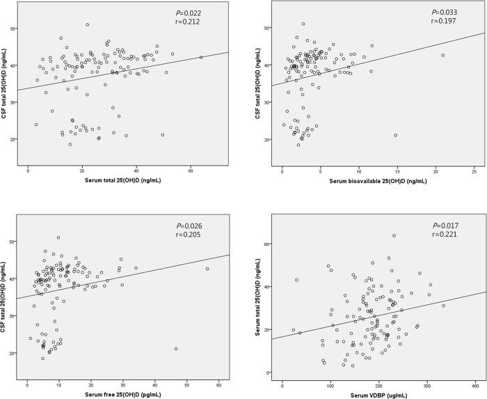
Epidemiological investigations have suggested that serum 25-hydroxyvitamin D [25(OH)D] level has significantly inverse associations with various neurological and neurodegenerative diseases. However, little is known about 25(OH)D level in human cerebrospinal fluid (CSF). Thus, the aim of this study was to determine correlations of 25(OH)D level in CSF with serum total, bioavailable, and free 25(OH)D levels. This observational study enrolled a total of 117 subjects (58 patients with non-neurologic disease and 59 patients with neurologic disease) from 2017 to 2018. CSF and blood samples were collected in pairs. Total 25(OH)D levels in CSF and serum and vitamin D binding protein (VDBP) levels in serum were measured. We also performed GC genotyping for polymorphisms of rs4588 and rs7041 to calculate bioavailable and free 25(OH)D levels. CSF total 25(OH)D levels were compared with serum total, bioavailable, and free 25(OH)D levels. Mean total 25(OH)D concentrations in CSF and serum of all patients were 37.14 ± 7.71 and 25.72 ± 12.37 ng/mL, respectively. The mean total 25(OH)D concentration in CSF was generally 1.4-fold higher than that in the serum. Total 25(OH)D concentrations in CSF showed weakly positive but significant correlations with serum total, bioavailable, and free 25(OH)D concentrations (P = 0.022, P = 0.033, and P = 0.026, respectively). Serum total 25(OH)D concentration was also correlated with serum VDBP concentration (P = 0.017). However, total 25(OH)D levels in CSF of non-neurologic disease group and neurologic disease group were similar. Total 25(OH)D level in CSF has weakly positive but significant correlations with serum total, bioavailable, and free 25-hydroxy vitamin D levels in the Korean population. The distribution of CSF total 25(OH)D in Korean neurologic and non-neurologic disease patients was presented.
流行病学研究表明,血清 25-羟维生素 D [25(OH)D]水平与各种神经和神经退行性疾病有显著的负相关关系。然而,人们对人类脑脊液(CSF)中的 25(OH)D 水平知之甚少。因此,本研究旨在确定 CSF 中 25(OH)D 水平与血清总、生物可利用和游离 25(OH)D 水平的相关性。这项观察性研究于 2017 年至 2018 年期间共招募了 117 名受试者(58 名非神经疾病患者和 59 名神经疾病患者)。采集配对的 CSF 和血液样本。测量 CSF 和血清中的总 25(OH)D 水平和血清中的维生素 D 结合蛋白(VDBP)水平。我们还对 rs4588 和 rs7041 多态性进行 GC 基因分型,以计算生物可利用和游离 25(OH)D 水平。比较 CSF 总 25(OH)D 水平与血清总、生物可利用和游离 25(OH)D 水平。所有患者的 CSF 总 25(OH)D 浓度平均值为 37.14 ± 7.71ng/ml,血清总 25(OH)D 浓度平均值为 25.72 ± 12.37ng/ml。CSF 中的总 25(OH)D 浓度通常比血清中的浓度高 1.4 倍。CSF 中的总 25(OH)D 浓度与血清中的总、生物可利用和游离 25(OH)D 浓度呈弱正相关,但有统计学意义(P = 0.022,P = 0.033,P = 0.026)。血清总 25(OH)D 浓度也与血清 VDBP 浓度相关(P = 0.017)。然而,非神经疾病组和神经疾病组 CSF 中的总 25(OH)D 水平相似。在韩国人群中,CSF 中的总 25(OH)D 水平与血清中的总、生物可利用和游离 25-羟维生素 D 水平呈弱正相关,但有统计学意义。呈现了韩国神经和非神经疾病患者 CSF 总 25(OH)D 的分布。