• 文献检索
  • 文档翻译
  • 深度研究
  • 学术资讯
  • Suppr Zotero 插件Zotero 插件
  • 邀请有礼
  • 套餐&价格
  • 历史记录
应用&插件
Suppr Zotero 插件Zotero 插件浏览器插件Mac 客户端Windows 客户端微信小程序
定价
高级版会员购买积分包购买API积分包
服务
文献检索文档翻译深度研究API 文档MCP 服务
关于我们
关于 Suppr公司介绍联系我们用户协议隐私条款
关注我们

Suppr 超能文献

核心技术专利:CN118964589B侵权必究
粤ICP备2023148730 号-1Suppr @ 2026

文献检索

告别复杂PubMed语法,用中文像聊天一样搜索,搜遍4000万医学文献。AI智能推荐,让科研检索更轻松。

立即免费搜索

文件翻译

保留排版,准确专业,支持PDF/Word/PPT等文件格式,支持 12+语言互译。

免费翻译文档

深度研究

AI帮你快速写综述,25分钟生成高质量综述,智能提取关键信息,辅助科研写作。

立即免费体验

基于生物反应器模型对达托霉素耐药性演变的见解

Insights Into the Evolution of Daptomycin Resistance From an Bioreactor Model.

作者信息

Lasek-Nesselquist Erica, Lu Jackson, Schneider Ryan, Ma Zhuo, Russo Vincenzo, Mishra Smruti, Pai Manjunath P, Pata Janice D, McDonough Kathleen A, Malik Meenakshi

机构信息

Wadsworth Center, New York State Department of Health, Albany, NY, United States.

Albany College of Pharmacy and Health Sciences, Albany, NY, United States.

出版信息

Front Microbiol. 2019 Feb 28;10:345. doi: 10.3389/fmicb.2019.00345. eCollection 2019.

DOI:10.3389/fmicb.2019.00345
PMID:30891010
原文链接:https://pmc.ncbi.nlm.nih.gov/articles/PMC6413709/
Abstract

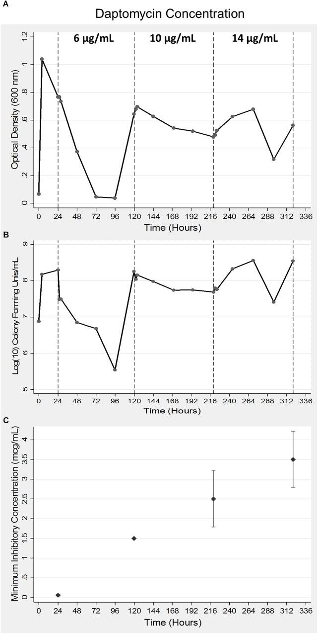
The extensive use of daptomycin for treating complex methicillin-resistant infections has led to the emergence of daptomycin-resistant strains. Although genomic studies have identified mutations associated with daptomycin resistance, they have not necessarily provided insight into the evolution and hierarchy of genetic changes that confer resistance, particularly as antibiotic concentrations are increased. Additionally, plate-dependent analyses that passage bacteria in the presence of antibiotics can induce selective pressures unrelated to antibiotic exposure. We established a continuous culture bioreactor model that exposes strain N315 to increasing concentrations of daptomycin without the confounding effects of nutritional depletion to further understand the evolution of drug resistance and validate the bioreactor as a method that produces clinically relevant results. Samples were collected every 24 h for a period of 14 days and minimum inhibitory concentrations were determined to monitor the acquisition of daptomycin resistance. The collected samples were then subjected to whole genome sequencing. The development of daptomycin resistance in N315 was associated with previously identified mutations in genes coding for proteins that alter cell membrane charge and composition. Although genes involved in metabolic functions were also targets of mutation, the common route to resistance relied on a combination of mutations at a few key loci. Tracking the frequency of each mutation throughout the experiment revealed that mutations need not arise progressively in response to increasing antibiotic concentrations and that most mutations were present at low levels within populations earlier than would be recorded based on single-nucleotide polymorphism (SNP) filtering criteria. In contrast, a serial-passaged population showed only one mutation in a gene associated with resistance and provided limited detail on the changes that occur upon exposure to higher drug dosages. To conclude, this study demonstrates the successful modeling of antibiotic resistance in a bioreactor and highlights the evolutionary paths associated with the acquisition of daptomycin non-susceptibility.

摘要

达托霉素在治疗复杂性耐甲氧西林感染中的广泛使用导致了耐达托霉素菌株的出现。尽管基因组研究已经确定了与达托霉素耐药性相关的突变,但它们不一定能深入了解赋予耐药性的遗传变化的演变和层次结构,尤其是在抗生素浓度增加的情况下。此外,在抗生素存在下传代细菌的平板依赖性分析可能会诱导与抗生素暴露无关的选择压力。我们建立了一个连续培养生物反应器模型,将N315菌株暴露于浓度不断增加的达托霉素中,而不会受到营养耗竭的混杂影响,以进一步了解耐药性的演变,并验证该生物反应器作为一种能产生临床相关结果的方法。在14天的时间里,每24小时收集一次样本,并测定最低抑菌浓度,以监测达托霉素耐药性的获得情况。然后对收集的样本进行全基因组测序。N315中达托霉素耐药性的发展与先前确定的编码改变细胞膜电荷和组成的蛋白质的基因突变有关。虽然参与代谢功能的基因也是突变的靶点,但耐药的常见途径依赖于几个关键位点的突变组合。在整个实验过程中追踪每个突变的频率发现,突变不一定会随着抗生素浓度的增加而逐渐出现,而且大多数突变在群体中的水平在早期就很低,比基于单核苷酸多态性(SNP)筛选标准记录的要早。相比之下,连续传代的群体在与耐药性相关的基因中只显示出一个突变,并且在接触更高剂量药物时发生的变化方面提供的细节有限。总之,这项研究证明了在生物反应器中成功模拟抗生素耐药性,并突出了与获得达托霉素不敏感性相关的进化路径。

https://cdn.ncbi.nlm.nih.gov/pmc/blobs/f171/6413709/0375734699f4/fmicb-10-00345-g002.jpg
https://cdn.ncbi.nlm.nih.gov/pmc/blobs/f171/6413709/002cb86b2e16/fmicb-10-00345-g001.jpg
https://cdn.ncbi.nlm.nih.gov/pmc/blobs/f171/6413709/0375734699f4/fmicb-10-00345-g002.jpg
https://cdn.ncbi.nlm.nih.gov/pmc/blobs/f171/6413709/002cb86b2e16/fmicb-10-00345-g001.jpg
https://cdn.ncbi.nlm.nih.gov/pmc/blobs/f171/6413709/0375734699f4/fmicb-10-00345-g002.jpg

相似文献

1
Insights Into the Evolution of Daptomycin Resistance From an Bioreactor Model.基于生物反应器模型对达托霉素耐药性演变的见解
Front Microbiol. 2019 Feb 28;10:345. doi: 10.3389/fmicb.2019.00345. eCollection 2019.
2
Phenotypic and genetic changes associated with the seesaw effect in MRSA strain N315 in a bioreactor model.与生物反应器模型中 MRSA 菌株 N315 的跷跷板效应相关的表型和遗传变化。
J Glob Antimicrob Resist. 2022 Mar;28:249-253. doi: 10.1016/j.jgar.2022.01.013. Epub 2022 Jan 24.
3
Gain-of-Function Mutations in the Phospholipid Flippase MprF Confer Specific Daptomycin Resistance.磷脂翻转酶 MprF 的功能获得性突变赋予达托霉素特异性耐药性。
mBio. 2018 Dec 18;9(6):e01659-18. doi: 10.1128/mBio.01659-18.
4
Daptomycin resistance in methicillin-resistant Staphylococcus aureus is conferred by IS256 insertion in the promoter of mprF along with mutations in mprF and walK.耐万古霉素金黄色葡萄球菌(Methicillin-resistant Staphylococcus aureus,MRSA)中的达托霉素耐药性是由 IS256 在 mprF 启动子中的插入以及 mprF 和 walK 中的突变所导致的。
Int J Antimicrob Agents. 2019 Dec;54(6):673-680. doi: 10.1016/j.ijantimicag.2019.08.021. Epub 2019 Aug 31.
5
Characterization of genetic changes associated with daptomycin nonsusceptibility in Staphylococcus aureus.金黄色葡萄球菌中与达托霉素不敏感相关的遗传变化的特征。
PLoS One. 2018 Jun 7;13(6):e0198366. doi: 10.1371/journal.pone.0198366. eCollection 2018.
6
Evolution of Daptomycin Resistance in Coagulase-Negative Staphylococci Involves Mutations of the Essential Two-Component Regulator WalKR.凝固酶阴性葡萄球菌中达托霉素耐药性的进化涉及必需双组分调控器 WalKR 的突变。
Antimicrob Agents Chemother. 2019 Feb 26;63(3). doi: 10.1128/AAC.01926-18. Print 2019 Mar.
7
In vivo development of daptomycin resistance in vancomycin-susceptible methicillin-resistant Staphylococcus aureus severe infections previously treated with glycopeptides.在先前接受糖肽类药物治疗的万古霉素敏感、耐甲氧西林金黄色葡萄球菌严重感染中,达托霉素耐药性的体内演变。
Eur J Clin Microbiol Infect Dis. 2016 Apr;35(4):625-31. doi: 10.1007/s10096-016-2581-4. Epub 2016 Jan 27.
8
Daptomycin Resistant Clinical Strain With Novel Non-synonymous Mutations in the and Genes: A New Insight Into Daptomycin Resistance.在rpoB和rpsL基因中具有新型非同义突变的达托霉素耐药临床菌株:对达托霉素耐药性的新见解
Front Microbiol. 2018 Nov 6;9:2705. doi: 10.3389/fmicb.2018.02705. eCollection 2018.
9
dltA overexpression: A strain-independent keystone of daptomycin resistance in methicillin-resistant Staphylococcus aureus.dltA 过表达:耐甲氧西林金黄色葡萄球菌中达托霉素耐药性的菌株非依赖性关键因素。
Int J Antimicrob Agents. 2014 Jan;43(1):26-31. doi: 10.1016/j.ijantimicag.2013.10.001. Epub 2013 Oct 16.
10
VraSR and Virulence Trait Modulation during Daptomycin Resistance in Methicillin-Resistant Infection.万古霉素耐药性金黄色葡萄球菌感染中达托霉素耐药性和毒力特征的调节。
mSphere. 2019 Feb 13;4(1):e00557-18. doi: 10.1128/mSphere.00557-18.

引用本文的文献

1
Chemical Composition and Antibacterial Effect of Clove and Thyme Essential Oils on Growth Inhibition and Biofilm Formation of spp. and Other Bacteria.丁香和百里香精油的化学成分及其对[具体菌种]及其他细菌生长抑制和生物膜形成的抗菌作用
Antibiotics (Basel). 2024 Dec 20;13(12):1232. doi: 10.3390/antibiotics13121232.
2
Phenotypic and genetic characterization of daptomycin non-susceptible strains selected by adaptive laboratory evolution.通过适应性实验室进化选择的达托霉素非敏感性菌株的表型和遗传特征。
Front Cell Infect Microbiol. 2024 Oct 24;14:1453233. doi: 10.3389/fcimb.2024.1453233. eCollection 2024.
3
From Data to Decisions: Leveraging Artificial Intelligence and Machine Learning in Combating Antimicrobial Resistance - a Comprehensive Review.

本文引用的文献

1
Daptomycin Resistant Clinical Strain With Novel Non-synonymous Mutations in the and Genes: A New Insight Into Daptomycin Resistance.在rpoB和rpsL基因中具有新型非同义突变的达托霉素耐药临床菌株:对达托霉素耐药性的新见解
Front Microbiol. 2018 Nov 6;9:2705. doi: 10.3389/fmicb.2018.02705. eCollection 2018.
2
Characterization of genetic changes associated with daptomycin nonsusceptibility in Staphylococcus aureus.金黄色葡萄球菌中与达托霉素不敏感相关的遗传变化的特征。
PLoS One. 2018 Jun 7;13(6):e0198366. doi: 10.1371/journal.pone.0198366. eCollection 2018.
3
Differential daptomycin resistance development in Staphylococcus aureus strains with active and mutated gra regulatory systems.
从数据到决策:利用人工智能和机器学习对抗抗菌药物耐药性——全面综述
J Med Syst. 2024 Aug 1;48(1):71. doi: 10.1007/s10916-024-02089-5.
4
Phenotypic and genetic changes associated with the seesaw effect in MRSA strain N315 in a bioreactor model.与生物反应器模型中 MRSA 菌株 N315 的跷跷板效应相关的表型和遗传变化。
J Glob Antimicrob Resist. 2022 Mar;28:249-253. doi: 10.1016/j.jgar.2022.01.013. Epub 2022 Jan 24.
5
Genome-Wide Association Studies for the Detection of Genetic Variants Associated With Daptomycin and Ceftaroline Resistance in .全基因组关联研究用于检测与达托霉素和头孢洛林耐药性相关的基因变异 。 (原文句子不完整,推测补充完整后大概是这样的意思,你可根据实际情况进行调整)
Front Microbiol. 2021 Feb 15;12:639660. doi: 10.3389/fmicb.2021.639660. eCollection 2021.
金黄色葡萄球菌中具有活性和突变的 gra 调节系统的差异化达托霉素耐药性发展。
Int J Med Microbiol. 2018 Apr;308(3):335-348. doi: 10.1016/j.ijmm.2017.12.002. Epub 2017 Dec 21.
4
Phenotypic and genotypic correlates of daptomycin-resistant methicillin-susceptible Staphylococcus aureus clinical isolates.达托霉素耐药的甲氧西林敏感金黄色葡萄球菌临床分离株的表型和基因型相关性
J Microbiol. 2017 Feb;55(2):153-159. doi: 10.1007/s12275-017-6509-1. Epub 2017 Jan 26.
5
In vivo development of daptomycin resistance in vancomycin-susceptible methicillin-resistant Staphylococcus aureus severe infections previously treated with glycopeptides.在先前接受糖肽类药物治疗的万古霉素敏感、耐甲氧西林金黄色葡萄球菌严重感染中,达托霉素耐药性的体内演变。
Eur J Clin Microbiol Infect Dis. 2016 Apr;35(4):625-31. doi: 10.1007/s10096-016-2581-4. Epub 2016 Jan 27.
6
Mechanisms of drug resistance: daptomycin resistance.耐药机制:达托霉素耐药性
Ann N Y Acad Sci. 2015 Sep;1354:32-53. doi: 10.1111/nyas.12948. Epub 2015 Oct 23.
7
Multiple pathways of cross-resistance to glycopeptides and daptomycin in persistent MRSA bacteraemia.持续性耐甲氧西林金黄色葡萄球菌菌血症中对糖肽类和达托霉素交叉耐药的多种途径。
J Antimicrob Chemother. 2015 Nov;70(11):2965-72. doi: 10.1093/jac/dkv225. Epub 2015 Jul 27.
8
Frequency and Distribution of Single-Nucleotide Polymorphisms within mprF in Methicillin-Resistant Staphylococcus aureus Clinical Isolates and Their Role in Cross-Resistance to Daptomycin and Host Defense Antimicrobial Peptides.耐甲氧西林金黄色葡萄球菌临床分离株中mprF内单核苷酸多态性的频率与分布及其在对达托霉素和宿主防御抗菌肽交叉耐药中的作用
Antimicrob Agents Chemother. 2015 Aug;59(8):4930-7. doi: 10.1128/AAC.00970-15. Epub 2015 Jun 8.
9
Staphylococcus aureus metabolic adaptations during the transition from a daptomycin susceptibility phenotype to a daptomycin nonsusceptibility phenotype.金黄色葡萄球菌从对达托霉素敏感表型转变为对达托霉素不敏感表型过程中的代谢适应性
Antimicrob Agents Chemother. 2015 Jul;59(7):4226-38. doi: 10.1128/AAC.00160-15. Epub 2015 May 11.
10
Heterogeneity of genetic pathways toward daptomycin nonsusceptibility in Staphylococcus aureus determined by adjunctive antibiotics.辅助抗生素所决定的金黄色葡萄球菌对达托霉素不敏感的遗传途径的异质性
Antimicrob Agents Chemother. 2015 May;59(5):2799-806. doi: 10.1128/AAC.04990-14. Epub 2015 Mar 2.