Suppr超能文献

根系特征对黑云杉幼苗应对限制条件的影响。

Influence of Root System Characteristics on Black Spruce Seedling Responses to Limiting Conditions.

作者信息

Pernot Clémentine, Thiffault Nelson, DesRochers Annie

机构信息

Institut de recherche sur les forêts, Université du Québec en Abitibi-Témiscamingue, Amos, QC J9T 2L8, Canada.

Canadian Wood Fibre Centre, Canadian Forest Service, Natural Resources Canada, Québec, QC G1V 4C7, Canada.

出版信息

Plants (Basel). 2019 Mar 19;8(3):70. doi: 10.3390/plants8030070.

Abstract

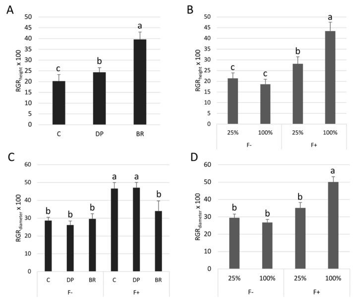
Roots directly affect planted seedling adaptation to new growing conditions at reforestation sites. To test the influence of root characteristics on the short-term response of seedlings to limiting resources (water, nutrient, or oxygen), we conducted two experiments. We compared (1) the growth and physiology of three types of four-year-old black spruce ( (Mill.) BSP) seedlings (Containerized, highly developed initial roots restricted to a plug; bareroot, less developed but unrestricted initial roots; deeply-planted containerized, restricted initial and adventitious roots) to different combinations of irrigation and fertilization. We also investigated (2) the cellular plasticity of adventitious and initial roots to three irrigation regimes including flooding. Bareroot seedlings had better relative growth rates in height than containerized seedlings, probably due to their larger initial size. On the other hand, containerized seedlings took better advantage of fertilization, as shown by a higher relative growth rate in diameter compared to bareroot seedlings and were less affected by water limitation, possibly due to the root plug acting as an additional water reserve capacity. For containerized seedlings, the presence of adventitious roots was beneficial to height growth and physiological performances compared to seedlings with initial roots only. Adventitious roots showed great cell plasticity, particularly under flooding conditions.

摘要

根系直接影响造林地种植幼苗对新生长条件的适应。为了测试根系特征对幼苗对有限资源(水、养分或氧气)短期响应的影响,我们进行了两项实验。我们比较了(1)三种类型的四年生黑云杉((Mill.) BSP)幼苗(容器苗,高度发达的初始根系限制在一个种植钵中;裸根苗,初始根系发育较差但不受限制;深植容器苗,初始根系和不定根均受限制)在不同灌溉和施肥组合下的生长和生理状况。我们还研究了(2)不定根和初始根对包括淹水在内的三种灌溉方式的细胞可塑性。裸根苗的相对苗高生长速率比容器苗好,这可能是由于其初始尺寸较大。另一方面,容器苗能更好地利用施肥,与裸根苗相比,其相对地径生长速率更高,并且受水分限制的影响较小,这可能是因为种植钵起到了额外的水分储备作用。对于容器苗,与仅具初始根的幼苗相比,不定根的存在有利于苗高生长和生理表现。不定根表现出很大的细胞可塑性,尤其是在淹水条件下。

https://cdn.ncbi.nlm.nih.gov/pmc/blobs/eaa6/6473862/3b74f50ab35b/plants-08-00070-g001.jpg

文献检索

告别复杂PubMed语法,用中文像聊天一样搜索,搜遍4000万医学文献。AI智能推荐,让科研检索更轻松。

立即免费搜索

文件翻译

保留排版,准确专业,支持PDF/Word/PPT等文件格式,支持 12+语言互译。

免费翻译文档

深度研究

AI帮你快速写综述,25分钟生成高质量综述,智能提取关键信息,辅助科研写作。

立即免费体验