• 文献检索
  • 文档翻译
  • 深度研究
  • 学术资讯
  • Suppr Zotero 插件Zotero 插件
  • 邀请有礼
  • 套餐&价格
  • 历史记录
应用&插件
Suppr Zotero 插件Zotero 插件浏览器插件Mac 客户端Windows 客户端微信小程序
定价
高级版会员购买积分包购买API积分包
服务
文献检索文档翻译深度研究API 文档MCP 服务
关于我们
关于 Suppr公司介绍联系我们用户协议隐私条款
关注我们

Suppr 超能文献

核心技术专利:CN118964589B侵权必究
粤ICP备2023148730 号-1Suppr @ 2026

文献检索

告别复杂PubMed语法,用中文像聊天一样搜索,搜遍4000万医学文献。AI智能推荐,让科研检索更轻松。

立即免费搜索

文件翻译

保留排版,准确专业,支持PDF/Word/PPT等文件格式,支持 12+语言互译。

免费翻译文档

深度研究

AI帮你快速写综述,25分钟生成高质量综述,智能提取关键信息,辅助科研写作。

立即免费体验

滴灌施肥对L. (Haeoreum)容器育苗生长、开花、光合作用及养分吸收的影响

Effects of Drip Irrigation-Fertilization on Growth, Flowering, Photosynthesis and Nutrient Absorption of Containerized Seedlings of L. (Haeoreum).

作者信息

Jin Eon-Ju, Yoon Jun-Hyuck, Lee Hyeok, Kwon Hae-Yun, Shin Han-Na, Yong Seong-Hyeon, Choi Myung-Suk

机构信息

Forest Biomaterials Research Center, National Institute of Forest Science, Jinju 52817, Republic of Korea.

Forest Medicinal Resources Research Center, National Institute of Forest Science, Yeongju 36040, Republic of Korea.

出版信息

Plants (Basel). 2023 Jun 12;12(12):2293. doi: 10.3390/plants12122293.

DOI:10.3390/plants12122293
PMID:37375918
原文链接:https://pmc.ncbi.nlm.nih.gov/articles/PMC10303470/
Abstract

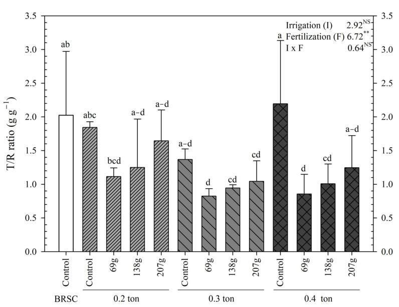
The amount of irrigation and fertilization should be considered first for the production and standardization of high-quality L. seedlings using container seedlings. This study was conducted to investigate the optimal conditions suitable for container cultivation of hibiscus by analyzing growth and physiological responses according to the control of irrigation and fertilization. Therefore, in this study, L. for. (3-year-old hardwood cutting propagation), a fast-growing, was transplanted into a 40 L container. The irrigation amount per container was adjusted (0.2, 0.3 and 0.4 ton/yr/tree), and the amount of fertilizer applied (0, 69.0, 138.0 and 207.0 g/yr/tree). The growth rate according to the irrigation-fertilization treatment was higher in the 0.3 ton-138.0 g/yr/tree irrigation-fertilization treatment ( < 0.001). Total biomass yield and seedling quality index (SQI) were highest in the 0.3 ton-138.0 g/yr/tree irrigation-fertilization treatment ( < 0.001). The higher the fertilization concentration, the faster the flowering and the longer the flowering. The photosynthetic capacity of L. was reduced in bare root seedling cultivation and container-non-fertilized treatment. The chlorophyll fluorescence response was also affected by bare root cultivation and containerized seedling cultivation fertilization. Nutrient vector diagnosis showed "nutritional suitability" in the 0.3 ton-138.0 g/yr/tree treatment. Overall, containerized seedling cultivation was superior in growth, photosynthetic performance, photochemical efficiency, and nutrient storage capacity compared to bare root cultivation. These results be expected to contribute not only to the industrial production of excellent container seedlings of L. but also to the production of other woody plants.

摘要

使用容器育苗生产优质L. 苗木并实现标准化时,应首先考虑灌溉和施肥量。本研究旨在通过分析灌溉和施肥控制下的生长和生理反应,探究适合木槿容器栽培的最佳条件。因此,在本研究中,将生长迅速的L. for.(3年生硬枝扦插繁殖苗)移栽到40升的容器中。调整每个容器的灌溉量(0.2、0.3和0.4吨/年/株)以及施肥量(0、69.0、138.0和207.0克/年/株)。在0.3吨 - 138.0克/年/株的灌溉 - 施肥处理中,根据灌溉 - 施肥处理的生长速率更高(<0.001)。在0.3吨 - 138.0克/年/株的灌溉 - 施肥处理中,总生物量产量和苗木质量指数(SQI)最高(<0.001)。施肥浓度越高,开花越快且花期越长。在裸根苗栽培和容器不施肥处理中,L. 的光合能力降低。叶绿素荧光反应也受到裸根栽培和容器苗栽培施肥的影响。营养向量诊断显示在0.3吨 - 138.0克/年/株处理中为“营养适宜”。总体而言,与裸根栽培相比,容器苗栽培在生长、光合性能、光化学效率和养分储存能力方面更具优势。这些结果有望不仅有助于L. 优质容器苗的工业化生产,也有助于其他木本植物的生产。

https://cdn.ncbi.nlm.nih.gov/pmc/blobs/5576/10303470/69fe4571f304/plants-12-02293-g011.jpg
https://cdn.ncbi.nlm.nih.gov/pmc/blobs/5576/10303470/d409d1e99b09/plants-12-02293-g001.jpg
https://cdn.ncbi.nlm.nih.gov/pmc/blobs/5576/10303470/0460afd9cbd2/plants-12-02293-g002.jpg
https://cdn.ncbi.nlm.nih.gov/pmc/blobs/5576/10303470/1ef7440b3d69/plants-12-02293-g003.jpg
https://cdn.ncbi.nlm.nih.gov/pmc/blobs/5576/10303470/9b99a5cc25b6/plants-12-02293-g004.jpg
https://cdn.ncbi.nlm.nih.gov/pmc/blobs/5576/10303470/003335105d18/plants-12-02293-g005.jpg
https://cdn.ncbi.nlm.nih.gov/pmc/blobs/5576/10303470/8e8f72bc1482/plants-12-02293-g006.jpg
https://cdn.ncbi.nlm.nih.gov/pmc/blobs/5576/10303470/98d859b1223a/plants-12-02293-g007.jpg
https://cdn.ncbi.nlm.nih.gov/pmc/blobs/5576/10303470/9edea8d34eda/plants-12-02293-g008.jpg
https://cdn.ncbi.nlm.nih.gov/pmc/blobs/5576/10303470/bded713ac31f/plants-12-02293-g009.jpg
https://cdn.ncbi.nlm.nih.gov/pmc/blobs/5576/10303470/c8f6f06f0767/plants-12-02293-g010.jpg
https://cdn.ncbi.nlm.nih.gov/pmc/blobs/5576/10303470/69fe4571f304/plants-12-02293-g011.jpg
https://cdn.ncbi.nlm.nih.gov/pmc/blobs/5576/10303470/d409d1e99b09/plants-12-02293-g001.jpg
https://cdn.ncbi.nlm.nih.gov/pmc/blobs/5576/10303470/0460afd9cbd2/plants-12-02293-g002.jpg
https://cdn.ncbi.nlm.nih.gov/pmc/blobs/5576/10303470/1ef7440b3d69/plants-12-02293-g003.jpg
https://cdn.ncbi.nlm.nih.gov/pmc/blobs/5576/10303470/9b99a5cc25b6/plants-12-02293-g004.jpg
https://cdn.ncbi.nlm.nih.gov/pmc/blobs/5576/10303470/003335105d18/plants-12-02293-g005.jpg
https://cdn.ncbi.nlm.nih.gov/pmc/blobs/5576/10303470/8e8f72bc1482/plants-12-02293-g006.jpg
https://cdn.ncbi.nlm.nih.gov/pmc/blobs/5576/10303470/98d859b1223a/plants-12-02293-g007.jpg
https://cdn.ncbi.nlm.nih.gov/pmc/blobs/5576/10303470/9edea8d34eda/plants-12-02293-g008.jpg
https://cdn.ncbi.nlm.nih.gov/pmc/blobs/5576/10303470/bded713ac31f/plants-12-02293-g009.jpg
https://cdn.ncbi.nlm.nih.gov/pmc/blobs/5576/10303470/c8f6f06f0767/plants-12-02293-g010.jpg
https://cdn.ncbi.nlm.nih.gov/pmc/blobs/5576/10303470/69fe4571f304/plants-12-02293-g011.jpg

相似文献

1
Effects of Drip Irrigation-Fertilization on Growth, Flowering, Photosynthesis and Nutrient Absorption of Containerized Seedlings of L. (Haeoreum).滴灌施肥对L. (Haeoreum)容器育苗生长、开花、光合作用及养分吸收的影响
Plants (Basel). 2023 Jun 12;12(12):2293. doi: 10.3390/plants12122293.
2
Combined effects of cotyledon excision and nursery fertilization on root growth, nutrient status and outplanting performance of Quercus variabilis container seedlings.子叶切除与苗圃施肥对栓皮栎容器苗根系生长、养分状况及移栽表现的综合影响
PLoS One. 2017 May 18;12(5):e0177002. doi: 10.1371/journal.pone.0177002. eCollection 2017.
3
Leaf morpho-physiological traits of and in different irrigation regimes and fertilizer types.不同灌溉制度和施肥类型下 和 的叶形态-生理特性。
PeerJ. 2023 Sep 29;11:e16107. doi: 10.7717/peerj.16107. eCollection 2023.
4
[Effects of exponential N fertilization on the growth and nutrient content in clonal Cunninghamia lanceolata seedlings].指数施肥对杉木无性系幼苗生长及养分含量的影响
Ying Yong Sheng Tai Xue Bao. 2016 Oct;27(10):3123-3128. doi: 10.13287/j.1001-9332.201610.027.
5
Influence of Root System Characteristics on Black Spruce Seedling Responses to Limiting Conditions.根系特征对黑云杉幼苗应对限制条件的影响。
Plants (Basel). 2019 Mar 19;8(3):70. doi: 10.3390/plants8030070.
6
Effects of drip irrigation frequency on the yield and nutrient utilization efficiency of tomato under long-season cultivation in solar greenhouse.滴灌频率对日光温室长季节番茄产量和养分利用效率的影响。
Ying Yong Sheng Tai Xue Bao. 2023 May;34(5):1297-1304. doi: 10.13287/j.1001-9332.202305.014.
7
Nitrogen nutrition and drought hardening exert opposite effects on the stress tolerance of Pinus pinea L. seedlings.氮素营养和干旱胁迫处理对欧洲赤松幼苗的抗逆性有相反的影响。
Tree Physiol. 2013 Feb;33(2):221-32. doi: 10.1093/treephys/tps133. Epub 2013 Jan 30.
8
[Effects of water and nitrogen management modes on the leaf photosynthetic characters and yield formation of cotton with under-mulch drip irrigation].膜下滴灌条件下水氮管理模式对棉花叶片光合特性及产量形成的影响
Ying Yong Sheng Tai Xue Bao. 2013 Feb;24(2):407-15.
9
Mixture Compound Fertilizer and Super Absorbent Polymer Application Significantly Promoted Growth and Increased Nutrient Levels in Seedlings and Soil in Seriously Eroded Degradation Region of Southern China.复合肥与高吸水性聚合物的施用显著促进了中国南方严重侵蚀退化地区幼苗生长并提高了土壤养分水平。
Front Plant Sci. 2021 Dec 7;12:763175. doi: 10.3389/fpls.2021.763175. eCollection 2021.
10
Management of Using Fungicides and Host Plant Defense Inducers Under Drought Conditions: A Case Study of Flowering Dogwood.利用杀菌剂和寄主植物防御诱导剂在干旱条件下的管理:以红花槭为例。
Plant Dis. 2022 Feb;106(2):475-485. doi: 10.1094/PDIS-04-21-0789-RE. Epub 2022 Feb 2.

本文引用的文献

1
Rebalancing Nutrients, Reinforcing Antioxidant and Osmoregulatory Capacity, and Improving Yield Quality in Drought-Stressed by Foliar Application of a Bee-Honey Solution.通过叶面喷施蜂蜜溶液平衡养分、增强抗氧化和渗透调节能力以及提高干旱胁迫下的产量品质
Plants (Basel). 2022 Dec 22;12(1):63. doi: 10.3390/plants12010063.
2
Plant and mycorrhizal regulation of rhizodeposition.植物与菌根对根际沉积的调控
New Phytol. 2004 Sep;163(3):459-480. doi: 10.1111/j.1469-8137.2004.01130.x.
3
Effect of growing media and fertilization on sugarcane flowering under artificial photoperiod.
人工光周期下生长介质和施肥对甘蔗开花的影响。
PLoS One. 2017 Aug 3;12(8):e0181639. doi: 10.1371/journal.pone.0181639. eCollection 2017.
4
Some relationships between the biochemistry of photosynthesis and the gas exchange of leaves.光合作用的生物化学与叶片气体交换之间的某些关系。
Planta. 1981 Dec;153(4):376-87. doi: 10.1007/BF00384257.
5
Insight into the photosynthetic apparatus in evergreen and deciduous European oaks during autumn senescence using OJIP fluorescence transient analysis.利用OJIP荧光瞬态分析深入了解欧洲常绿和落叶栎树秋季衰老期间的光合机构。
Plant Biol (Stuttg). 2014 Jul;16(4):801-8. doi: 10.1111/plb.12105. Epub 2013 Sep 24.
6
Diurnal changes in photoprotective mechanisms in leaves of cork oak (Quercus suber) during summer.夏季栓皮栎(Quercus suber)叶片光保护机制的日变化。
Tree Physiol. 1996 Jan-Feb;16(1_2):115-123. doi: 10.1093/treephys/16.1-2.115.