Suppr超能文献

沙利鲁单抗联合甲氨蝶呤治疗对甲氨蝶呤应答不足的活动性类风湿关节炎患者:日本一项随机、安慰剂对照 III 期临床试验结果。

Sarilumab plus methotrexate in patients with active rheumatoid arthritis and inadequate response to methotrexate: results of a randomized, placebo-controlled phase III trial in Japan.

机构信息

The First Department of Internal Medicine, School of Medicine, University of Occupational and Environmental Health, Japan, 1-1 Iseigaoka, Yahata-nishi-ku, Kitakyushu, 807-8555, Japan.

Sanofi K.K, Opera City Tower 3-20-2 Nishi-Shinjuku, Shinjuku-ku, Tokyo, 163-1488, Japan.

出版信息

Arthritis Res Ther. 2019 Mar 20;21(1):79. doi: 10.1186/s13075-019-1856-4.

Abstract

BACKGROUND

Sarilumab is a human immunoglobulin G1 anti-interleukin-6 (IL-6) receptor monoclonal antibody that blocks IL-6 from binding to membrane-bound and soluble IL-6 receptor α. This bridging study assessed the efficacy and safety of sarilumab + methotrexate (MTX) in Japanese patients with active rheumatoid arthritis (RA) and inadequate response to MTX (MTX-IR).

METHODS

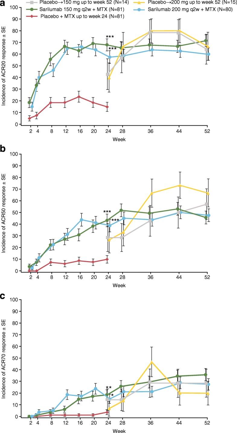
In this phase III study, 243 patients were randomized 2:2:1:1 to receive subcutaneous sarilumab 150 mg every 2 weeks (q2w), sarilumab 200 mg q2w, placebo switching to sarilumab 150 mg q2w + MTX at 24 weeks, or placebo switching to sarilumab 200 mg q2w at 24 weeks, all in combination with MTX, for a total of 52 weeks (double-blind, placebo-controlled 24-week period followed by a single-blind 28-week extension). The primary endpoint was the proportion of patients achieving American College of Rheumatology 20% improvement criteria (ACR20) responses at week 24.

RESULTS

ACR20 response rates at week 24 were 67.9%, 57.5%, and 14.8% for sarilumab 150 mg, sarilumab 200 mg, and placebo, respectively. Serious treatment-emergent adverse events were reported by 9.9%, 6.3%, 0%, and 13.3% of patients in the sarilumab 150 mg, sarilumab 200 mg, placebo to sarilumab 150 mg, and placebo to sarilumab 200 mg groups, respectively. No deaths occurred. The incidence of infections ranged from 52.5 to 67.9%, with five serious infections for the sarilumab 150 mg group and one for the group switched from placebo to 200 mg sarilumab. Absolute neutrophil count < 1.0 Giga/l occurred in 13.6% and 7.5% of patients in the sarilumab 150 and 200 mg groups, respectively, and was not associated with infection.

CONCLUSIONS

In Japanese MTX-IR RA patients treated with sarilumab (150 and 200 mg q2w) in combination with MTX, sustained clinical efficacy was shown by significant improvement in signs, symptoms, and physical function; bridging between this and a previous global study was achieved. At week 52, the safety profiles of both doses of sarilumab were generally similar, as previously observed and as expected based on IL-6 class.

TRIAL REGISTRATION

ClinicalTrials.gov, NCT02293902 . Registered on 19 November 2014.

摘要

背景

沙利鲁单抗是一种人源化 IgG1 抗白细胞介素-6(IL-6)受体单克隆抗体,可阻止 IL-6 与膜结合和可溶性 IL-6 受体 α 结合。这项桥接研究评估了沙利鲁单抗+甲氨蝶呤(MTX)在对 MTX 反应不足的日本活动性类风湿关节炎(RA)患者中的疗效和安全性(MTX-IR)。

方法

在这项 III 期研究中,243 名患者被随机分为 2:2:1:1 组,分别接受皮下注射沙利鲁单抗 150mg,每 2 周(q2w)一次;沙利鲁单抗 200mg,q2w;安慰剂在 24 周时转换为沙利鲁单抗 150mg+MTX;安慰剂在 24 周时转换为沙利鲁单抗 200mg,均与 MTX 联合使用,总疗程为 52 周(双盲、安慰剂对照 24 周,随后进行单盲 28 周扩展)。主要终点是在第 24 周达到美国风湿病学会 20%改善标准(ACR20)应答的患者比例。

结果

第 24 周时,沙利鲁单抗 150mg、200mg 和安慰剂组的 ACR20 应答率分别为 67.9%、57.5%和 14.8%。沙利鲁单抗 150mg、200mg、安慰剂至沙利鲁单抗 150mg 和安慰剂至沙利鲁单抗 200mg 组分别有 9.9%、6.3%、0%和 13.3%的患者发生严重治疗期不良事件。无死亡发生。感染发生率为 52.5%至 67.9%,沙利鲁单抗 150mg 组有 5 例严重感染,安慰剂转为 200mg 沙利鲁单抗组有 1 例感染。沙利鲁单抗 150mg 和 200mg 组各有 13.6%和 7.5%的患者出现绝对中性粒细胞计数<1.0Giga/l,与感染无关。

结论

在接受沙利鲁单抗(150 和 200mg,q2w)联合 MTX 治疗的日本 MTX-IR RA 患者中,持续的临床疗效显著改善了体征、症状和身体功能;这与之前的全球研究结果相吻合。在第 52 周时,两种剂量的沙利鲁单抗的安全性概况通常相似,这与之前观察到的结果一致,也与基于白细胞介素-6 类的预期一致。

试验注册

ClinicalTrials.gov,NCT02293902。于 2014 年 11 月 19 日注册。

https://cdn.ncbi.nlm.nih.gov/pmc/blobs/42e6/6425658/55014b820380/13075_2019_1856_Fig1_HTML.jpg

文献检索

告别复杂PubMed语法,用中文像聊天一样搜索,搜遍4000万医学文献。AI智能推荐,让科研检索更轻松。

立即免费搜索

文件翻译

保留排版,准确专业,支持PDF/Word/PPT等文件格式,支持 12+语言互译。

免费翻译文档

深度研究

AI帮你快速写综述,25分钟生成高质量综述,智能提取关键信息,辅助科研写作。

立即免费体验