Suppr超能文献

运动员个体内和组间比较:400 米栏优秀运动员的跑步速度和步幅特征。

Intra-athlete and inter-group comparisons: Running pace and step characteristics of elite athletes in the 400-m hurdles.

机构信息

Faculty of Sport and Health Science, Ritsumeikan University, Kusatsu, Shiga, Japan.

出版信息

PLoS One. 2019 Mar 28;14(3):e0204185. doi: 10.1371/journal.pone.0204185. eCollection 2019.

Abstract

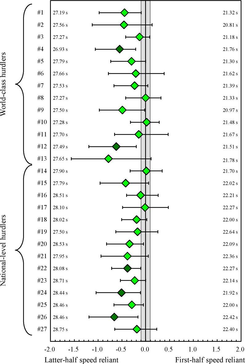
The aim of this study was to investigate the running pace and step characteristics among various competitive-level 400-m hurdlers through inter-group and intra-athlete comparisons. We analysed spatiotemporal data involving the split time, mean step length (SL) and mean step frequency (SF) for 13 male world-class and 14 male national-level 400-m hurdlers. We analysed 16.5 ± 3.9 races for each world-class hurdler and 19.8 ± 6.0 races for each national-level hurdler (the total number of analysed runs was 491) using publicly available television and internet broadcasts. Inter-group comparisons showed that both first- and latter-halves split times of the world-class hurdlers were significantly shorter than those of the national-level hurdlers. In the latter-half phase, no significant differences of SL and SF were observed between the world-class and national level hurdlers. Intra-athlete comparisons showed that no athletes favoured only first-half phase in terms of running speed in short finish times. In contrast, finish times of all hurdlers were sensitive to running speed in the latter-half phase. In the latter half of the race, 18 of the 27 hurdlers were identified as being SF reliant during speed enhancements; running speed of the other 9 hurdlers were also sensitive to high SF. In conclusions, important findings regarding high performance in inter-group comparisons do not always corresponded with those in intra-athlete comparisons. All athletes and coaches should first prioritize maintaining high running speeds in the latter half of 400-m hurdles rather than in the first half of the race.

摘要

本研究旨在通过组间和运动员个体内比较,研究不同竞技水平的 400 米栏运动员的跑步节奏和步伐特征。我们分析了涉及分段时间、平均步长 (SL) 和平均步频 (SF) 的时空数据,涉及 13 名世界级男性 400 米栏运动员和 14 名国家级男性 400 米栏运动员。我们分析了每个世界级栏运动员 16.5 ± 3.9 场比赛和每个国家级栏运动员 19.8 ± 6.0 场比赛(总共分析了 491 场比赛),使用公开的电视和互联网广播。组间比较显示,世界级栏运动员的前半段和后半段分段时间均明显短于国家级栏运动员。在后半段,世界级和国家级栏运动员的 SL 和 SF 没有显著差异。运动员个体内比较显示,在短跑成绩中,没有运动员仅在前半段表现出更快的跑步速度。相比之下,所有栏运动员在后半段的成绩都对跑步速度敏感。在比赛的后半段,27 名栏运动员中有 18 名在速度提高时被认为依赖 SF;其他 9 名栏运动员的跑步速度也对高 SF 敏感。总之,在组间比较中发现的与高性能相关的重要结果并不总是与运动员个体内比较的结果相对应。所有运动员和教练都应首先优先考虑在 400 米栏的后半段保持高跑步速度,而不是在前半段比赛。

https://cdn.ncbi.nlm.nih.gov/pmc/blobs/8caa/6438499/349a46dc16a5/pone.0204185.g001.jpg

文献AI研究员

20分钟写一篇综述,助力文献阅读效率提升50倍。

立即体验

用中文搜PubMed

大模型驱动的PubMed中文搜索引擎

马上搜索

文档翻译

学术文献翻译模型,支持多种主流文档格式。

立即体验