Suppr超能文献

使用人工神经网络为400米跨栏制定三个月中周期的训练负荷计划。

Planning Training Loads for the 400 M Hurdles in Three-Month Mesocycles using Artificial Neural Networks.

作者信息

Przednowek Krzysztof, Iskra Janusz, Wiktorowicz Krzysztof, Krzeszowski Tomasz, Maszczyk Adam

机构信息

Faculty of Physical Education, University of Rzeszów, Rzeszów, Poland.

Faculty of Physical Education and Physiotherapy, Opole University of Technology, Opole, Poland.

出版信息

J Hum Kinet. 2017 Dec 28;60:175-189. doi: 10.1515/hukin-2017-0101. eCollection 2017 Dec.

Abstract

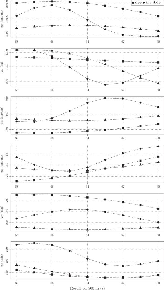
This paper presents a novel approach to planning training loads in hurdling using artificial neural networks. The neural models performed the task of generating loads for athletes' training for the 400 meters hurdles. All the models were calculated based on the training data of 21 Polish National Team hurdlers, aged 22.25 ± 1.96, competing between 1989 and 2012. The analysis included 144 training plans that represented different stages in the annual training cycle. The main contribution of this paper is to develop neural models for planning training loads for the entire career of a typical hurdler. In the models, 29 variables were used, where four characterized the runner and 25 described the training process. Two artificial neural networks were used: a multi-layer perceptron and a network with radial basis functions. To assess the quality of the models, the leave-one-out cross-validation method was used in which the Normalized Root Mean Squared Error was calculated. The analysis shows that the method generating the smallest error was the radial basis function network with nine neurons in the hidden layer. Most of the calculated training loads demonstrated a non-linear relationship across the entire competitive period. The resulting model can be used as a tool to assist a coach in planning training loads during a selected training period.

摘要

本文提出了一种利用人工神经网络规划跨栏训练负荷的新方法。神经模型执行了为400米跨栏运动员训练生成负荷的任务。所有模型均基于21名波兰国家队跨栏运动员的训练数据计算得出,这些运动员年龄在22.25±1.96岁之间,比赛时间为1989年至2012年。分析包括144个代表年度训练周期不同阶段的训练计划。本文的主要贡献在于为典型跨栏运动员的整个职业生涯开发规划训练负荷的神经模型。在模型中,使用了29个变量,其中4个表征跑步者,25个描述训练过程。使用了两个人工神经网络:多层感知器和径向基函数网络。为了评估模型的质量,采用了留一法交叉验证方法,计算了归一化均方根误差。分析表明,产生最小误差的方法是隐藏层有9个神经元的径向基函数网络。在整个比赛期间,大多数计算出的训练负荷呈现出非线性关系。所得模型可作为一种工具,协助教练在选定的训练期间规划训练负荷。

https://cdn.ncbi.nlm.nih.gov/pmc/blobs/f778/5765798/441bea03f210/hukin-60-175-g001.jpg

文献检索

告别复杂PubMed语法,用中文像聊天一样搜索,搜遍4000万医学文献。AI智能推荐,让科研检索更轻松。

立即免费搜索

文件翻译

保留排版,准确专业,支持PDF/Word/PPT等文件格式,支持 12+语言互译。

免费翻译文档

深度研究

AI帮你快速写综述,25分钟生成高质量综述,智能提取关键信息,辅助科研写作。

立即免费体验