Suppr超能文献

高通量测序比较不同饲养方式下鸭子肠道微生物群落结构。

Comparison of the Intestinal Microbial Community in Ducks Reared Differently through High-Throughput Sequencing.

机构信息

College of Animal Science, Wenzhou Vocational College of Science and Technology, Wenzhou 325006, China.

College of Veterinary Medicine, Huazhong Agricultural University, Wuhan 430070, China.

出版信息

Biomed Res Int. 2019 Mar 10;2019:9015054. doi: 10.1155/2019/9015054. eCollection 2019.

Abstract

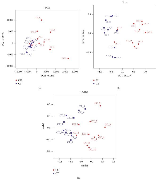
Birds are an important source of fecal contamination in environment. Many of diseases are spread through water contamination caused by poultry droppings. A study was conducted to compare the intestinal microbial structure of Shaoxing ducks with and without water. Thirty 1-day-old Shaoxing ducks (Qingke No. 3) were randomly divided into two groups; one group had free access to water (CC), while the other one was restricted from water (CT). After 8 months of breeding, caecal samples of 10 birds from each group were obtained on ice for high-throughput sequencing. A total of 1507978 valid sequences were examined and clustered into 1815 operational taxonomic units (OTUs). At phylum level, Firmicutes (41.37%), Bacteroidetes (33.26%), Proteobacteria (13.67%), and Actinobacteria (8.26%) were found to dominate the microbial community in CC birds, while Firmicutes (53.62%), Bacteroidetes (33.06%), and Actinobacteria (11.13%) were uncovered to be the prime phyla in CT ducks. At genus level, Bacteroides (25.02%), Escherichia-Shigella (11.02%), Peptococcus (7.73%) and Parabacteroides (5.86%) were revealed to be the mainly genera in the CC group ducks, while Bacteroides (18.11%), Erysipelatoclostridium (10.94%), Ruminococcaceae_unclassified (10.43%), Lachnospiraceae_unclassified (5.26%), Coriobacteriales_unclassified (5.89%), and Faecalibacterium (4.2%) were detected to staple the microbial flora in the CT birds. One phylum and 13 genera were found to have the significant difference between the two bird groups (p<0.05). At phylum level, Proteobacteria in CT ducks were found to be obviously lower than ducks in CC birds (p<0.05). At genus level, Escherichia-Shigella (p<0.05) and Peptococcus (p<0.05) were found to be notably lower in CT birds, while Erysipelatoclostridium (p<0.05), Ruminococcaceae_unclassified (p<0.01), Coriobacteriales_unclassified (p<0.05), Faecalibacterium (p<0.01), Atopobiaceae_unclassified (p<0.01), Alistipes (p<0.05), Eggerthellaceae_unclassified (p<0.05), Prevotella_7 (<0.05), Rikenellaceae_RC9_gut_group (p<0.05), Prevotellaceae_uncultured (p<0.05), and Shuttleworthia (p<0.05) were observed to be prominently higher in CT ducks. In conclusion, the present study revealed the effects of keeping ducks away from swimming with obvious changes in the microbial community. Though higher microbial richness was found in the ducks without swimming, more pathogenic genera including Eggerthella, Erysipelatoclostridium, Alistipes, Prevotella_7, and Shuttleworthia; zoonotic genera including Eggerthella and Shuttleworthia; inflammatory genus Alistipes; anti-inflammatory Faecalibacterium genus; and tumor genus Rikenellaceae were examined in these ducks. The CT ducks also showed significant changes at genera level regarding the metabolism (Peptococcus, Ruminococcaceae, and Coriobacteriales).

摘要

鸟类是环境中粪便污染的重要来源。许多疾病通过家禽粪便污染的水传播。本研究旨在比较有饮水和无饮水的绍兴鸭的肠道微生物结构。将 30 只 1 日龄绍兴鸭(青壳 3 号)随机分为两组,一组自由饮水(CC),另一组限制饮水(CT)。饲养 8 个月后,每组各取 10 只鸡的盲肠样本在冰上进行高通量测序。共检查了 1507978 个有效序列,并聚类为 1815 个操作分类单元(OTUs)。在门水平上,厚壁菌门(41.37%)、拟杆菌门(33.26%)、变形菌门(13.67%)和放线菌门(8.26%)在 CC 鸟类的微生物群落中占主导地位,而在 CT 鸭中发现厚壁菌门(53.62%)、拟杆菌门(33.06%)和放线菌门(11.13%)是主要的门。在属水平上,拟杆菌属(25.02%)、大肠杆菌-志贺氏菌属(11.02%)、消化链球菌属(7.73%)和拟普雷沃氏菌属(5.86%)是 CC 组鸭的主要属,而拟杆菌属(18.11%)、真杆菌属(10.94%)、瘤胃球菌科未分类(10.43%)、毛螺菌科未分类(5.26%)、科里杆菌科未分类(5.89%)和粪杆菌属(4.2%)则是 CT 鸭的主要菌群。两个鸟类群体之间有一个门和 13 个属存在显著差异(p<0.05)。在门水平上,CT 鸭的变形菌明显低于 CC 鸭(p<0.05)。在属水平上,大肠杆菌-志贺氏菌属(p<0.05)和消化链球菌属(p<0.05)明显低于 CT 鸭,而真杆菌属(p<0.05)、瘤胃球菌科未分类(p<0.01)、科里杆菌科未分类(p<0.05)、粪杆菌属(p<0.01)、阿托波氏菌科未分类(p<0.01)、拟杆菌属(p<0.05)、艾格尔特菌科未分类(p<0.05)、普雷沃氏菌属 7 型(p<0.05)、瑞肯菌科 RC9 肠道群(p<0.05)、未培养的普雷沃氏菌属(p<0.05)和穿梭菌属(p<0.05)在 CT 鸭中明显较高。综上所述,本研究揭示了让鸭子远离游泳对微生物群落明显变化的影响。虽然不游泳的鸭子的微生物丰富度更高,但更多的致病性属,包括 Eggerthella、Erysipelatoclostridium、Alistipes、Prevotella_7 和 Shuttleworthia;人畜共患属,包括 Eggerthella 和 Shuttleworthia;炎症属 Alistipes;抗炎属粪杆菌属;肿瘤属 Rikenellaceae 在这些鸭子中都有发现。CT 鸭在代谢(消化链球菌属、瘤胃球菌科和科里杆菌科)方面的属水平也发生了显著变化。

https://cdn.ncbi.nlm.nih.gov/pmc/blobs/9340/6431443/1e726141e11e/BMRI2019-9015054.001.jpg

文献检索

告别复杂PubMed语法,用中文像聊天一样搜索,搜遍4000万医学文献。AI智能推荐,让科研检索更轻松。

立即免费搜索

文件翻译

保留排版,准确专业,支持PDF/Word/PPT等文件格式,支持 12+语言互译。

免费翻译文档

深度研究

AI帮你快速写综述,25分钟生成高质量综述,智能提取关键信息,辅助科研写作。

立即免费体验