• 文献检索
  • 文档翻译
  • 深度研究
  • 学术资讯
  • Suppr Zotero 插件Zotero 插件
  • 邀请有礼
  • 套餐&价格
  • 历史记录
应用&插件
Suppr Zotero 插件Zotero 插件浏览器插件Mac 客户端Windows 客户端微信小程序
定价
高级版会员购买积分包购买API积分包
服务
文献检索文档翻译深度研究API 文档MCP 服务
关于我们
关于 Suppr公司介绍联系我们用户协议隐私条款
关注我们

Suppr 超能文献

核心技术专利:CN118964589B侵权必究
粤ICP备2023148730 号-1Suppr @ 2026

文献检索

告别复杂PubMed语法,用中文像聊天一样搜索,搜遍4000万医学文献。AI智能推荐,让科研检索更轻松。

立即免费搜索

文件翻译

保留排版,准确专业,支持PDF/Word/PPT等文件格式,支持 12+语言互译。

免费翻译文档

深度研究

AI帮你快速写综述,25分钟生成高质量综述,智能提取关键信息,辅助科研写作。

立即免费体验

直流电处理的生物聚合物水凝胶的物理化学性质

Physicochemical Properties of Biopolymer Hydrogels Treated by Direct Electric Current.

作者信息

Król Żaneta, Malik Magdalena, Marycz Krzysztof, Jarmoluk Andrzej

机构信息

Department of Animal Products Technology and Quality Management, Wroclaw University of Environmental and Life Sciences, Chelmonskiego 37/41, 51-630 Wroclaw, Poland.

Faculty of Chemistry, Wroclaw University of Technology, Smoluchowskiego 23, 50-370 Wroclaw, Poland.

出版信息

Polymers (Basel). 2016 Jul 12;8(7):248. doi: 10.3390/polym8070248.

DOI:10.3390/polym8070248
PMID:30974532
原文链接:https://pmc.ncbi.nlm.nih.gov/articles/PMC6432318/
Abstract

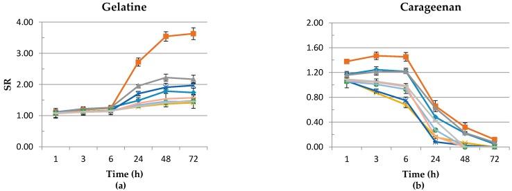
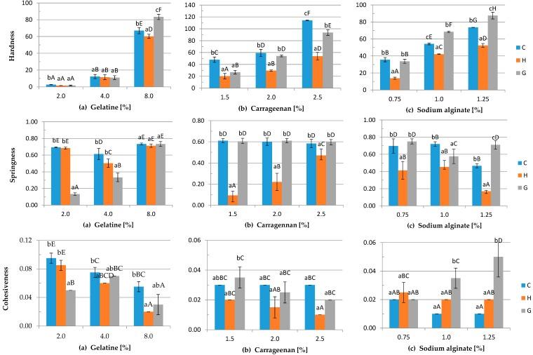
The objective of this study was to evaluate the changes within the physicochemical properties of gelatine (2%; 4%; 8%), carrageenan (1.5%; 2%; 2.5%) and sodium alginate (0.75%; 1%; 1.25%) hydrogels with different sodium chloride concentrations that were triggered by applying direct current (DC) of 400 mA for a duration of five minutes. There were three types of gels prepared for the purpose of the study: C, control; H, gels on the basis of hydrosols that were treated with DC; and G, gels treated with DC. In the course of the study, the authors carried out the following analyses: Texture Profile Analysis (TPA), Fourier Transform Infrared spectroscopy (FTIR), Scanning Electron Microscopy (SEM) and Swelling Ratio (SR). Furthermore, the color and pH of hydrogels were measured. The FTIR spectra showed that the structures of gelatine, carrageenan and sodium alginate do not significantly change upon applying DC. The results of TPA, SR, color and pH measurement indicate that hydrogels' properties are significantly dependent on the type of polymer, its concentration and the type of the gel. By changing those parameters, the characteristics of such gels can be additionally tuned, which extends their applicability, e.g., in the food industry. Moreover, the analysis revealed that SR of H gel gelatine after 72 h of storage was 1.84-times higher than SR of the control sample, which indicated that this gel may be considered as a possible component for wound dressing materials.

摘要

本研究的目的是评估在施加400 mA直流电持续5分钟的情况下,不同氯化钠浓度对明胶(2%;4%;8%)、卡拉胶(1.5%;2%;2.5%)和海藻酸钠(0.75%;1%;1.25%)水凝胶物理化学性质的影响。为该研究制备了三种类型的凝胶:C,对照;H,基于经直流电处理的水溶胶的凝胶;G,经直流电处理的凝胶。在研究过程中,作者进行了以下分析:质地剖面分析(TPA)、傅里叶变换红外光谱(FTIR)、扫描电子显微镜(SEM)和溶胀率(SR)。此外,还测量了水凝胶的颜色和pH值。FTIR光谱表明,施加直流电后,明胶、卡拉胶和海藻酸钠的结构没有显著变化。TPA、SR、颜色和pH值测量结果表明,水凝胶的性质显著取决于聚合物的类型、其浓度和凝胶的类型。通过改变这些参数,可以进一步调整此类凝胶的特性,从而扩展其适用性,例如在食品工业中的适用性。此外,分析表明,储存72小时后,H型明胶凝胶的SR比对照样品高1.84倍,这表明这种凝胶可被视为伤口敷料材料的一种可能成分。

https://cdn.ncbi.nlm.nih.gov/pmc/blobs/90eb/6432318/ce113bb9dd63/polymers-08-00248-g006a.jpg
https://cdn.ncbi.nlm.nih.gov/pmc/blobs/90eb/6432318/8d70872438db/polymers-08-00248-g001.jpg
https://cdn.ncbi.nlm.nih.gov/pmc/blobs/90eb/6432318/6b3fe44279bd/polymers-08-00248-g002.jpg
https://cdn.ncbi.nlm.nih.gov/pmc/blobs/90eb/6432318/cbc534a5756c/polymers-08-00248-g003.jpg
https://cdn.ncbi.nlm.nih.gov/pmc/blobs/90eb/6432318/44210e2d6e96/polymers-08-00248-g004.jpg
https://cdn.ncbi.nlm.nih.gov/pmc/blobs/90eb/6432318/b5d889ab7546/polymers-08-00248-g005a.jpg
https://cdn.ncbi.nlm.nih.gov/pmc/blobs/90eb/6432318/ce113bb9dd63/polymers-08-00248-g006a.jpg
https://cdn.ncbi.nlm.nih.gov/pmc/blobs/90eb/6432318/8d70872438db/polymers-08-00248-g001.jpg
https://cdn.ncbi.nlm.nih.gov/pmc/blobs/90eb/6432318/6b3fe44279bd/polymers-08-00248-g002.jpg
https://cdn.ncbi.nlm.nih.gov/pmc/blobs/90eb/6432318/cbc534a5756c/polymers-08-00248-g003.jpg
https://cdn.ncbi.nlm.nih.gov/pmc/blobs/90eb/6432318/44210e2d6e96/polymers-08-00248-g004.jpg
https://cdn.ncbi.nlm.nih.gov/pmc/blobs/90eb/6432318/b5d889ab7546/polymers-08-00248-g005a.jpg
https://cdn.ncbi.nlm.nih.gov/pmc/blobs/90eb/6432318/ce113bb9dd63/polymers-08-00248-g006a.jpg

相似文献

1
Physicochemical Properties of Biopolymer Hydrogels Treated by Direct Electric Current.直流电处理的生物聚合物水凝胶的物理化学性质
Polymers (Basel). 2016 Jul 12;8(7):248. doi: 10.3390/polym8070248.
2
Characteristic of Gelatine, Carrageenan and Sodium Alginate Hydrosols Treated by Direct Electric Current.直流电处理明胶、卡拉胶和海藻酸钠水溶胶的特性
Polymers (Basel). 2016 Jul 30;8(8):275. doi: 10.3390/polym8080275.
3
On the development and characterisation of crosslinked sodium alginate/gelatine hydrogels.交联海藻酸钠/明胶水凝胶的制备与性能研究。
J Mech Behav Biomed Mater. 2013 Feb;18:152-66. doi: 10.1016/j.jmbbm.2012.11.010. Epub 2012 Nov 30.
4
Characterization of structural and functional properties of soy protein isolate and sodium alginate interpenetrating polymer network hydrogels.大豆分离蛋白和海藻酸钠互穿聚合物网络水凝胶的结构和功能特性的表征。
J Sci Food Agric. 2023 Oct;103(13):6566-6573. doi: 10.1002/jsfa.12736. Epub 2023 Jun 13.
5
κ-Carrageenan/Sodium alginate double-network hydrogel with enhanced mechanical properties, anti-swelling, and adsorption capacity.κ-卡拉胶/海藻酸钠双网络水凝胶,具有增强的机械性能、抗肿胀和吸附能力。
Chemosphere. 2019 Dec;237:124417. doi: 10.1016/j.chemosphere.2019.124417. Epub 2019 Jul 22.
6
The Effects of Using Sodium Alginate Hydrosols Treated with Direct Electric Current as Coatings for Sausages.使用经直流电处理的海藻酸钠水溶胶作为香肠涂层的效果
Polymers (Basel). 2017 Nov 11;9(11):602. doi: 10.3390/polym9110602.
7
Gallic Acid-Loaded Sodium Alginate-Based (Polyvinyl Alcohol-Co-Acrylic Acid) Hydrogel Membranes for Cutaneous Wound Healing: Synthesis and Characterization.载没食子酸的海藻酸钠基(聚乙烯醇-共聚丙烯酸)水凝胶膜用于皮肤创伤愈合:合成与表征。
Molecules. 2022 Dec 1;27(23):8397. doi: 10.3390/molecules27238397.
8
Agar/κ-carrageenan/montmorillonite nanocomposite hydrogels for wound dressing applications.用于伤口敷料应用的琼脂/κ-卡拉胶/蒙脱土纳米复合水凝胶。
Int J Biol Macromol. 2020 Dec 1;164:4591-4602. doi: 10.1016/j.ijbiomac.2020.09.048. Epub 2020 Sep 12.
9
Chitosan/alginate crosslinked hydrogels: preparation, characterization and application for cell growth purposes.壳聚糖/海藻酸钠交联水凝胶:制备、表征及其在细胞生长方面的应用。
Int J Biol Macromol. 2013 Aug;59:342-8. doi: 10.1016/j.ijbiomac.2013.04.073. Epub 2013 May 7.
10
Kinetics and controlled release of lidocaine from novel carrageenan and alginate-based blend hydrogels.新型卡拉胶和海藻酸钠基共混水凝胶中利多卡因的动力学和控制释放。
Int J Biol Macromol. 2020 Mar 15;147:67-78. doi: 10.1016/j.ijbiomac.2020.01.073. Epub 2020 Jan 8.

引用本文的文献

1
Characterization of Biopolymer Hydrogels Prepared with Water Exposed to Indirect Plasma Treatment.用间接等离子体处理过的水制备的生物聚合物水凝胶的表征
Int J Mol Sci. 2024 Dec 14;25(24):13427. doi: 10.3390/ijms252413427.
2
Double Network Physical Crosslinked Hydrogel for Healing Skin Wounds: New Formulation Based on Polysaccharides and Zn.双网络物理交联水凝胶用于皮肤伤口愈合:基于多糖和 Zn 的新配方
Int J Mol Sci. 2023 Aug 22;24(17):13042. doi: 10.3390/ijms241713042.
3
Polysaccharide-Based Hydrogel Microspheres Enhance Crystal Violet Dye Adsorption Properties.

本文引用的文献

1
Impact of magnetic nanofillers in the swelling and release properties of κ-carrageenan hydrogel nanocomposites.磁性纳米填料对κ-卡拉胶水凝胶纳米复合材料溶胀和释放性能的影响。
Carbohydr Polym. 2012 Jan 4;87(1):328-335. doi: 10.1016/j.carbpol.2011.07.051. Epub 2011 Aug 3.
2
Characteristic of Gelatine, Carrageenan and Sodium Alginate Hydrosols Treated by Direct Electric Current.直流电处理明胶、卡拉胶和海藻酸钠水溶胶的特性
Polymers (Basel). 2016 Jul 30;8(8):275. doi: 10.3390/polym8080275.
3
Selection of a chitosan gelatin-based edible coating for color preservation of beef in retail display.
多糖基水凝胶微球增强了结晶紫染料的吸附性能。
Molecules. 2022 Jul 22;27(15):4686. doi: 10.3390/molecules27154686.
4
Structural characterization and protective effects of polysaccharide from on LPS-induced injury in IEC-6 cells.来源于[具体来源未提及]的多糖对脂多糖诱导的IEC-6细胞损伤的结构表征及保护作用。
Food Chem X. 2021 Nov 9;12:100157. doi: 10.1016/j.fochx.2021.100157. eCollection 2021 Dec 30.
5
Multifactorial Effects of Gelling Conditions on Mechanical Properties of Skin-Like Gelatin Membranes Intended for In Vitro Experimentation and Artificial Skin Models.凝胶化条件对用于体外实验和人工皮肤模型的类皮肤明胶膜力学性能的多因素影响。
Polymers (Basel). 2021 Jun 18;13(12):1991. doi: 10.3390/polym13121991.
6
Alginate: From Food Industry to Biomedical Applications and Management of Metabolic Disorders.藻酸盐:从食品工业到生物医学应用及代谢紊乱管理
Polymers (Basel). 2020 Oct 20;12(10):2417. doi: 10.3390/polym12102417.
7
Characteristic of Gelatine, Carrageenan and Sodium Alginate Hydrosols Treated by Direct Electric Current.直流电处理明胶、卡拉胶和海藻酸钠水溶胶的特性
Polymers (Basel). 2016 Jul 30;8(8):275. doi: 10.3390/polym8080275.
8
The Effects of Using Sodium Alginate Hydrosols Treated with Direct Electric Current as Coatings for Sausages.使用经直流电处理的海藻酸钠水溶胶作为香肠涂层的效果
Polymers (Basel). 2017 Nov 11;9(11):602. doi: 10.3390/polym9110602.
9
Composite Biopolymer-Based Wafer Dressings Loaded with Microbial Biosurfactants for Potential Application in Chronic Wounds.负载微生物生物表面活性剂的复合生物聚合物基薄片敷料在慢性伤口中的潜在应用
Polymers (Basel). 2018 Aug 15;10(8):918. doi: 10.3390/polym10080918.
10
Cytotoxicity, Bactericidal, and Antioxidant Activity of Sodium Alginate Hydrosols Treated with Direct Electric Current.直流电处理的海藻酸钠水溶胶的细胞毒性、杀菌及抗氧化活性
Int J Mol Sci. 2017 Mar 22;18(3):678. doi: 10.3390/ijms18030678.
选择基于壳聚糖明胶的可食用涂层用于零售展示中牛肉的颜色保存。
Meat Sci. 2016 Apr;114:85-94. doi: 10.1016/j.meatsci.2015.12.012. Epub 2015 Dec 19.
4
Crosslinked hydrogels based on biological macromolecules with potential use in skin tissue engineering.基于生物大分子的交联水凝胶在皮肤组织工程中的潜在应用。
Int J Biol Macromol. 2016 Mar;84:174-81. doi: 10.1016/j.ijbiomac.2015.12.019. Epub 2015 Dec 15.
5
Biological properties of dialdehyde carboxymethyl cellulose crosslinked gelatin-PEG composite hydrogel fibers for wound dressings.用于伤口敷料的双醛羧甲基纤维素交联明胶-PEG 复合水凝胶纤维的生物学性能。
Carbohydr Polym. 2016 Feb 10;137:508-514. doi: 10.1016/j.carbpol.2015.11.024. Epub 2015 Nov 10.
6
Development of edible films and coatings from alginates and carrageenans.藻酸盐和卡拉胶的可食用薄膜和涂层的开发。
Carbohydr Polym. 2016 Feb 10;137:360-374. doi: 10.1016/j.carbpol.2015.10.074. Epub 2015 Oct 28.
7
Sodium alginate as a potential carrier in solid dispersion formulations to enhance dissolution rate and apparent water solubility of BCS II drugs.海藻酸钠作为固体分散体配方中的一种潜在载体,可提高 BCS II 类药物的溶出速率和表观水溶性。
Carbohydr Polym. 2016 Feb 10;137:350-359. doi: 10.1016/j.carbpol.2015.10.070. Epub 2015 Oct 23.
8
In vitro evaluation of anti-calcification and anti-coagulation on sulfonated chitosan and carrageenan surfaces.磺化壳聚糖和角叉菜胶表面抗钙化和抗凝血的体外评价
Mater Sci Eng C Mater Biol Appl. 2016 Feb;59:241-248. doi: 10.1016/j.msec.2015.10.020. Epub 2015 Oct 9.
9
Study of stiffness effects of poly(amidoamine)-poly(n-isopropyl acrylamide) hydrogel on wound healing.聚(酰胺胺)-聚(N-异丙基丙烯酰胺)水凝胶对伤口愈合的刚度影响研究
Colloids Surf B Biointerfaces. 2016 Apr 1;140:574-582. doi: 10.1016/j.colsurfb.2015.08.041. Epub 2015 Aug 28.
10
Hydrogels of sodium alginate in cationic surfactants: Surfactant dependent modulation of encapsulation/release toward Ibuprofen.海藻酸钠水凝胶在阳离子表面活性剂中的应用:表面活性剂对布洛芬包封/释放的依赖性调节。
Carbohydr Polym. 2015 Nov 20;133:144-53. doi: 10.1016/j.carbpol.2015.06.111. Epub 2015 Jul 11.