• 文献检索
  • 文档翻译
  • 深度研究
  • 学术资讯
  • Suppr Zotero 插件Zotero 插件
  • 邀请有礼
  • 套餐&价格
  • 历史记录
应用&插件
Suppr Zotero 插件Zotero 插件浏览器插件Mac 客户端Windows 客户端微信小程序
定价
高级版会员购买积分包购买API积分包
服务
文献检索文档翻译深度研究API 文档MCP 服务
关于我们
关于 Suppr公司介绍联系我们用户协议隐私条款
关注我们

Suppr 超能文献

核心技术专利:CN118964589B侵权必究
粤ICP备2023148730 号-1Suppr @ 2026

文献检索

告别复杂PubMed语法,用中文像聊天一样搜索,搜遍4000万医学文献。AI智能推荐,让科研检索更轻松。

立即免费搜索

文件翻译

保留排版,准确专业,支持PDF/Word/PPT等文件格式,支持 12+语言互译。

免费翻译文档

深度研究

AI帮你快速写综述,25分钟生成高质量综述,智能提取关键信息,辅助科研写作。

立即免费体验

苎麻青贮饲料类型和切碎长度对黑山羊肉瘤胃微生物群组成的影响

Effects of the Forage Type and Chop Length of Ramie Silage on the Composition of Ruminal Microbiota in Black Goats.

作者信息

Sun Shengnan, Hou Zhenping, Dai Qiuzhong, Wu Duanqin

机构信息

Institute of Bast Fiber Crops, Chinese Academy of Agricultural Sciences, Changsha 410205, China.

College of Animal Science and Technology, Yangzhou University, Yangzhou 225009, China.

出版信息

Animals (Basel). 2019 Apr 18;9(4):177. doi: 10.3390/ani9040177.

DOI:10.3390/ani9040177
PMID:31003497
原文链接:https://pmc.ncbi.nlm.nih.gov/articles/PMC6523289/
Abstract

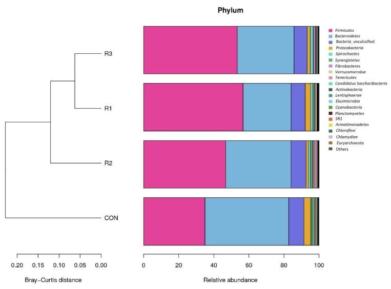
The aim of this study was to investigate the effects of the forage type and chop length of ramie ( (L.) Gaud.) silage on rumen fermentation and ruminal microbiota in black goats. Sixteen Liuyang black goats (22.35 ± 2.16 kg) were fed with the roughage of corn silage or ramie silage at chop lengths of 1, 2, or 3 cm. The Chao 1 index and the observed number of microbial species differed significantly between the corn and ramie silage groups ( < 0.05); however, (relative proportion: 34.99-56.68%), (27.41-47.73%), and (1.44-3.92%) were the predominant phyla in both groups. The relative abundance of (0.32-0.82%) was lowest for the 2 and 3 cm chop lengths ( < 0.05) and was negatively correlated with rumen pH and propionic acid concentration ( < 0.05), but positively correlated with the ratio of acetic acid to propionic acid ( < 0.05). The ramie silage fermentation quality was highest for the 1 cm chop length, suggesting that moderate chopping produces optimal quality silage.

摘要

本研究旨在探讨苎麻((L.) Gaud.)青贮饲料的类型和切碎长度对黑山羊瘤胃发酵及瘤胃微生物群的影响。选用16只浏阳黑山羊(体重22.35±2.16 kg),分别饲喂切碎长度为1、2或3 cm的玉米青贮粗饲料或苎麻青贮粗饲料。玉米青贮组和苎麻青贮组之间的Chao 1指数和观察到的微生物种类数量存在显著差异(<0.05);然而,两组中主要的菌门均为厚壁菌门(相对比例:34.99 - 56.68%)、拟杆菌门(27.41 - 47.73%)和螺旋体门(1.44 - 3.92%)。对于2 cm和3 cm的切碎长度,普雷沃氏菌属的相对丰度最低(<0.05),且与瘤胃pH值和丙酸浓度呈负相关(<0.05),但与乙酸与丙酸的比例呈正相关(<0.05)。苎麻青贮饲料的发酵品质在切碎长度为1 cm时最高,这表明适度切碎可产生品质最佳的青贮饲料。

https://cdn.ncbi.nlm.nih.gov/pmc/blobs/7e05/6523289/2a6e12ecb798/animals-09-00177-g004.jpg
https://cdn.ncbi.nlm.nih.gov/pmc/blobs/7e05/6523289/7edde2a7b328/animals-09-00177-g001.jpg
https://cdn.ncbi.nlm.nih.gov/pmc/blobs/7e05/6523289/4a204b6d1a9f/animals-09-00177-g002.jpg
https://cdn.ncbi.nlm.nih.gov/pmc/blobs/7e05/6523289/d940b3c9ab01/animals-09-00177-g003a.jpg
https://cdn.ncbi.nlm.nih.gov/pmc/blobs/7e05/6523289/2a6e12ecb798/animals-09-00177-g004.jpg
https://cdn.ncbi.nlm.nih.gov/pmc/blobs/7e05/6523289/7edde2a7b328/animals-09-00177-g001.jpg
https://cdn.ncbi.nlm.nih.gov/pmc/blobs/7e05/6523289/4a204b6d1a9f/animals-09-00177-g002.jpg
https://cdn.ncbi.nlm.nih.gov/pmc/blobs/7e05/6523289/d940b3c9ab01/animals-09-00177-g003a.jpg
https://cdn.ncbi.nlm.nih.gov/pmc/blobs/7e05/6523289/2a6e12ecb798/animals-09-00177-g004.jpg

相似文献

1
Effects of the Forage Type and Chop Length of Ramie Silage on the Composition of Ruminal Microbiota in Black Goats.苎麻青贮饲料类型和切碎长度对黑山羊肉瘤胃微生物群组成的影响
Animals (Basel). 2019 Apr 18;9(4):177. doi: 10.3390/ani9040177.
2
The potential of ramie as forage for ruminants: Impacts on growth, digestion, ruminal fermentation, carcass characteristics and meat quality of goats.苎麻作为反刍动物饲料的潜力:对山羊生长、消化、瘤胃发酵、胴体特性和肉质的影响。
Anim Sci J. 2019 Apr;90(4):481-492. doi: 10.1111/asj.13165. Epub 2019 Feb 3.
3
Diets varying in ratio of sweet sorghum silage to corn silage for lactating dairy cows: Feed intake, milk production, blood biochemistry, ruminal fermentation, and ruminal microbial community.饲粮中甜高粱青贮与玉米青贮不同比例对泌乳奶牛的影响:采食量、产奶性能、血液生化指标、瘤胃发酵和瘤胃微生物区系。
J Dairy Sci. 2021 Dec;104(12):12600-12615. doi: 10.3168/jds.2021-20408. Epub 2021 Aug 19.
4
Effects of ramie at various levels on ruminal fermentation and rumen microbiota of goats.不同水平苎麻对山羊瘤胃发酵和瘤胃微生物群的影响。
Food Sci Nutr. 2020 Feb 10;8(3):1628-1635. doi: 10.1002/fsn3.1449. eCollection 2020 Mar.
5
Whole-plant corn silage improves rumen fermentation and growth performance of beef cattle by altering rumen microbiota.全株玉米青贮通过改变瘤胃微生物群来提高肉牛的瘤胃发酵和生长性能。
Appl Microbiol Biotechnol. 2022 Jun;106(11):4187-4198. doi: 10.1007/s00253-022-11956-5. Epub 2022 May 23.
6
Effects of chop length of alfalfa and corn silage on milk production and rumen fermentation of dairy cows.苜蓿和玉米青贮饲料切碎长度对奶牛产奶量及瘤胃发酵的影响
J Dairy Sci. 2007 May;90(5):2355-66. doi: 10.3168/jds.2006-609.
7
Effect of barley silage chop length and inoculation on growth performance, feeding behavior, and ruminal acidosis in finishing feedlot steers.大麦青贮饲料切碎长度和接种对育肥牛生长性能、采食行为及瘤胃酸中毒的影响。
J Anim Sci. 2015 May;93(5):2309-21. doi: 10.2527/jas.2014-8247.
8
Effects of replacing maize silage with lucerne silage and lucerne silage chop length on rumen function and milk fatty acid composition.紫花苜蓿青贮替代玉米青贮及切短长度对瘤胃功能和乳脂肪酸组成的影响。
J Dairy Sci. 2017 Sep;100(9):7127-7138. doi: 10.3168/jds.2017-12914. Epub 2017 Jul 6.
9
Effects of fermented herbal tea residue on meat quality, rumen fermentation parameters and microbes of black goats.发酵茶渣对黑山羊肉品质、瘤胃发酵参数及微生物的影响
AMB Express. 2023 Oct 3;13(1):106. doi: 10.1186/s13568-023-01610-2.
10
Effect of replacing corn straw by sweet sorghum silage or whole plant corn silage in sheep diets on rumen fermentation and bacterial flora.绵羊饲粮中用甜高粱青贮或全株玉米青贮替代玉米秸秆对瘤胃发酵和细菌菌群的影响。
Animal. 2023 Aug;17(8):100906. doi: 10.1016/j.animal.2023.100906. Epub 2023 Jul 6.

引用本文的文献

1
Replacing alfalfa hay with amaranth hay: effects on production performance, rumen fermentation, nutrient digestibility and antioxidant ability in dairy cow.用苋菜干草替代苜蓿干草:对奶牛生产性能、瘤胃发酵、养分消化率和抗氧化能力的影响
Anim Biosci. 2024 Feb;37(2):218-227. doi: 10.5713/ab.23.0232. Epub 2023 Nov 1.
2
Effects of fermented herbal tea residue on meat quality, rumen fermentation parameters and microbes of black goats.发酵茶渣对黑山羊肉品质、瘤胃发酵参数及微生物的影响
AMB Express. 2023 Oct 3;13(1):106. doi: 10.1186/s13568-023-01610-2.

本文引用的文献

1
Effect of changing forage on the dynamic variation in rumen fermentation in sheep.更换饲草对绵羊瘤胃发酵动态变化的影响。
Anim Sci J. 2018 Jan;89(1):122-131. doi: 10.1111/asj.12915. Epub 2017 Sep 25.
2
Effects of replacing maize silage with lucerne silage and lucerne silage chop length on rumen function and milk fatty acid composition.紫花苜蓿青贮替代玉米青贮及切短长度对瘤胃功能和乳脂肪酸组成的影响。
J Dairy Sci. 2017 Sep;100(9):7127-7138. doi: 10.3168/jds.2017-12914. Epub 2017 Jul 6.
3
Effects of corn silage and grass silage in ruminant rations on diurnal changes of microbial populations in the rumen of dairy cows.
玉米青贮和青草青贮在反刍动物日粮中对奶牛瘤胃微生物种群昼夜变化的影响。
Anaerobe. 2016 Dec;42:6-16. doi: 10.1016/j.anaerobe.2016.07.004. Epub 2016 Jul 20.
4
Analysis of the rumen bacterial diversity of goats during shift from forage to concentrate diet.从粗饲料日粮转换为精饲料日粮期间山羊瘤胃细菌多样性分析
Anaerobe. 2016 Dec;42:17-26. doi: 10.1016/j.anaerobe.2016.07.002. Epub 2016 Jul 12.
5
Live yeasts enhance fibre degradation in the cow rumen through an increase in plant substrate colonization by fibrolytic bacteria and fungi.活酵母通过增加纤维分解细菌和真菌对植物底物的定殖,促进奶牛瘤胃中的纤维降解。
J Appl Microbiol. 2016 Mar;120(3):560-70. doi: 10.1111/jam.13005. Epub 2016 Feb 5.
6
An improved dual-indexing approach for multiplexed 16S rRNA gene sequencing on the Illumina MiSeq platform.Illumina MiSeq 平台上用于多重 16S rRNA 基因测序的改良双索引方法。
Microbiome. 2014 Feb 24;2(1):6. doi: 10.1186/2049-2618-2-6.
7
Composition, spatial distribution, and diversity of the bacterial communities in the rumen of cows fed different forages.不同饲草料喂养的奶牛瘤胃细菌群落的组成、空间分布和多样性。
FEMS Microbiol Ecol. 2010 Dec;74(3):612-22. doi: 10.1111/j.1574-6941.2010.00977.x. Epub 2010 Nov 2.
8
Rumen microbial population dynamics during adaptation to a high-grain diet.瘤胃微生物种群对高谷物日粮的适应动态。
Appl Environ Microbiol. 2010 Nov;76(22):7482-90. doi: 10.1128/AEM.00388-10. Epub 2010 Sep 17.
9
Search and clustering orders of magnitude faster than BLAST.比 BLAST 快几个数量级的搜索和聚类。
Bioinformatics. 2010 Oct 1;26(19):2460-1. doi: 10.1093/bioinformatics/btq461. Epub 2010 Aug 12.
10
Bacterial diversity dynamics in rumen epithelium of wethers fed forage and mixed concentrate forage diets.绵羊采食粗饲料和混合精料日粮时瘤胃液上皮的细菌多样性动态变化。
Vet Microbiol. 2010 Nov 20;146(1-2):98-104. doi: 10.1016/j.vetmic.2010.04.029. Epub 2010 May 10.