• 文献检索
  • 文档翻译
  • 深度研究
  • 学术资讯
  • Suppr Zotero 插件Zotero 插件
  • 邀请有礼
  • 套餐&价格
  • 历史记录
应用&插件
Suppr Zotero 插件Zotero 插件浏览器插件Mac 客户端Windows 客户端微信小程序
定价
高级版会员购买积分包购买API积分包
服务
文献检索文档翻译深度研究API 文档MCP 服务
关于我们
关于 Suppr公司介绍联系我们用户协议隐私条款
关注我们

Suppr 超能文献

核心技术专利:CN118964589B侵权必究
粤ICP备2023148730 号-1Suppr @ 2026

文献检索

告别复杂PubMed语法,用中文像聊天一样搜索,搜遍4000万医学文献。AI智能推荐,让科研检索更轻松。

立即免费搜索

文件翻译

保留排版,准确专业,支持PDF/Word/PPT等文件格式,支持 12+语言互译。

免费翻译文档

深度研究

AI帮你快速写综述,25分钟生成高质量综述,智能提取关键信息,辅助科研写作。

立即免费体验

喀斯特天坑为多个门的不同功能群提供了多样化的小生境。

Karst dolines provide diverse microhabitats for different functional groups in multiple phyla.

机构信息

Department of Ecology, University of Szeged, Közép fasor 52, H-6726, Szeged, Hungary.

Department of Botany, Eszterházy Károly University of Applied Sciences, Eszterházy tér 1, H-3300, Eger, Hungary.

出版信息

Sci Rep. 2019 May 9;9(1):7176. doi: 10.1038/s41598-019-43603-x.

DOI:10.1038/s41598-019-43603-x
PMID:31073136
原文链接:https://pmc.ncbi.nlm.nih.gov/articles/PMC6509348/
Abstract

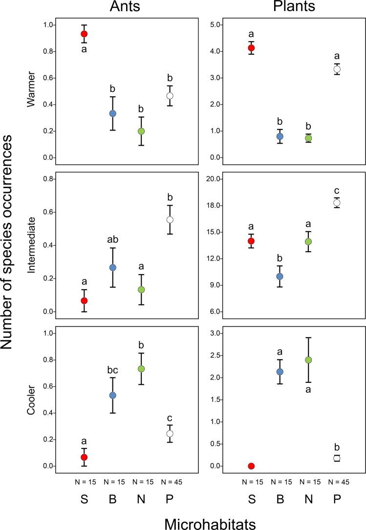
Fine-scale topographic complexity creates important microclimates that can facilitate species to grow outside their main distributional range and increase biodiversity locally. Enclosed depressions in karst landscapes ('dolines') are topographically complex environments which produce microclimates that are drier and warmer (equator-facing slopes) and cooler and moister (pole-facing slopes and depression bottoms) than the surrounding climate. We show that the distribution patterns of functional groups for organisms in two different phyla, Arthropoda (ants) and Tracheophyta (vascular plants), mirror this variation of microclimate. We found that north-facing slopes and bottoms of solution dolines in northern Hungary provided key habitats for ant and plant species associated with cooler and/or moister conditions. Contrarily, south-facing slopes of dolines provided key habitats for species associated with warmer and/or drier conditions. Species occurring on the surrounding plateau were associated with intermediate conditions. We conclude that karst dolines provide a diversity of microclimatic habitats that may facilitate the persistence of taxa with diverse environmental preferences, indicating these dolines to be potential safe havens for multiple phyla under local and global climate oscillations.

摘要

精细的地形复杂性创造了重要的小气候,使物种能够在其主要分布范围之外生长,并在当地增加生物多样性。岩溶景观中的封闭洼地(“溶斗”)是地形复杂的环境,会产生比周围气候更干燥、温暖(面向赤道的斜坡)和凉爽、潮湿(面向极地的斜坡和洼地底部)的小气候。我们表明,两个不同门的生物体的功能组的分布模式,节肢动物(蚂蚁)和维管植物(维管植物),反映了这种小气候的变化。我们发现,匈牙利北部的背阴斜坡和溶斗底部为与较凉爽和/或更潮湿条件相关的蚂蚁和植物物种提供了关键栖息地。相反,溶斗的向阳斜坡为与较温暖和/或较干燥条件相关的物种提供了关键栖息地。出现在周围高原上的物种与中间条件有关。我们得出的结论是,岩溶溶斗提供了多种小气候生境,这可能有助于具有不同环境偏好的类群的生存,表明这些溶斗在当地和全球气候波动下是多个门的潜在安全避难所。

https://cdn.ncbi.nlm.nih.gov/pmc/blobs/991f/6509348/d0cafb194f2a/41598_2019_43603_Fig5_HTML.jpg
https://cdn.ncbi.nlm.nih.gov/pmc/blobs/991f/6509348/ea9e8cac8f58/41598_2019_43603_Fig1_HTML.jpg
https://cdn.ncbi.nlm.nih.gov/pmc/blobs/991f/6509348/1e22f8adb01f/41598_2019_43603_Fig2_HTML.jpg
https://cdn.ncbi.nlm.nih.gov/pmc/blobs/991f/6509348/290a5719e897/41598_2019_43603_Fig3_HTML.jpg
https://cdn.ncbi.nlm.nih.gov/pmc/blobs/991f/6509348/ed9cabd9654a/41598_2019_43603_Fig4_HTML.jpg
https://cdn.ncbi.nlm.nih.gov/pmc/blobs/991f/6509348/d0cafb194f2a/41598_2019_43603_Fig5_HTML.jpg
https://cdn.ncbi.nlm.nih.gov/pmc/blobs/991f/6509348/ea9e8cac8f58/41598_2019_43603_Fig1_HTML.jpg
https://cdn.ncbi.nlm.nih.gov/pmc/blobs/991f/6509348/1e22f8adb01f/41598_2019_43603_Fig2_HTML.jpg
https://cdn.ncbi.nlm.nih.gov/pmc/blobs/991f/6509348/290a5719e897/41598_2019_43603_Fig3_HTML.jpg
https://cdn.ncbi.nlm.nih.gov/pmc/blobs/991f/6509348/ed9cabd9654a/41598_2019_43603_Fig4_HTML.jpg
https://cdn.ncbi.nlm.nih.gov/pmc/blobs/991f/6509348/d0cafb194f2a/41598_2019_43603_Fig5_HTML.jpg

相似文献

1
Karst dolines provide diverse microhabitats for different functional groups in multiple phyla.喀斯特天坑为多个门的不同功能群提供了多样化的小生境。
Sci Rep. 2019 May 9;9(1):7176. doi: 10.1038/s41598-019-43603-x.
2
Environmental heterogeneity increases the conservation value of small natural features in karst landscapes.环境异质性增加了喀斯特地貌中小尺度自然要素的保护价值。
Sci Total Environ. 2023 May 10;872:162120. doi: 10.1016/j.scitotenv.2023.162120. Epub 2023 Feb 10.
3
Large- and small-scale environmental factors drive distributions of cool-adapted plants in karstic microrefugia.大规模和小规模环境因素驱动着喀斯特微避难所中冷适应植物的分布。
Ann Bot. 2017 Jan;119(2):301-309. doi: 10.1093/aob/mcw233. Epub 2016 Dec 26.
4
Topographic depressions can provide climate and resource microrefugia for biodiversity.地形凹陷可为生物多样性提供气候和资源微避难所。
iScience. 2023 Oct 21;26(11):108202. doi: 10.1016/j.isci.2023.108202. eCollection 2023 Nov 17.
5
Linking environmental heterogeneity and plant diversity: The ecological role of small natural features in homogeneous landscapes.链接环境异质性和植物多样性:同质景观中小自然特征的生态作用。
Sci Total Environ. 2021 Apr 1;763:144199. doi: 10.1016/j.scitotenv.2020.144199. Epub 2020 Dec 25.
6
Fine-Scale Microclimatic Variation Can Shape the Responses of Organisms to Global Change in Both Natural and Urban Environments.精细尺度的小气候变异能够塑造生物体在自然和城市环境中对全球变化的响应。
Integr Comp Biol. 2016 Jul;56(1):45-61. doi: 10.1093/icb/icw016. Epub 2016 Apr 23.
7
Functional composition of ant assemblages in habitat islands is driven by habitat factors and landscape composition.生境岛屿上蚂蚁群落的功能组成受生境因子和景观组成的驱动。
Sci Rep. 2021 Oct 25;11(1):20962. doi: 10.1038/s41598-021-00385-5.
8
Microhabitats and canopy cover moderate high summer temperatures in a fragmented Mediterranean landscape.在一片破碎的地中海景观中,微生境和树冠覆盖缓和了夏季的高温。
PLoS One. 2017 Aug 14;12(8):e0183106. doi: 10.1371/journal.pone.0183106. eCollection 2017.
9
Evaluating susceptibility of karst dolines (sinkholes) for collapse in Sango, Tennessee, USA.评估美国田纳西州桑戈岩溶漏斗(落水洞)的塌陷敏感性。
Prog Phys Geogr. 2016 Aug;40(4):579-597. doi: 10.1177/0309133316638816. Epub 2016 Apr 7.
10
Ants and termites increase crop yield in a dry climate.蚂蚁和白蚁能提高干旱气候下的作物产量。
Nat Commun. 2011 Mar 29;2:262. doi: 10.1038/ncomms1257.

引用本文的文献

1
Environmental filtering and dispersal limitation jointly shape the taxonomic, functional and phylogenetic diversity in a subtropical karst forest of China.环境过滤和扩散限制共同塑造了中国亚热带喀斯特森林的分类、功能和系统发育多样性。
Front Plant Sci. 2025 Aug 28;16:1655071. doi: 10.3389/fpls.2025.1655071. eCollection 2025.
2
 (Fabaceae), a new species from Thailand with extraordinary limestone adaptations and the longest inflorescences ever recorded.豆科(Fabaceae),一种来自泰国的新物种,具有非凡的石灰岩适应性,拥有有记录以来最长的花序。
PhytoKeys. 2025 Aug 5;261:13-32. doi: 10.3897/phytokeys.261.156249. eCollection 2025.
3

本文引用的文献

1
Towards an eco-evolutionary understanding of endemism hotspots and refugia.走向对特有现象热点和避难所的生态进化理解。
Ann Bot. 2018 Nov 30;122(6):927-934. doi: 10.1093/aob/mcy173.
2
Microhabitats and canopy cover moderate high summer temperatures in a fragmented Mediterranean landscape.在一片破碎的地中海景观中,微生境和树冠覆盖缓和了夏季的高温。
PLoS One. 2017 Aug 14;12(8):e0183106. doi: 10.1371/journal.pone.0183106. eCollection 2017.
3
Karst tiankengs as refugia for indigenous tree flora amidst a degraded landscape in southwestern China.
Phenological Plant Pattern in the Topographic Complex Karstic Landscape of the Northern Dinaric Alps.
迪纳拉阿尔卑斯山北部岩溶地貌复杂地形中的植物物候模式
Plants (Basel). 2025 Apr 1;14(7):1093. doi: 10.3390/plants14071093.
4
Effects of climate and forest development on habitat specialization and biodiversity in Central European mountain forests.气候和森林发展对中欧山地森林生境特化和生物多样性的影响。
Commun Biol. 2024 Nov 15;7(1):1518. doi: 10.1038/s42003-024-07239-6.
5
Biodiversity of a temperate karst landscape-ice cave collapse doline supports high α-diversity of the soil mesofauna.温带喀斯特地貌-冰洞崩塌坑的生物多样性支持土壤中型动物区系的高α多样性。
Sci Rep. 2024 Sep 27;14(1):22205. doi: 10.1038/s41598-024-72738-9.
6
Mountain caves of the central region of Veracruz: A vertebrate biodiversity reservoir in a Neotropical hotspot.韦拉克鲁斯中部山区洞穴:新热带热点地区的脊椎动物生物多样性宝库。
PLoS One. 2024 Aug 9;19(8):e0306105. doi: 10.1371/journal.pone.0306105. eCollection 2024.
7
Genetic diversity and population structure of an insect-pollinated and bird-dispersed dioecious tree in a fragmented karst forest landscape.喀斯特森林景观破碎化区域中一种虫媒传粉、鸟类传播种子的雌雄异株树木的遗传多样性与种群结构
Ecol Evol. 2024 Jul 31;14(8):e70094. doi: 10.1002/ece3.70094. eCollection 2024 Aug.
8
Topographic depressions can provide climate and resource microrefugia for biodiversity.地形凹陷可为生物多样性提供气候和资源微避难所。
iScience. 2023 Oct 21;26(11):108202. doi: 10.1016/j.isci.2023.108202. eCollection 2023 Nov 17.
9
The effects of anthropogenic disturbance and seasonality on the ant communities of Lang Tengah Island.人类干扰和季节性对浪中岛蚂蚁群落的影响。
PeerJ. 2023 Oct 18;11:e16157. doi: 10.7717/peerj.16157. eCollection 2023.
10
Prehistoric pathways to Anthropocene adaptation: Evidence from the Red River Delta, Vietnam.史前通往人类世适应的途径:来自越南红河三角洲的证据。
PLoS One. 2023 Feb 8;18(2):e0280126. doi: 10.1371/journal.pone.0280126. eCollection 2023.
喀斯特天坑作为西南地区退化景观中本土树种的避难所。
Sci Rep. 2017 Jun 26;7(1):4249. doi: 10.1038/s41598-017-04592-x.
4
Effects of temperature and date of snowmelt on growth, reproduction, and flowering phenology in the arctic/alpine herb, Ranunculus glacialis.温度和融雪日期对北极/高山草本植物冰川毛茛生长、繁殖及开花物候的影响。
Oecologia. 2002 Oct;133(2):168-175. doi: 10.1007/s00442-002-1028-z. Epub 2002 Oct 1.
5
Hydrologic refugia, plants, and climate change.水文避难所、植物与气候变化。
Glob Chang Biol. 2017 Aug;23(8):2941-2961. doi: 10.1111/gcb.13629. Epub 2017 Mar 20.
6
Large- and small-scale environmental factors drive distributions of cool-adapted plants in karstic microrefugia.大规模和小规模环境因素驱动着喀斯特微避难所中冷适应植物的分布。
Ann Bot. 2017 Jan;119(2):301-309. doi: 10.1093/aob/mcw233. Epub 2016 Dec 26.
7
A low-altitude mountain range as an important refugium for two narrow endemics in the Southwest Australian Floristic Region biodiversity hotspot.一条低海拔山脉是澳大利亚西南部植物区系生物多样性热点地区两种狭域特有植物的重要避难所。
Ann Bot. 2017 Jan;119(2):289-300. doi: 10.1093/aob/mcw182. Epub 2016 Sep 15.
8
Where do they go? The effects of topography and habitat diversity on reducing climatic debt in birds.它们会去哪里?地形和生境多样性对减少鸟类气候债务的影响。
Glob Chang Biol. 2017 Jun;23(6):2218-2229. doi: 10.1111/gcb.13500. Epub 2016 Oct 14.
9
Managing Climate Change Refugia for Climate Adaptation.管理气候变化避难所以实现气候适应。
PLoS One. 2016 Aug 10;11(8):e0159909. doi: 10.1371/journal.pone.0159909. eCollection 2016.
10
Fine-scale climate change: modelling spatial variation in biologically meaningful rates of warming.细尺度气候变化:模拟生物意义上变暖速率的空间变化。
Glob Chang Biol. 2017 Jan;23(1):256-268. doi: 10.1111/gcb.13343. Epub 2016 Jun 1.