Suppr超能文献

临床靶向下一代测序 panel 用于检测脑胶质瘤中的体细胞变异。

Clinical Targeted Next-Generation sequencing Panels for Detection of Somatic Variants in Gliomas.

机构信息

Institute for Refractory Cancer Research, Samsung Medical Center, Seoul, Korea.

Deparment of Health Sciences and Technology, SAIHST, Sungkyunkwan University, Seoul, Korea.

出版信息

Cancer Res Treat. 2020 Jan;52(1):41-50. doi: 10.4143/crt.2019.036. Epub 2019 May 7.

Abstract

PURPOSE

Targeted next-generation sequencing (NGS) panels for solid tumors have been useful in clinical framework for accurate tumor diagnosis and identifying essential molecular aberrations. However, most cancer panels have been designed to address a wide spectrum of pan-cancer models, lacking integral prognostic markers that are highly specific to gliomas.

MATERIALS AND METHODS

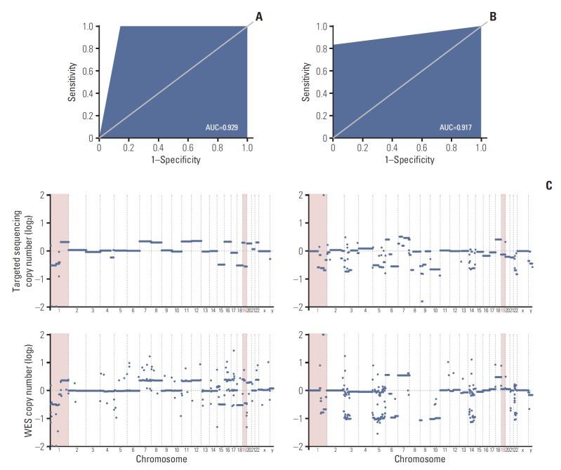
To address such challenges, we have developed a glioma-specific NGS panel, termed "GliomaSCAN," that is capable of capturing single nucleotide variations and insertion/deletion, copy number variation, and selected promoter mutations and structural variations that cover a subset of intron regions in 232 essential glioma-associated genes. We confirmed clinical concordance rate using pairwise comparison of the identified variants from whole exome sequencing (WES), immunohistochemical analysis, and fluorescence in situ hybridization.

RESULTS

Our panel demonstrated high sensitivity in detecting potential genomic variants that were present in the standard materials. To ensure the accuracy of our targeted sequencing panel, we compared our targeted panel to WES. The comparison results demonstrated a high correlation. Furthermore, we evaluated clinical utility of our panel in 46 glioma patients to assess the detection capacity of potential actionable mutations. Thirty-two patients harbored at least one recurrent somatic mutation in clinically actionable gene.

CONCLUSION

We have established a glioma-specific cancer panel. GliomaSCAN highly excelled in capturing somatic variations in terms of both sensitivity and specificity and provided potential clinical implication in facilitating genome-based clinical trials. Our results could provide conceptual advance towards improving the response of genomically guided molecularly targeted therapy in glioma patients.

摘要

目的

用于实体瘤的靶向下一代测序(NGS)面板在临床框架中对于准确的肿瘤诊断和确定基本的分子异常非常有用。然而,大多数癌症面板旨在解决广泛的泛癌模型,缺乏对神经胶质瘤高度特异的完整预后标志物。

材料和方法

为了解决这些挑战,我们开发了一种神经胶质瘤特异性 NGS 面板,称为“GliomaSCAN”,它能够捕获单核苷酸变异和插入/缺失、拷贝数变异以及选定的启动子突变和结构变异,涵盖 232 个重要神经胶质瘤相关基因的一部分内含子区域。我们通过全外显子组测序(WES)、免疫组织化学分析和荧光原位杂交来确认鉴定变体的临床一致性率。

结果

我们的面板在检测标准材料中存在的潜在基因组变体方面表现出高灵敏度。为了确保我们的靶向测序面板的准确性,我们将我们的靶向面板与 WES 进行了比较。比较结果表明高度相关。此外,我们评估了我们的面板在 46 名神经胶质瘤患者中的临床实用性,以评估潜在可操作突变的检测能力。32 名患者在临床上可操作的基因中至少携带一个复发性体细胞突变。

结论

我们已经建立了一种神经胶质瘤特异性癌症面板。GliomaSCAN 在捕捉体细胞变异方面具有很高的灵敏度和特异性,并在促进基于基因组的临床试验方面提供了潜在的临床意义。我们的结果可以为改善神经胶质瘤患者基于基因组的分子靶向治疗的反应提供概念上的进展。

https://cdn.ncbi.nlm.nih.gov/pmc/blobs/00d1/6962483/66c697879faa/crt-2019-036f1.jpg

文献检索

告别复杂PubMed语法,用中文像聊天一样搜索,搜遍4000万医学文献。AI智能推荐,让科研检索更轻松。

立即免费搜索

文件翻译

保留排版,准确专业,支持PDF/Word/PPT等文件格式,支持 12+语言互译。

免费翻译文档

深度研究

AI帮你快速写综述,25分钟生成高质量综述,智能提取关键信息,辅助科研写作。

立即免费体验