Department of Chemistry "G. Ciamician", University of Bologna, Via Selmi 2, 40126 Bologna, Italy.
Department of Pharmacy and BioTechnology, University of Bologna, Via S. Donato 19/2, 40127 Bologna, Italy.
Molecules. 2019 May 19;24(10):1931. doi: 10.3390/molecules24101931.
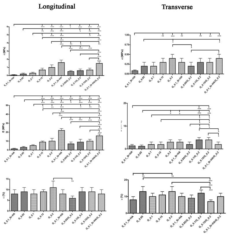
3D cylindrical layered scaffolds with anisotropic mechanical properties were prepared according to a new and simple method, which involves gelatin foaming, deposition of foamed strips, in situ crosslinking, strip rolling and lyophilization. Different genipin concentrations were tested in order to obtain strips with different crosslinking degrees and a tunable stability in biological environment. Before lyophilization, the strips were curled in a concentric structure to generate anisotropic spiral-cylindrical scaffolds. The scaffolds displayed significantly higher values of stress at break and of the Young modulus in compression along the longitudinal than the transverse direction. Further improvement of the mechanical properties was achieved by adding strontium-substituted hydroxyapatite (Sr-HA) to the scaffold composition and by increasing genipin concentration. Moreover, composition modulated also water uptake ability and degradation behavior. The scaffolds showed a sustained strontium release, suggesting possible applications for the local treatment of abnormally high bone resorption. This study demonstrates that assembly of layers of different composition can be used as a tool to obtain scaffolds with modulated properties, which can be loaded with drugs or biologically active molecules providing properties tailored upon the needs.
根据一种新颖而简单的方法,制备了具有各向异性机械性能的 3D 圆柱状分层支架,该方法涉及明胶发泡、泡沫条沉积、原位交联、条带滚动和冻干。为了获得具有不同交联度和可调节的生物环境稳定性的条带,测试了不同的京尼平浓度。在冻干之前,将条带卷曲成同心结构,以产生各向异性螺旋圆柱支架。与横向相比,支架在沿纵向的断裂应力和压缩杨氏模量方面表现出明显更高的值。通过向支架组成中添加锶取代的羟基磷灰石(Sr-HA)并增加京尼平浓度,可以进一步提高机械性能。此外,组成的调制还影响了吸水率和降解行为。支架表现出持续的锶释放,表明其可能适用于局部治疗异常高的骨吸收。本研究表明,不同组成层的组装可以用作获得具有调制性能的支架的工具,这些支架可以负载药物或生物活性分子,以根据需要提供定制的性能。