Christensen Morten J, Eller Esben, Mortz Charlotte G, Brockow Knut, Bindslev-Jensen Carsten
1Department of Dermatology and Allergy Centre, Odense Research Center for Anaphylaxis (ORCA), Odense University Hospital, 5000 Odense C, Denmark.
2Department of Dermatology and Allergy Biederstein, Technische Universität München, Munich, Germany.
Clin Transl Allergy. 2019 May 16;9:26. doi: 10.1186/s13601-019-0265-8. eCollection 2019.
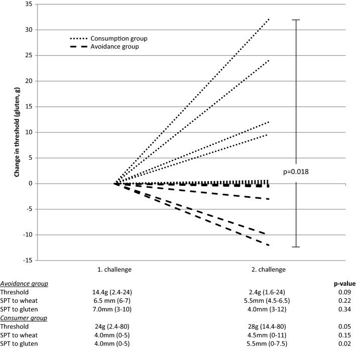
The clinical threshold in wheat-dependent, exercise-induced anaphylaxis seems to be lowered in patients on wheat free diet, whereas the opposite is seen in patients on regular wheat intake. Therefore, a recommendation of wheat consumption, if considered safe to the patient based on case-history and challenge results, could be advised.
在小麦依赖型运动诱发过敏反应中,接受无小麦饮食的患者临床阈值似乎降低,而经常摄入小麦的患者则相反。因此,根据病史和激发试验结果,若认为对患者安全,可建议其食用小麦。