Suppr超能文献

5-氨基酮戊酸在结直肠癌中的放射增敏作用以及…… (原文似乎不完整)

Radiosensitizing effect of 5-aminolevulinic acid in colorectal cancer and .

作者信息

Yamada Kazuto, Murayama Yasutoshi, Kamada Yosuke, Arita Tomohiro, Kosuga Toshiyuki, Konishi Hirotaka, Morimura Ryo, Shiozaki Atsushi, Kuriu Yoshiaki, Ikoma Hisashi, Kubota Takeshi, Nakanishi Masayoshi, Fujiwara Hitoshi, Okamoto Kazuma, Otsuji Eigo

机构信息

Division of Digestive Surgery, Department of Surgery, Kyoto Prefectural University of Medicine, Kyoto 602-8566, Japan.

出版信息

Oncol Lett. 2019 Jun;17(6):5132-5138. doi: 10.3892/ol.2019.10198. Epub 2019 Mar 29.

Abstract

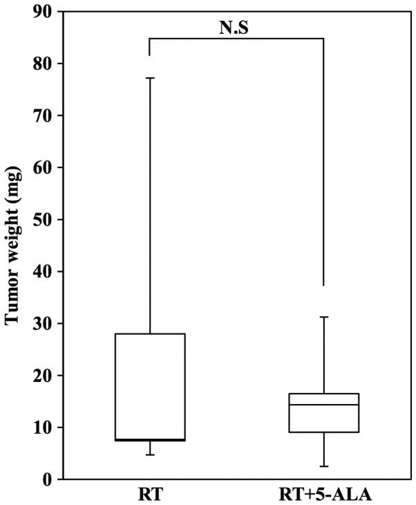
The radiosensitizing effect of 5-aminolevulinic acid (5-ALA) has been demonstrated in glioma and melanoma in a number of studies. Enhancing the radiosensitivity of colorectal cancer may improve survival rates and lessen adverse effects. The present study assessed the radiosensitizing effect of 5-ALA in colorectal cancer using the human colon cancer cell line HT29 and . , cells were pretreated with 5-ALA and exposed to ionizing radiation. Cells pretreated with or without 5-ALA were compared using a colony formation assay. , HT29 cells were implanted into mice subcutaneously and subsequently exposed to ionizing radiation. 5-ALA was administrated by intraperitoneal injection. Subcutaneous tumors treated with or without 5-ALA were compared. Single-dose and multi-dose irradiations were applied both and . Cells exposed to multi-dose irradiation and pretreated with 5-ALA had a significantly lower surviving fraction compared with cells without 5-ALA pretreatment. Following multi-dose irradiation , the volume of the subcutaneous tumors treated with 5-ALA was significantly lower compared with that of tumors without treatment. These results suggest that radiotherapy with 5-ALA may enhance the therapeutic effect in colon cancer.

摘要

多项研究已证实5-氨基乙酰丙酸(5-ALA)在胶质瘤和黑色素瘤中具有放射增敏作用。提高结直肠癌的放射敏感性可能会提高生存率并减轻不良反应。本研究使用人结肠癌细胞系HT29评估了5-ALA对结直肠癌的放射增敏作用。细胞先用5-ALA预处理,然后接受电离辐射。使用集落形成试验比较了用或未用5-ALA预处理的细胞。此外,将HT29细胞皮下植入小鼠体内,随后接受电离辐射。通过腹腔注射给予5-ALA。比较了用或未用5-ALA治疗的皮下肿瘤。单剂量和多剂量照射均应用于体内和体外。与未用5-ALA预处理的细胞相比,接受多剂量照射并经5-ALA预处理的细胞存活分数显著降低。多剂量照射后,用5-ALA治疗的皮下肿瘤体积与未治疗的肿瘤相比显著更小。这些结果表明,用5-ALA进行放射治疗可能会增强结肠癌的治疗效果。

https://cdn.ncbi.nlm.nih.gov/pmc/blobs/c73e/6507316/a7a0f74506cd/ol-17-06-5132-g00.jpg

文献AI研究员

20分钟写一篇综述,助力文献阅读效率提升50倍。

立即体验

用中文搜PubMed

大模型驱动的PubMed中文搜索引擎

马上搜索

文档翻译

学术文献翻译模型,支持多种主流文档格式。

立即体验