• 文献检索
  • 文档翻译
  • 深度研究
  • 学术资讯
  • Suppr Zotero 插件Zotero 插件
  • 邀请有礼
  • 套餐&价格
  • 历史记录
应用&插件
Suppr Zotero 插件Zotero 插件浏览器插件Mac 客户端Windows 客户端微信小程序
定价
高级版会员购买积分包购买API积分包
服务
文献检索文档翻译深度研究API 文档MCP 服务
关于我们
关于 Suppr公司介绍联系我们用户协议隐私条款
关注我们

Suppr 超能文献

核心技术专利:CN118964589B侵权必究
粤ICP备2023148730 号-1Suppr @ 2026

文献检索

告别复杂PubMed语法,用中文像聊天一样搜索,搜遍4000万医学文献。AI智能推荐,让科研检索更轻松。

立即免费搜索

文件翻译

保留排版,准确专业,支持PDF/Word/PPT等文件格式,支持 12+语言互译。

免费翻译文档

深度研究

AI帮你快速写综述,25分钟生成高质量综述,智能提取关键信息,辅助科研写作。

立即免费体验

**钛纳米管**负载**氧化锌**和**羟磷灰石**纳米粒子的**多层复合涂层**:Zn 的可控释放及对 的抗菌性能

Multilayered composite coatings of titanium dioxide nanotubes decorated with zinc oxide and hydroxyapatite nanoparticles: controlled release of Zn and antimicrobial properties against .

机构信息

School of Mechanical Engineering and Built Environment, University of Derby, Derby DE22 3AW, UK.

School of Engineering, Plymouth University, Plymouth PL4 8AA, UK.

出版信息

Int J Nanomedicine. 2019 May 16;14:3583-3600. doi: 10.2147/IJN.S199219. eCollection 2019.

DOI:10.2147/IJN.S199219
PMID:31190813
原文链接:https://pmc.ncbi.nlm.nih.gov/articles/PMC6529028/
Abstract

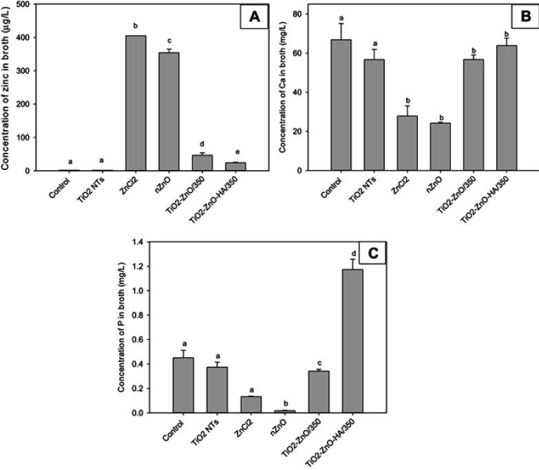
This study aimed to decorate the surface of TiO nanotubes (TiO NTs) grown on medical grade Ti-6Al-4V alloy with an antimicrobial layer of nano zinc oxide particles (nZnO) and then determine if the antimicrobial properties were maintained with a final layer of nano-hydroxyapatite (HA) on the composite. The additions of nZnO were attempted at three different annealing temperatures: 350, 450 and 550 °C. Of these temperatures, 350°C provided the most uniform and nanoporous coating and was selected for antimicrobial testing. The LIVE/DEAD assay showed that ZnCl and nZnO alone were >90% biocidal to the attached bacteria, and nZnO as a coating on the nanotubes resulted in around 70% biocidal activity. The lactate production assay agreed with the LIVE/DEAD assay. The concentrations of lactate produced by the attached bacteria on the surface of nZnO-coated TiO NTs and ZnO/HA-coated TiO NTs were 0.13±0.03 mM and 0.37±0.1 mM, respectively, which was significantly lower than that produced by the bacteria on TiO NTs alone, 1.09±0.30 mM (Kruskal-Wallis, <0.05, n=6). These biochemical measurements were correlated with electron micrographs of cell morphology and cell coverage on the coatings. nZnO on TiO NTs was a stable and antimicrobial coating, and most of the biocidal properties remained in the presence of nano-HA on the coating.

摘要

本研究旨在通过在医用级 Ti-6Al-4V 合金上生长的 TiO 纳米管(TiO NTs)表面装饰一层纳米氧化锌颗粒(nZnO)的抗菌层,然后确定在复合层上最终添加纳米羟基磷灰石(HA)是否能保持其抗菌性能。nZnO 的添加尝试了三种不同的退火温度:350°C、450°C 和 550°C。在这些温度中,350°C 提供了最均匀和纳米多孔的涂层,并被选为抗菌测试。LIVE/DEAD 测定表明,ZnCl 和 nZnO 单独对附着的细菌的杀菌率均>90%,而作为纳米管涂层的 nZnO 的杀菌率约为 70%。乳酸产生测定与 LIVE/DEAD 测定结果一致。附着在 nZnO 涂层的 TiO NTs 和 ZnO/HA 涂层的 TiO NTs 表面的细菌产生的乳酸浓度分别为 0.13±0.03 mM 和 0.37±0.1 mM,明显低于单独的 TiO NTs 上的细菌产生的乳酸浓度 1.09±0.30 mM(Kruskal-Wallis,<0.05,n=6)。这些生化测量结果与涂层上细胞形态和细胞覆盖率的电子显微镜图像相关。nZnO 在 TiO NTs 上是一种稳定的抗菌涂层,并且在涂层上存在纳米 HA 的情况下,大部分杀菌性能仍然存在。

https://cdn.ncbi.nlm.nih.gov/pmc/blobs/672f/6529028/d7f20e841096/IJN-14-3583-g0007.jpg
https://cdn.ncbi.nlm.nih.gov/pmc/blobs/672f/6529028/aed7d27f35ad/IJN-14-3583-g0001.jpg
https://cdn.ncbi.nlm.nih.gov/pmc/blobs/672f/6529028/162f96a8f652/IJN-14-3583-g0002.jpg
https://cdn.ncbi.nlm.nih.gov/pmc/blobs/672f/6529028/758a44983ebe/IJN-14-3583-g0004.jpg
https://cdn.ncbi.nlm.nih.gov/pmc/blobs/672f/6529028/88a1472c3d95/IJN-14-3583-g0005.jpg
https://cdn.ncbi.nlm.nih.gov/pmc/blobs/672f/6529028/71aa84b55270/IJN-14-3583-g0006.jpg
https://cdn.ncbi.nlm.nih.gov/pmc/blobs/672f/6529028/d7f20e841096/IJN-14-3583-g0007.jpg
https://cdn.ncbi.nlm.nih.gov/pmc/blobs/672f/6529028/aed7d27f35ad/IJN-14-3583-g0001.jpg
https://cdn.ncbi.nlm.nih.gov/pmc/blobs/672f/6529028/162f96a8f652/IJN-14-3583-g0002.jpg
https://cdn.ncbi.nlm.nih.gov/pmc/blobs/672f/6529028/758a44983ebe/IJN-14-3583-g0004.jpg
https://cdn.ncbi.nlm.nih.gov/pmc/blobs/672f/6529028/88a1472c3d95/IJN-14-3583-g0005.jpg
https://cdn.ncbi.nlm.nih.gov/pmc/blobs/672f/6529028/71aa84b55270/IJN-14-3583-g0006.jpg
https://cdn.ncbi.nlm.nih.gov/pmc/blobs/672f/6529028/d7f20e841096/IJN-14-3583-g0007.jpg

相似文献

1
Multilayered composite coatings of titanium dioxide nanotubes decorated with zinc oxide and hydroxyapatite nanoparticles: controlled release of Zn and antimicrobial properties against .**钛纳米管**负载**氧化锌**和**羟磷灰石**纳米粒子的**多层复合涂层**:Zn 的可控释放及对 的抗菌性能
Int J Nanomedicine. 2019 May 16;14:3583-3600. doi: 10.2147/IJN.S199219. eCollection 2019.
2
Antibacterial properties of silver nanoparticles grown and anchored to titanium dioxide nanotubes on titanium implant against .银纳米粒子的抗菌性能,生长并锚定在钛植入物上的二氧化钛纳米管上,以抵抗 。
Nanotoxicology. 2020 Feb;14(1):97-110. doi: 10.1080/17435390.2019.1665727. Epub 2019 Sep 30.
3
Anodised TiO nanotubes as a scaffold for antibacterial silver nanoparticles on titanium implants.阳极氧化 TiO 纳米管作为钛植入物上抗菌银纳米粒子的支架。
Mater Sci Eng C Mater Biol Appl. 2018 Oct 1;91:638-644. doi: 10.1016/j.msec.2018.05.074. Epub 2018 May 28.
4
Anti-biofilm activity of zinc oxide and hydroxyapatite nanoparticles as dental implant coating materials.氧化锌和羟基磷灰石纳米颗粒作为牙科植入物涂层材料的抗生物膜活性
J Dent. 2015 Dec;43(12):1462-9. doi: 10.1016/j.jdent.2015.10.010. Epub 2015 Oct 21.
5
Nanoparticulate zinc oxide as a coating material for orthopedic and dental implants.纳米氧化锌作为骨科和牙科植入物的涂层材料。
J Biomed Mater Res A. 2015 Mar;103(3):981-9. doi: 10.1002/jbm.a.35241. Epub 2014 Jun 4.
6
Self-assembling antimicrobial peptides on nanotubular titanium surfaces coated with calcium phosphate for local therapy.在涂覆有钙磷的纳米管钛表面上自组装的抗菌肽,用于局部治疗。
Mater Sci Eng C Mater Biol Appl. 2019 Jan 1;94:333-343. doi: 10.1016/j.msec.2018.09.030. Epub 2018 Sep 12.
7
Stable ZnO-doped hydroxyapatite nanocoating for anti-infection and osteogenic on titanium.稳定的 ZnO 掺杂羟基磷灰石纳米涂层,用于钛的抗感染和促成骨。
Colloids Surf B Biointerfaces. 2020 Feb;186:110731. doi: 10.1016/j.colsurfb.2019.110731. Epub 2019 Dec 14.
8
Nanostructured Ag-substituted fluorhydroxyapatite-TiO coatings for enhanced bactericidal effects and osteoinductivity of Ti for biomedical applications.用于增强钛的杀菌效果和骨诱导性的纳米结构 Ag 取代氟羟基磷灰石-TiO 涂层,用于生物医学应用。
Int J Nanomedicine. 2018 May 3;13:2665-2684. doi: 10.2147/IJN.S162558. eCollection 2018.
9
Activity of vancomycin release from bioinspired coatings of hydroxyapatite or TiO nanotubes.万古霉素从羟基磷灰石或TiO纳米管的仿生涂层中释放的活性。
Int J Pharm. 2017 Jan 30;517(1-2):296-302. doi: 10.1016/j.ijpharm.2016.11.062. Epub 2016 Nov 30.
10
Characterization, mechanical properties and corrosion resistance of biocompatible Zn-HA/TiO2 nanocomposite coatings.生物相容性Zn-HA/TiO2纳米复合涂层的表征、力学性能及耐腐蚀性
J Mech Behav Biomed Mater. 2016 Sep;62:282-290. doi: 10.1016/j.jmbbm.2016.05.016. Epub 2016 May 17.

引用本文的文献

1
Application of nanoparticles as surface modifiers of dental implants for revascularization/regeneration of bone.纳米粒子作为牙种植体表面修饰剂在血管化/骨再生中的应用。
BMC Oral Health. 2024 Oct 4;24(1):1175. doi: 10.1186/s12903-024-04966-4.
2
Infectious Diseases Impact on Biomedical Devices and Materials.传染病对生物医学设备和材料的影响。
Biomed Mater Devices. 2022 Oct 28:1-8. doi: 10.1007/s44174-022-00035-y.
3
[Progress in antibacterial/osteogenesis dual-functional surface modification strategy of titanium-based implants].

本文引用的文献

1
Discovery of novel arylethenesulfonyl fluorides as potential candidates against methicillin-resistant of Staphylococcus aureus (MRSA) for overcoming multidrug resistance of bacterial infections.发现新型芳基乙砜氟化物作为潜在的抗耐甲氧西林金黄色葡萄球菌 (MRSA) 候选药物,以克服细菌感染的多药耐药性。
Eur J Med Chem. 2019 Jan 15;162:364-377. doi: 10.1016/j.ejmech.2018.11.012. Epub 2018 Nov 12.
2
Synthesis and molecular docking studies of xanthone attached amino acids as potential antimicrobial and anti-inflammatory agents.作为潜在抗菌和抗炎剂的氧杂蒽酮连接氨基酸的合成及分子对接研究
Medchemcomm. 2017 Jul 26;8(8):1706-1719. doi: 10.1039/c7md00209b. eCollection 2017 Aug 1.
3
[钛基植入物抗菌/成骨双功能表面改性策略的研究进展]
Zhongguo Xiu Fu Chong Jian Wai Ke Za Zhi. 2023 Oct 15;37(10):1300-1313. doi: 10.7507/1002-1892.202306025.
4
Nanocomposite Coatings for Anti-Corrosion Properties of Metallic Substrates.用于金属基材防腐性能的纳米复合涂层
Materials (Basel). 2023 Jul 19;16(14):5092. doi: 10.3390/ma16145092.
5
NanoZnO-modified titanium implants for enhanced anti-bacterial activity, osteogenesis and corrosion resistance.用于增强抗菌活性、成骨作用和耐腐蚀性的纳米氧化锌改性钛植入物。
J Nanobiotechnology. 2021 Oct 30;19(1):353. doi: 10.1186/s12951-021-01099-6.
Novel T-C@AgNPs mediated biocidal mechanism against biofilm associated methicillin-resistant (Bap-MRSA) 090, cytotoxicity and its molecular docking studies.
新型T-C@AgNPs介导的针对生物膜相关耐甲氧西林金黄色葡萄球菌(Bap-MRSA)090的杀菌机制、细胞毒性及其分子对接研究。
Medchemcomm. 2017 Oct 31;8(12):2181-2194. doi: 10.1039/c7md00486a. eCollection 2017 Dec 1.
4
Vision for medicine: Staphylococcus aureus biofilm war and unlocking key's for anti-biofilm drug development.医学愿景:金黄色葡萄球菌生物膜战争与解锁抗生物膜药物开发的关键。
Microb Pathog. 2018 Oct;123:339-347. doi: 10.1016/j.micpath.2018.07.002. Epub 2018 Jul 3.
5
Role of BP*C@AgNPs in Bap-dependent multicellular behavior of clinically important methicillin-resistant Staphylococcus aureus (MRSA) biofilm adherence: A key virulence study.BP*C@AgNPs 在临床重要的耐甲氧西林金黄色葡萄球菌(MRSA)生物膜黏附中 Bap 依赖性多细胞行为中的作用:一项关键毒力研究。
Microb Pathog. 2018 Oct;123:275-284. doi: 10.1016/j.micpath.2018.07.025. Epub 2018 Jul 21.
6
Anodised TiO nanotubes as a scaffold for antibacterial silver nanoparticles on titanium implants.阳极氧化 TiO 纳米管作为钛植入物上抗菌银纳米粒子的支架。
Mater Sci Eng C Mater Biol Appl. 2018 Oct 1;91:638-644. doi: 10.1016/j.msec.2018.05.074. Epub 2018 May 28.
7
Evaluation of antibacterial and antioxidant potential of the zinc oxide nanoparticles synthesized by aqueous and polyol method.水相法和多元醇法合成氧化锌纳米粒子的抗菌和抗氧化性能评价。
Microb Pathog. 2018 Jun;119:145-151. doi: 10.1016/j.micpath.2018.03.048. Epub 2018 Mar 27.
8
Mechanistic study on antibacterial action of zinc oxide nanoparticles synthesized using green route.采用绿色路线合成的氧化锌纳米粒子的抗菌作用机制研究。
Chem Biol Interact. 2018 Apr 25;286:60-70. doi: 10.1016/j.cbi.2018.03.008. Epub 2018 Mar 15.
9
ZnO nanoparticle preparation route influences surface reactivity, dissolution and cytotoxicity.氧化锌纳米颗粒的制备路线会影响其表面反应性、溶解性和细胞毒性。
Environ Sci Nano. 2018 Feb 1;5(2):572-588. doi: 10.1039/C7EN00888K. Epub 2018 Jan 5.
10
Zinc oxide nanoparticles: Synthesis, antiseptic activity and toxicity mechanism.氧化锌纳米颗粒:合成、抗菌活性及毒性机制。
Adv Colloid Interface Sci. 2017 Nov;249:37-52. doi: 10.1016/j.cis.2017.07.033. Epub 2017 Aug 26.