Morimoto Naoki, Miura Kouichi, Watanabe Shunji, Tsukui Mamiko, Takaoka Yoshinari, Nomoto Hiroaki, Murayama Kozue, Hirosawa Takuya, Goka Rie, Kunitomo Naoki, Nakamura Hiroyasu, Sugimoto Hideharu, Isoda Norio, Yamamoto Hironori
Department of Medicine, Division of Gastroenterology, Jichi Medical University, Japan.
Department of Radiology, Jichi Medical University, Japan.
J Rural Med. 2019 May;14(1):78-86. doi: 10.2185/jrm.2993. Epub 2019 May 30.
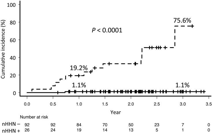
The development of hepatocellular carcinoma (HCC) is not uncommon in patients who achieve eradication of the hepatitis C virus through direct-acting antiviral (DAA) treatment. The aim of this study was to identify the patients at high risk for novel HCC development after a sustained virologic response (SVR) by DAA treatment. A total of 518 patients with no history of HCC treatment and who achieved SVR by DAA treatment were evaluated retrospectively. The correlations between HCC development and the patients' characteristics were evaluated. For patients who underwent gadolinium-ethoxybenzyl-diethylenetriamine pentaacetic acid (Gd-EOB-DTPA)-enhanced magnetic resonance imaging (MRI) or dynamic contrast-enhanced computed tomography, the relationship between the imaging findings and subsequent HCC development was also assessed. HCC developed newly in 22 patients, and the 1-year and 3-year cumulative HCC rates were 2.0% and 8.5%, respectively. In multivariate analysis, a FIB-4 index >4.0 and a post-treatment α-fetoprotein >4.0 ng/ml were significant risk factors for HCC. In 26 of 118 patients who underwent an MRI before DAA treatment, a non-hypervascular hypo-intense nodule was seen in the hepatobiliary phase, and in 6 of 182 patients who underwent a CT, a non-hypervascular hypo-enhanced nodule was seen in the delayed phase. The sensitivity and specificity of the MRI-positive findings for the subsequent development of HCC were 0.92 and 0.87, respectively, and those of the CT were 0.40 and 0.99, respectively. In multivariate analysis of patients who underwent an MRI, a non-hypervascular hypo-intense nodule was the only factor that was significantly related to HCC development (HR 32.4, p = 0.001). Gd-EOB-DTPA-enhanced MRI was found to be reliable for risk evaluation of subsequent HCC development in patients after SVR by DAA treatment. Patients with a non-hypervascular hypo-intense nodule need more careful observation for incident HCC.
在通过直接抗病毒药物(DAA)治疗实现丙型肝炎病毒根除的患者中,肝细胞癌(HCC)的发生并不罕见。本研究的目的是确定在DAA治疗获得持续病毒学应答(SVR)后发生新发HCC风险较高的患者。对518例无HCC治疗史且通过DAA治疗获得SVR的患者进行了回顾性评估。评估了HCC发生与患者特征之间的相关性。对于接受钆塞酸二钠(Gd-EOB-DTPA)增强磁共振成像(MRI)或动态对比增强计算机断层扫描的患者,还评估了影像学表现与随后HCC发生之间的关系。22例患者新发HCC,1年和3年累积HCC发生率分别为2.0%和8.5%。多因素分析显示,FIB-4指数>4.0以及治疗后甲胎蛋白>4.0 ng/ml是HCC的显著危险因素。在118例接受DAA治疗前进行MRI检查的患者中,26例在肝胆期可见非高血管性低强化结节,在182例接受CT检查的患者中,18例在延迟期可见非高血管性低强化结节。MRI阳性结果对随后发生HCC的敏感性和特异性分别为0.92和0.87,CT的敏感性和特异性分别为0.40和0.99。在接受MRI检查患者的多因素分析中,非高血管性低强化结节是与HCC发生显著相关的唯一因素(HR 32.4,p = 0.001)。发现Gd-EOB-DTPA增强MRI对于DAA治疗获得SVR后的患者随后发生HCC的风险评估是可靠的。有非高血管性低强化结节的患者需要更密切地观察新发HCC。