Suppr超能文献

根皮苷肉豆蔻酸酰化衍生物的抗氧化能力和肝保护活性。

Antioxidant capacity and hepatoprotective activity of myristic acid acylated derivative of phloridzin.

作者信息

Liu Chunli, Yuan Chunlong, Ramaswamy Hosahalli S, Ren Yamei, Ren Xiaolin

机构信息

College of Food Science and Engineering, Northwest A&F University, Yangling, Shaanxi 712100, PR China.

Shaanxi Pulsating Biotechnology Co., LTD, No. 31 Yongxing Road, Lianhu District, Xi'an City, Shaanxi Province, 712100, PR China.

出版信息

Heliyon. 2019 May 30;5(5):e01761. doi: 10.1016/j.heliyon.2019.e01761. eCollection 2019 May.

Abstract

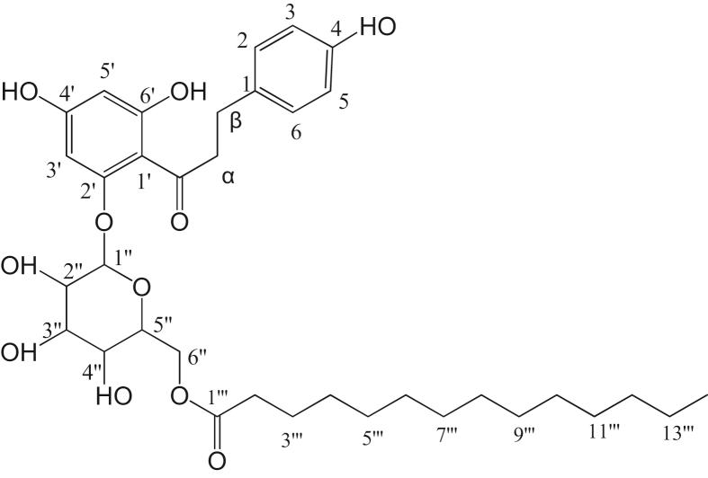
The antioxidant activities and hepatoprotective effects against carbon tetrachloride (CCl) induced acute liver injury of myristic acid acylated derivative of phloridzin (PZM) were investigated. The PZM was obtained by enzymatic acylation of myristic acid and phloridzin (PZ). The antioxidant capability of PZM in vitro was evaluated by the ferric reducing antioxidant power assay (FRAP), 2,2'-Azinobis- 3-ethylbenzthiazoline-6-sulphonate (ABTS·) and 2,2-diphenyl-1-picrylhydrazyl (DPPH·) radical scavenging assay. Mice were intragastrically treated with control or PZM (20, 40, and 80 mg/kg) for 5 days and intra-peritoneal injection with CCl. The enzymatic acylated synthesis of myristic acid and phloridzin was region-selective taken place on 6″-OH of phloridzin glycoside moiety and achieved 93% yield. PZM had a significantly higher total antioxidant ability, same scavenging ABTS· ability and weaker scavenging DPPH· ability when compared to the parent PZ. The of aminotransferase serum activity and malondialdehyde hepatic activity were elevated (P < 0.015) after treatment with CCl, while the related liver enzymatic activities and glutathione concentration were lower. These changes were enhanced by PZM. Further studies showed that PZM reduced the interleukin-6 expression and stimulated liver regeneration caused by CCl. PZM attained good antioxidant capacity and had excellent hepatoprotective effects and better bioactivity compared to the parent phloridzin. The significance of hepatoprotective effect of phloridzin derivative against CCl-induced hepatotoxicity in mice is an important and new finding.

摘要

研究了根皮苷肉豆蔻酸酰化衍生物(PZM)的抗氧化活性及其对四氯化碳(CCl)诱导的急性肝损伤的肝保护作用。PZM是通过肉豆蔻酸与根皮苷(PZ)的酶促酰化反应获得的。通过铁还原抗氧化能力测定法(FRAP)、2,2'-联氮-双-3-乙基苯并噻唑啉-6-磺酸(ABTS·)和2,2-二苯基-1-苦基肼(DPPH·)自由基清除试验评估PZM的体外抗氧化能力。将小鼠分为对照组或给予PZM(20、40和80mg/kg)灌胃处理5天,然后腹腔注射CCl。肉豆蔻酸与根皮苷的酶促酰化合成反应在根皮苷糖苷部分的6″-OH上进行区域选择性反应,产率达到93%。与母体PZ相比,PZM具有显著更高的总抗氧化能力、相同的ABTS·清除能力和较弱的DPPH·清除能力。CCl处理后,血清转氨酶活性和肝丙二醛活性升高(P<0.015),而相关肝脏酶活性和谷胱甘肽浓度降低。PZM可增强这些变化。进一步研究表明,PZM可降低白细胞介素-6的表达,并刺激CCl引起的肝脏再生。与母体根皮苷相比,PZM具有良好的抗氧化能力、优异的肝保护作用和更好的生物活性。根皮苷衍生物对CCl诱导的小鼠肝毒性的肝保护作用的意义是一项重要的新发现。

https://cdn.ncbi.nlm.nih.gov/pmc/blobs/d952/6543077/05d6013829ca/gr1.jpg

文献AI研究员

20分钟写一篇综述,助力文献阅读效率提升50倍。

立即体验

用中文搜PubMed

大模型驱动的PubMed中文搜索引擎

马上搜索

文档翻译

学术文献翻译模型,支持多种主流文档格式。

立即体验