Gude J C J, Joris K, Huysman K, Rietveld L C, van Halem D
Delft University of Technology, Stevinweg 1, 2628 CN, Delft, the Netherlands.
Pidpa Water Company, Desguinlei 246, 2018, Antwerp, Belgium.
Water Res X. 2018 Nov 25;1:100013. doi: 10.1016/j.wroa.2018.100013. eCollection 2018 Dec 1.
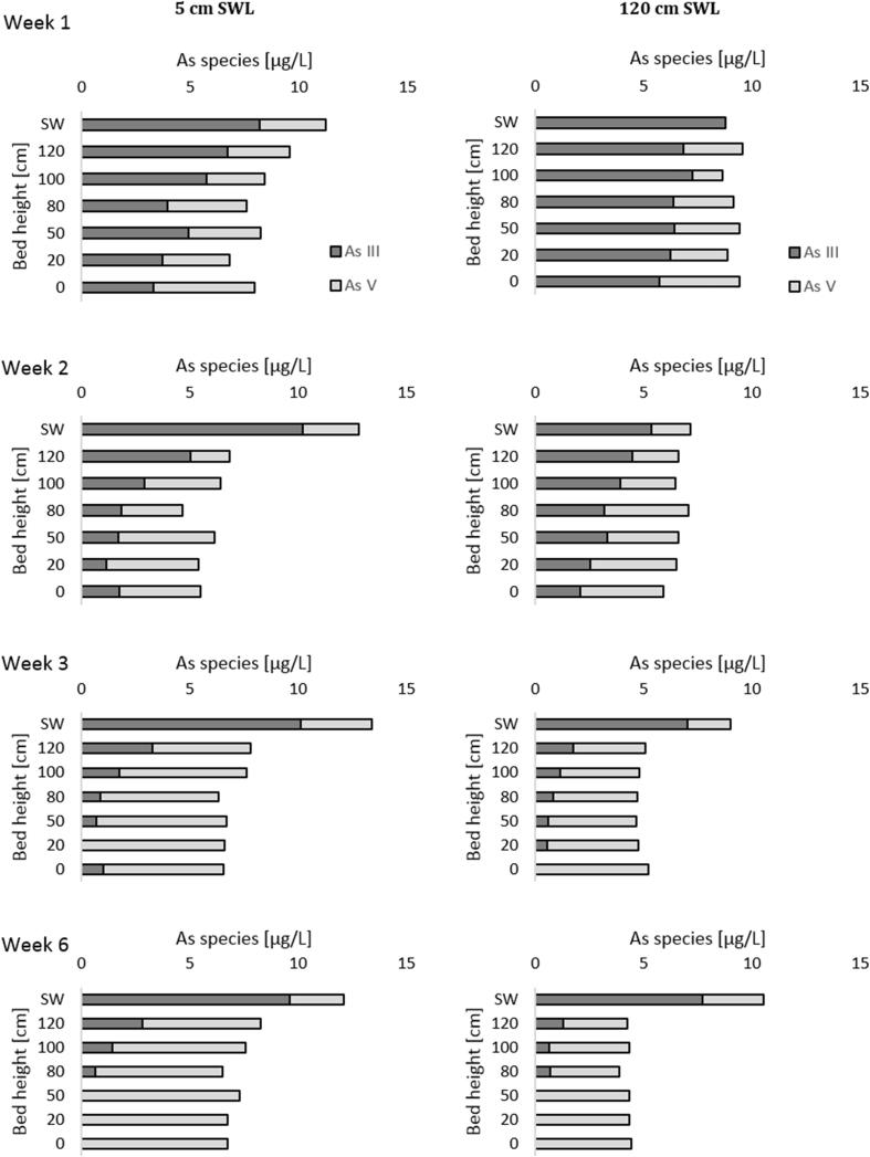
Current groundwater treatment facilities, mostly relying on aeration-filtration configurations, aim at the removal of iron (Fe), ammonia (NH ) and manganese (Mn). However, recently water companies expressed the ambition to also reduce arsenic (As) concentrations in these rapid sand filters. The aim of this study was to investigate the effect of the Fe oxidation state entering a biological filter bed on As removal. By varying supernatant water level, either Fe(II) or Fe(III) in the form of hydrous ferric oxides (HFO) could be stimulated to enter the filter bed at alkaline groundwater pH (7.6). The experimental pilot column filters showed that once the As(III) oxidation stabilised in the top layer of the filter sand, As removal reached its maximum (±75% at 120 cm supernatant level and 1.5 m/h filtration velocity). The increase in supernatant level from 5 to 120 cm resulted in additional HFO production prior to rapid filtration (1.5, 5 and 10 m/h), i.e. homogeneous Fe(II) oxidation and flocculation, and subsequently, HFO ending up deeper into the filter bed (120 cm filter depth). At a low supernatant water level of 5 cm, Fe(II) oxidised heterogeneously and was removed within the top 20 cm of the filter bed. Consequently, filters with high supernatant levels removed As to lower levels (by 20%) than in filters with low supernatant water levels. The benefits of Fe(II) oxidation prior to filtration for As removal was confirmed by comparing Fe(III) to Fe(II) additions in the supernatant water or in the filter bed. Overall it is concluded that in biological groundwater filters, the combination of a higher supernatant level and/or Fe(III) addition with biological As(III) oxidation in the top of the filter bed promotes As removal.
目前的地下水处理设施大多采用曝气-过滤配置,旨在去除铁(Fe)、氨(NH₃)和锰(Mn)。然而,最近自来水公司表示希望在这些快速砂滤池中也降低砷(As)的浓度。本研究的目的是调查进入生物滤床的铁氧化态对砷去除的影响。通过改变上清液水位,可以促使二价铁(Fe(II))或水合氧化铁(HFO)形式的三价铁(Fe(III))在碱性地下水pH值(7.6)下进入滤床。实验中试柱式过滤器表明,一旦滤砂顶层的三价砷(As(III))氧化稳定,砷的去除率就会达到最大值(上清液水位120厘米、过滤速度1.5米/小时时约为75%)。上清液水位从5厘米增加到120厘米会导致在快速过滤(1.5、5和10米/小时)之前产生额外的HFO,即均相二价铁氧化和絮凝,随后HFO最终进入滤床更深的位置(滤床深度120厘米)。在上清液水位低至5厘米时,二价铁发生非均相氧化并在滤床顶部20厘米内被去除。因此,上清液水位高的过滤器去除砷的水平比上清液水位低的过滤器低20%。通过比较向上清液或滤床中添加三价铁和二价铁,证实了过滤前二价铁氧化对砷去除的益处。总体而言,得出的结论是,在生物地下水过滤器中,较高的上清液水位和/或添加三价铁与滤床顶部的生物三价砷氧化相结合可促进砷的去除。