Suppr超能文献

基于一种用于全球导航卫星系统(GNSS)接收机的新型空时转换MUSIC算法的干扰到达方向估计

Estimation of Interference Arrival Direction Based on a Novel Space-Time Conversion MUSIC Algorithm for GNSS Receivers.

作者信息

Wang Hao, Chang Qing, Xu Yong, Li Xianxu

机构信息

School of Electronic and Information Engineering, Beihang University, No. 37 Xueyuan Road, Haidian District, Beijing 100191, China.

Institute of Unmanned Systems Research, Beihang University, No. 37 Xueyuan Road, Haidian District, Beijing 100191, China.

出版信息

Sensors (Basel). 2019 Jun 5;19(11):2570. doi: 10.3390/s19112570.

Abstract

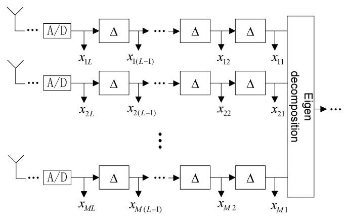
In the estimation of the direction of arrival (DOA) for interference signals, the direction-finding error of the multiple signal classification (MUSIC) algorithm will increase in the case of multiple interferences or when the interfering signal power is weak. In this paper, a space-time conversion MUSIC (STC-MUSIC) algorithm is proposed, and the concept of a focusing parameter is introduced to improve the performance of the DOA estimation. Meanwhile, a method of variable step size peak search is proposed to reduce the amount of calculation of the STC-MUSIC algorithm. The final simulation and experimental results show that the STC-MUSIC algorithm improves the purity of the noise subspace effectively, thus improving the precision and robustness of the DOA estimation for interference signals significantly. In comparison to traditional algorithms, the convergence, stability, root mean square error (RMSE) and other performance characteristics are improved greatly.

摘要

在估计干扰信号的到达方向(DOA)时,在存在多个干扰的情况下或干扰信号功率较弱时,多重信号分类(MUSIC)算法的测向误差会增大。本文提出了一种空时转换MUSIC(STC-MUSIC)算法,并引入聚焦参数的概念来提高DOA估计的性能。同时,提出了一种变步长峰值搜索方法以减少STC-MUSIC算法的计算量。最终的仿真和实验结果表明,STC-MUSIC算法有效地提高了噪声子空间的纯度,从而显著提高了干扰信号DOA估计的精度和鲁棒性。与传统算法相比,其收敛性、稳定性、均方根误差(RMSE)等性能特征有了很大提高。

https://cdn.ncbi.nlm.nih.gov/pmc/blobs/adf3/6603795/9226642b0126/sensors-19-02570-g001.jpg

文献AI研究员

20分钟写一篇综述,助力文献阅读效率提升50倍。

立即体验

用中文搜PubMed

大模型驱动的PubMed中文搜索引擎

马上搜索

文档翻译

学术文献翻译模型,支持多种主流文档格式。

立即体验