Suppr超能文献

新型氨基醌杂化分子的设计、合成及抗癌细胞生长抑制活性评价。

Design, Synthesis and Cancer Cell Growth Inhibition Evaluation of New Aminoquinone Hybrid Molecules.

机构信息

Laboratory of Bioorganic Chemistry, Department of Physics, University of Trento, Via Sommarive 14, 38123 Trento, Italy.

出版信息

Molecules. 2019 Jun 14;24(12):2224. doi: 10.3390/molecules24122224.

Abstract

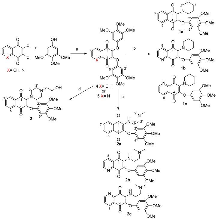
Molecular hybridization has proven to be a successful multi-target strategy in the design and development of new antitumor agents. Based on this rational approach, we have planned hybrid molecules containing covalently linked pharmacophoric units, present individually in compounds acting as inhibitors of the cancer protein targets tubulin, human topoisomerase II and ROCK1. Seven new molecules, selected by docking calculation of the complexes with each of the proteins taken into consideration, have been efficiently synthesized starting from 2,3-dichloro-1,4-naphtoquinone or 6,7-dichloro-5,8-quinolinquinone. By screening the full National Cancer Institute (NCI) panel, including 60 human cancer cell lines, four molecules displayed good and sometimes better growth inhibition GI than the ROCK inhibitor Y-27632, the Topo II inhibitor podophyllotoxin and the tubulin inhibitor combretastatin A-4. The relative position of heteroatoms in the structures of the tested compounds was crucial in affecting bioactivity and selectivity. Furthermore, compound (2-(4-(2-hydroxyethyl)piperazin-1-yl)-3-(3,4,5-trimethoxyphenoxy)naphthalene-1,4-dione) emerged as the most active in the series, showing a potent and selective inhibition of breast cancer BT-549 cells (GI < 10 nM).

摘要

分子杂交已被证明是设计和开发新型抗肿瘤药物的一种成功的多靶点策略。基于这一合理的方法,我们计划合成含有共价连接的药效团单元的杂化分子,这些单元分别存在于作为微管蛋白、人拓扑异构酶 II 和 ROCK1 癌症蛋白靶标抑制剂的化合物中。从 2,3-二氯-1,4-萘醌或 6,7-二氯-5,8-喹啉醌出发,通过考虑到每种蛋白质的复合物的对接计算,选择了 7 种新分子进行了有效的合成。通过对包括 60 个人类癌细胞系在内的全国家癌症研究所 (NCI) 小组进行筛选,有 4 种分子的生长抑制 GI 比 ROCK 抑制剂 Y-27632、拓扑异构酶 II 抑制剂鬼臼毒素和微管蛋白抑制剂 combretastatin A-4 更好,有时甚至更好。在测试化合物的结构中杂原子的相对位置对生物活性和选择性有重要影响。此外,化合物 (2-(4-(2-羟乙基)哌嗪-1-基)-3-(3,4,5-三甲氧基苯氧基)萘-1,4-二酮)在该系列中表现出最强的活性,对乳腺癌 BT-549 细胞具有强大且选择性的抑制作用(GI < 10 nM)。

https://cdn.ncbi.nlm.nih.gov/pmc/blobs/738e/6630839/53e711690a00/molecules-24-02224-g001.jpg

文献AI研究员

20分钟写一篇综述,助力文献阅读效率提升50倍。

立即体验

用中文搜PubMed

大模型驱动的PubMed中文搜索引擎

马上搜索

文档翻译

学术文献翻译模型,支持多种主流文档格式。

立即体验