Suppr超能文献

降尿酸药物治疗 3-4 期慢性肾脏病无症状高尿酸血症:肾功能的争议作用。

Urate-lowering agents for asymptomatic hyperuricemia in stage 3 - 4 chronic kidney disease: Controversial role of kidney function.

机构信息

Department of Internal Medicine, Kangdong Sacred Heart Hospital, Hallym University College of Medicine, Seoul, Republic of Korea.

出版信息

PLoS One. 2019 Jun 17;14(6):e0218510. doi: 10.1371/journal.pone.0218510. eCollection 2019.

Abstract

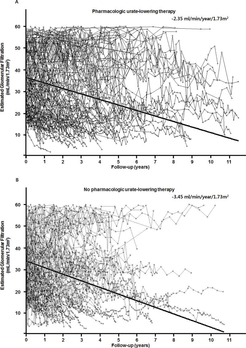
Because the serum uric acid level increases as the glomerular filtration rate (GFR) decreases, hyperuricemia is associated with chronic kidney disease (CKD). Although hyperuricemia is a risk factor for CKD progression, the causal role of uric acid remains controversial in patients with CKD and asymptomatic hyperuricemia. This study included 588 patients with stage 3-4 CKD and asymptomatic hyperuricemia. Using propensity score matching, 165 pairs treated and untreated with pharmacologic urate-lowering therapy were matched. Kaplan-Meier curves were constructed to determine the effect of urate-lowering agents on kidney survival. The prognostic value for kidney survival was ascertained using Cox regression analysis. The GFR changes over time between the patients treated and untreated with urate-lowering agents were assessed using a linear mixed model analysis. The mean age of the matched patients was 63.2 ± 12.7 years, and 52 (15.8%) patients had diabetic nephropathy. The mean estimated GFR (eGFR) and serum uric acid level were 36.7 mL/min/1.73 m2 and 7.8 mg/dL, respectively. During a mean follow-up period of 41.9 months, 87 developed end-stage kidney disease (ESKD). The incidence rates of ESKD were comparable between the patients treated and untreated with urate-lowering agents. The Kaplan-Meier analysis indicated that kidney survival was also comparable between them. In the multivariate analysis, heart failure and low eGFR were the significant prognostic factors for kidney survival. However, pharmacologic urate-lowering therapy was not predictive of kidney survival. The overall GFR decline rate was also comparable between the groups (P = 0.13). The efficacy of pharmacologic urate-lowering therapy in delaying CKD progression remains controversial. Therefore, further randomized controlled trials are needed to confirm its efficacy in attenuating kidney function deterioration in patients with stage 3-4 CKD.

摘要

由于血清尿酸水平随着肾小球滤过率(GFR)的降低而升高,因此高尿酸血症与慢性肾脏病(CKD)有关。尽管高尿酸血症是 CKD 进展的危险因素,但在 CKD 和无症状高尿酸血症患者中,尿酸的因果作用仍存在争议。本研究纳入了 588 名处于 3-4 期 CKD 且无症状高尿酸血症的患者。采用倾向评分匹配,对 165 对接受和未接受降尿酸药物治疗的患者进行了匹配。绘制 Kaplan-Meier 曲线以确定降尿酸药物对肾脏生存的影响。使用 Cox 回归分析确定肾脏生存的预后价值。使用线性混合模型分析评估接受和未接受降尿酸药物治疗的患者之间的 GFR 随时间的变化。匹配患者的平均年龄为 63.2±12.7 岁,52 名(15.8%)患者患有糖尿病肾病。平均估算肾小球滤过率(eGFR)和血清尿酸水平分别为 36.7mL/min/1.73m2和 7.8mg/dL。在平均 41.9 个月的随访期间,87 名患者发展为终末期肾病(ESKD)。接受和未接受降尿酸药物治疗的患者的 ESKD 发生率相当。Kaplan-Meier 分析表明,两组之间的肾脏生存情况也相当。在多变量分析中,心力衰竭和低 eGFR 是肾脏生存的显著预后因素。然而,降尿酸药物治疗并不是肾脏生存的预测因素。两组的总体 GFR 下降率也相当(P=0.13)。降尿酸药物治疗在延缓 CKD 进展方面的疗效仍存在争议。因此,需要进一步的随机对照试验来证实其在减缓 3-4 期 CKD 患者肾功能恶化方面的疗效。

https://cdn.ncbi.nlm.nih.gov/pmc/blobs/6021/6576756/d0673d35e44c/pone.0218510.g001.jpg

文献AI研究员

20分钟写一篇综述,助力文献阅读效率提升50倍。

立即体验

用中文搜PubMed

大模型驱动的PubMed中文搜索引擎

马上搜索

文档翻译

学术文献翻译模型,支持多种主流文档格式。

立即体验