Institute of Molecular and Cellular Biology, National Tsing Hua University, Hsinchu 30013, Taiwan.
Simpson Biotech Co., Ltd., Taoyuan 333, Taiwan.
Mar Drugs. 2019 Jun 14;17(6):355. doi: 10.3390/md17060355.
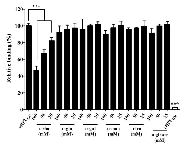
More than 80% of infectious bacteria form biofilm, which is a bacterial cell community surrounded by secreted polysaccharides, proteins and glycolipids. Such bacterial superstructure increases resistance to antimicrobials and host defenses. Thus, to control these biofilm-forming pathogenic bacteria requires antimicrobial agents with novel mechanisms or properties. , a Gram-negative opportunistic nosocomial pathogen, is a model strain to study biofilm development and correlation between biofilm formation and infection. In this study, a recombinant hemolymph plasma lectin (rHPL) cloned from Taiwanese was expressed in an system. This rHPL was shown to have the following properties: (1) Binding to PA14 biofilm through a unique molecular interaction with rhamnose-containing moieties on bacteria, leading to reduction of extracellular di-rhamnolipid (a biofilm regulator); (2) decreasing downstream quorum sensing factors, and inhibiting biofilm formation; (3) dispersing the mature biofilm of PA14 to improve the efficacies of antibiotics; (4) reducing PA14 cytotoxicity to human lung epithelial cells in vitro and (5) inhibiting PA14 infection of zebrafish embryos in vivo. Taken together, rHPL serves as an anti-biofilm agent with a novel mechanism of recognizing rhamnose moieties in lipopolysaccharides, di-rhamnolipid and structural polysaccharides (Psl) in biofilms. Thus rHPL links glycan-recognition to novel anti-biofilm strategies against pathogenic bacteria.
超过 80%的传染性细菌形成生物膜,这是一种由分泌的多糖、蛋白质和糖脂包围的细菌细胞群落。这种细菌的超结构增加了对抗菌药物和宿主防御的抵抗力。因此,控制这些形成生物膜的致病性细菌需要具有新型机制或特性的抗菌药物。 ,一种革兰氏阴性机会性病原体,是研究生物膜发育和生物膜形成与感染之间相关性的模型菌株。在这项研究中,从台湾 中克隆的重组血淋巴血浆凝集素 (rHPL) 在 系统中表达。该 rHPL 具有以下特性:(1) 通过与细菌上含有鼠李糖的部分的独特分子相互作用结合 PA14 生物膜,导致细胞外二鼠李糖脂(生物膜调节剂)减少;(2) 减少下游群体感应因子,抑制生物膜形成;(3) 分散成熟的 PA14 生物膜,提高抗生素的疗效;(4) 减少 PA14 对体外人肺上皮细胞的细胞毒性和 (5) 抑制 PA14 在体内感染斑马鱼胚胎。总之,rHPL 作为一种具有识别生物膜中脂多糖、二鼠李糖脂和结构多糖 (Psl) 中鼠李糖部分的新型机制的抗生物膜剂。因此,rHPL 将聚糖识别与针对致病性细菌的新型抗生物膜策略联系起来。