Suppr超能文献

秸秆、绳索和咬癖防治措施对发生咬尾疫情的断奶仔猪围栏的影响

The Effect of Straw, Rope, and Bite-Rite Treatment in Weaner Pens with a Tail Biting Outbreak.

作者信息

Pelant Lahrmann Helle, Faustrup Julie Fabricius, Hansen Christian Fink, D'Eath Rick B, Nielsen Jens Peter, Forkman Björn

机构信息

SEGES, Danish Pig Research Centre, Agro Food Park 15, 8200 Aarhus, Denmark.

Department of Veterinary and Animal Sciences, University of Copenhagen, Grønnegårdsvej 8, 1870 Frederiksberg, Denmark.

出版信息

Animals (Basel). 2019 Jun 17;9(6):365. doi: 10.3390/ani9060365.

Abstract

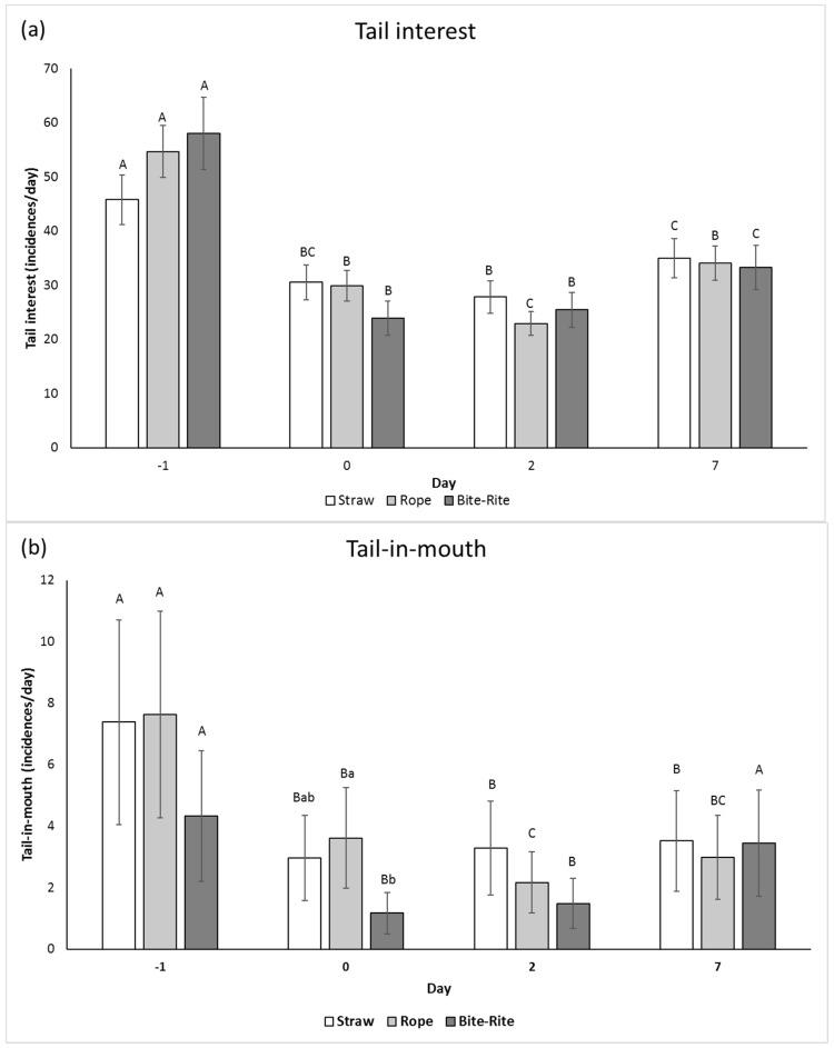
Tail biting in pigs is an injurious behaviour that spreads rapidly in a group. We investigated three different treatments to stop ongoing tail biting outbreaks in 65 pens of 6-30 kg undocked pigs (30 pigs per pen; SD = 2): (1) straw (7 g/pig/day on the floor), (2) rope, and (3) Bite-Rite (a hanging plastic device with chewable rods). Pigs were tail scored three times weekly, until an outbreak occurred (four pigs with a tail wound; day 0) and subsequently once weekly. After an outbreak had occurred, a subsequent escalation in tail damage was defined if four pigs with a fresh tail wound were identified or if a biter had to be removed. Straw prevented an escalation better (75%) than Bite-Rite (35%; < 0.05), and rope was intermediate (65%). Upon introduction of treatments (day 0), pigs interacted less with tails than before (day -1; < 0.05). Behavioural observations showed that pigs engaged more with rope than Bite-Rite ( < 0.05). Bite-Rite pigs (but not straw or rope) increased their interaction with tails between day 0 and day 7 ( < 0.05). Straw was the most effective treatment. However, further investigations may identify materials or allocation strategies which are more effective still.

摘要

猪的咬尾行为是一种有害行为,会在群体中迅速蔓延。我们对65个猪栏中体重6 - 30千克、未断尾的猪(每个猪栏30头猪;标准差 = 2)正在发生的咬尾疫情进行了三种不同治疗方法的研究:(1)稻草(每头猪每天7克,放置在地面),(2)绳子,(3)咬尾制止器(一种带有可咀嚼棒的悬挂式塑料装置)。每周对猪的尾巴进行三次评分,直到疫情发生(有四头猪尾巴受伤;第0天),随后每周一次。疫情发生后,如果发现有四头猪出现新的尾巴伤口或者必须移除一头咬尾猪,则定义为尾巴损伤随后升级。稻草比咬尾制止器(35%;P < 0.05)更能有效防止损伤升级(75%),绳子的效果居中(65%)。在引入治疗方法后(第0天),猪对尾巴的互动比之前(第 - 1天)减少(P < 0.05)。行为观察表明,猪与绳子的互动比与咬尾制止器的互动更多(P < 0.05)。咬尾制止器组的猪(但稻草组和绳子组的猪没有)在第0天到第7天之间增加了与尾巴的互动(P < 0.05)。稻草是最有效的治疗方法。然而,进一步的研究可能会确定更有效的材料或分配策略。

https://cdn.ncbi.nlm.nih.gov/pmc/blobs/100f/6617339/963f69ed9197/animals-09-00365-g001.jpg

文献AI研究员

20分钟写一篇综述,助力文献阅读效率提升50倍。

立即体验

用中文搜PubMed

大模型驱动的PubMed中文搜索引擎

马上搜索

文档翻译

学术文献翻译模型,支持多种主流文档格式。

立即体验