Suppr超能文献

通过简便的微观结构调控制备用于全固态锂电池的高性能固态复合聚合物电解质

High-Performance Solid Composite Polymer Electrolyte for all Solid-State Lithium Battery Through Facile Microstructure Regulation.

作者信息

Yang Jingjing, Wang Xun, Zhang Gai, Ma Aijie, Chen Weixing, Shao Le, Shen Chao, Xie Keyu

机构信息

School of Materials and Chemical Engineering, Xi'an Technological University, Xi'an, China.

Shaanxi Coal Chemical Industry Technology Research Institute Co. Ltd., Xi'an, China.

出版信息

Front Chem. 2019 May 31;7:388. doi: 10.3389/fchem.2019.00388. eCollection 2019.

Abstract

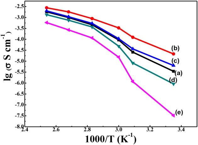
Solid composite polymer electrolytes are the optimal candidate for all solid-state lithium batteries, because of their enhanced ionic conductivities, long-life cycle ability and compatibility to lithium anode. Herein, we reported a kind of solid composite polymer electrolyte comprised of poly(ethylene oxide), graphitic-like carbon nitride and lithium perchlorate, which was prepared by a facile solution blending method. Microstructure of the solid composite polymer electrolyte was regulated by thermal annealing and interaction among components and was characterized by XRD, DSC, FTIR-ATR, and ROM. The obtained solid composite polymer electrolyte achieved an ionic conductivity as high as 1.76 × 10 S cm at 25°C. And the electrochemical stable window and the lithium ion transference number, t, were also obviously enhanced. LiFePO/Li solid-state batteries with the annealed PEO-LiClO-g-CN solid polymer electrolyte presented a high initial discharge capacity of 161.2 mAh g and superior cycle stability with a capacity retention ratio of 81% after 200 cycles at 1C at 80°C. The above results indicates that the thermal annealing treatment and g-CN as a novel structure modifier is crucial for obtaining the high-performance solid composite polymer electrolytes used in the all solid-state lithium battery.

摘要

固态复合聚合物电解质是全固态锂电池的最佳候选材料,因为它们具有更高的离子电导率、长循环寿命能力以及与锂负极的兼容性。在此,我们报道了一种由聚环氧乙烷、类石墨相氮化碳和高氯酸锂组成的固态复合聚合物电解质,它是通过一种简便的溶液共混法制备的。通过热退火以及各组分之间的相互作用来调控固态复合聚合物电解质的微观结构,并通过X射线衍射(XRD)、差示扫描量热法(DSC)、衰减全反射傅里叶变换红外光谱(FTIR-ATR)和拉曼光谱(ROM)对其进行表征。所制备的固态复合聚合物电解质在25°C时实现了高达1.76×10⁻³ S cm⁻¹的离子电导率。而且其电化学稳定窗口和锂离子迁移数t也显著提高。采用经退火处理的PEO-LiClO₄-g-C₃N₄固态聚合物电解质的LiFePO₄/Li全固态电池展现出161.2 mAh g⁻¹的高初始放电容量以及优异的循环稳定性,在80°C下以1C倍率循环200次后容量保持率为81%。上述结果表明,热退火处理以及g-C₃N₄作为一种新型结构改性剂对于获得用于全固态锂电池的高性能固态复合聚合物电解质至关重要。

https://cdn.ncbi.nlm.nih.gov/pmc/blobs/a9a5/6554539/07ff8d2cadbc/fchem-07-00388-g0001.jpg

文献AI研究员

20分钟写一篇综述,助力文献阅读效率提升50倍。

立即体验

用中文搜PubMed

大模型驱动的PubMed中文搜索引擎

马上搜索

文档翻译

学术文献翻译模型,支持多种主流文档格式。

立即体验