Suppr超能文献

不同氮肥对两个小麦品种的影响:一种综合方法

Effects of different nitrogen fertilizers on two wheat cultivars: An integrated approach.

作者信息

Vita Federico, Giuntoli Beatrice, Arena Simona, Quaranta Fabrizio, Bertolini Edoardo, Lucarotti Valentina, Guglielminetti Lorenzo, Alessio Massimo, Scaloni Andrea, Alpi Amedeo

机构信息

LINV-Department of Plant Soil and Environmental Science University of Florence Florence Italy.

A.R.E.A. Foundation Pisa Italy.

出版信息

Plant Direct. 2018 Oct 22;2(10):e00089. doi: 10.1002/pld3.89. eCollection 2018 Oct.

Abstract

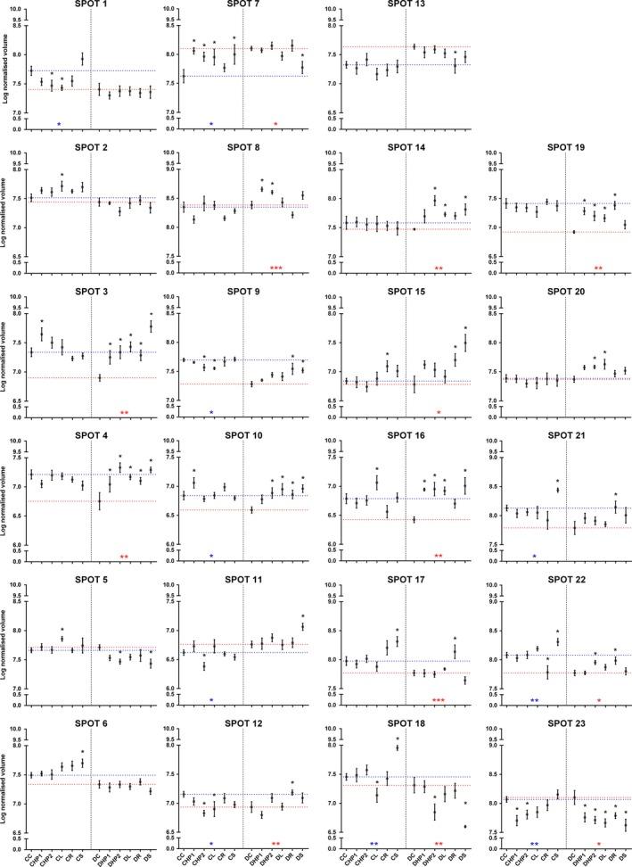
Investigation of cultivated plant physiology grown under low energy input plays an important role to indicate their fitness to the new environmental conditions. The durum-wheat cultivars Creso and Dylan were tested to evaluate the growth, production, and proteomic and transcriptomic profiles of the crop under different synthetic and organic nitrogen fertilization regimes. In this work, a two-dimensional gel electrophoresis (2-DE) approach combined with liquid chromatography-mass spectrometry (LC-MS) was used to investigate the protein changes induced by the use of different nitrogen sources (hydrolysate of proteins 1 and 2, rhizovit, synthesis, leather) on wheat plants. Proteomic studies were integrated with qPCR analysis of genes related to glutamine synthetase/glutamine-2-oxoglutarate aminotransferase (GS-GOGAT) and tricarboxylic acid (TCA) metabolic pathways because most relevant for nitrogen-dependent plants growth. The proteomic analysis lead to the isolation of 23 spots that were able to distinguish the analyzed samples. These spots yielded the identification of 60 proteins involved in photosynthesis, glycolysis, and nitrogen metabolism. As an example, the quinone oxidoreductase-like protein and probable glutathione -transferase GSTU proteins were identified in two spots that represents the most statistically significant ones in Dylan samples. Transcript analysis indicated that related genes exhibited different expression trends; the heat map also revealed the different behaviors of the hydrolysates of the proteins 1 and 2 nitrogen sources. The effects of nitrogenous fertilizers at the proteomic and agronomic levels revealed that plants fertilized with synthesis or rhizovit gave the best results concerning yield, whereas rhizovit and protein hydrolysates were most effective for proteins content in the grain (% of dry weight). Therefore, all parameters measured in this study indicated that different kinds of nitrogen fertilization used have a relevant impact on plant growth and production.

摘要

对低能量输入条件下种植的作物生理状况进行研究,对于表明它们对新环境条件的适应性具有重要作用。对硬粒小麦品种Creso和Dylan进行了测试,以评估在不同的合成氮肥和有机氮肥施用制度下该作物的生长、产量以及蛋白质组和转录组概况。在这项工作中,采用二维凝胶电泳(2-DE)方法结合液相色谱-质谱联用(LC-MS)来研究不同氮源(蛋白质1和2的水解产物、根际宝、合成氮肥、皮革水解物)对小麦植株诱导产生的蛋白质变化。蛋白质组学研究与谷氨酰胺合成酶/谷氨酰胺-2-酮戊二酸氨基转移酶(GS-GOGAT)和三羧酸(TCA)代谢途径相关基因的qPCR分析相结合,因为这些途径与依赖氮的植物生长最为相关。蛋白质组学分析分离出了23个能够区分所分析样本的斑点。这些斑点鉴定出了60种参与光合作用、糖酵解和氮代谢的蛋白质。例如,在代表Dylan样本中统计学上最显著的两个斑点中鉴定出了醌氧化还原酶样蛋白和可能的谷胱甘肽-S-转移酶GSTU蛋白。转录分析表明相关基因呈现出不同的表达趋势;热图还揭示了蛋白质1和2氮源水解产物的不同表现。氮肥在蛋白质组学和农艺学水平上的作用表明(施用)合成氮肥或根际宝的植株在产量方面表现最佳,而根际宝和蛋白质水解物对籽粒中的蛋白质含量(干重百分比)最为有效。因此,本研究中测量的所有参数表明,所使用的不同种类氮肥对植物生长和产量有显著影响。

https://cdn.ncbi.nlm.nih.gov/pmc/blobs/8785/6508776/72ae84f872df/PLD3-2-e00089-g001.jpg

文献AI研究员

20分钟写一篇综述,助力文献阅读效率提升50倍。

立即体验

用中文搜PubMed

大模型驱动的PubMed中文搜索引擎

马上搜索

文档翻译

学术文献翻译模型,支持多种主流文档格式。

立即体验