Suppr超能文献

共病负担和低睾酮都可以解释因性功能障碍而就诊的男性的睾酮缺乏的症状和体征。

Both comorbidity burden and low testosterone can explain symptoms and signs of testosterone deficiency in men consulting for sexual dysfunction.

机构信息

Sexual Medicine and Andrology Unit, Department of Experimental and Clinical Biomedical Sciences, University of Florence, Viale Pieraccini 6, Florence 50139, Italy.

Endocrinology Unit, Medical Department, Maggiore-Bellaria Hospital, Largo Nigrisoli 2, Bologna 40133, Italy.

出版信息

Asian J Androl. 2020 May-Jun;22(3):265-273. doi: 10.4103/aja.aja_61_19.

Abstract

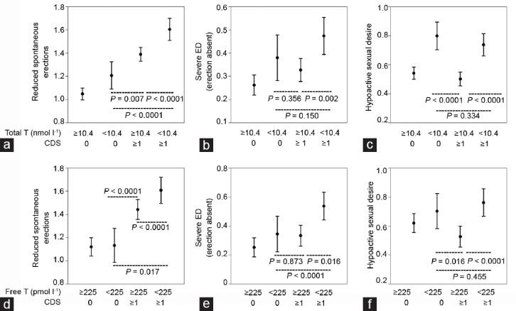
Low testosterone (T) is frequent in men with chronic illnesses. The clinical features of T deficiency (TD) overlap with those of chronic diseases. The aim of this study is to evaluate the relative contribution of chronic disease score (CDS) and low T to the presence of TD symptoms. A consecutive series of 3862 men (aged 52.1 ± 13.1 years) consulting for sexual dysfunction were studied. Several clinical and biochemical parameters were collected, including the structured interview, ANDROTEST, for the assessment of TD symptoms. Penile color Doppler ultrasound (PCDU) was also performed. Based on the medications taken, the CDS was calculated. For a subset of 1687 men, information on mortality was collected (follow-up of 4.3 ± 2.6 years). Higher CDS was associated with lower free and total T (TT) as well as with higher ANDROTEST score. When introducing CDS and TT in multivariable models adjusted for age, severe erectile dysfunction and impaired morning erections were associated with both CDS (odds ratio and 95% confidence interaval, OR [95% CI] = 1.25 [1.13; 1.37] and 1.38 [1.29; 1.48], respectively) and low TT (OR [95% CI] = 1.11 [1.00; 1.23] and 1.13 [1.06; 1.21], respectively). Similar results were obtained for PCDU parameters. Hypoactive sexual desire was associated with low TT (OR [95% CI] = 1.21 [1.13; 1.30]), whereas it was inversely related with CDS (OR [95% CI] = 0.91 [0.84; 0.97]). When considering mortality for major cardiovascular events, TT <8 nmol l, but not CDS, was a significant predictor (hazard ratio [95% CI] = 5.57 [1.51; 20.63]). Chronic illnesses are associated with an overt TD. Both chronic diseases and low T can be involved in determining symptoms present in subjects complaining for sexual dysfunction. This should be considered in the diagnostic workup for TD.

摘要

男性慢性疾病患者常出现低睾酮(T)水平。T 缺乏症(TD)的临床特征与慢性疾病重叠。本研究旨在评估慢性疾病评分(CDS)和低 T 对 TD 症状存在的相对贡献。对 3862 名因性功能障碍就诊的男性(年龄 52.1±13.1 岁)进行了连续系列研究。收集了包括结构化访谈、ANDROTEST 在内的多项临床和生化参数,用于评估 TD 症状。还进行了阴茎彩色多普勒超声(PCDU)检查。根据服用的药物计算 CDS。对于 1687 名男性的亚组,收集了有关死亡率的信息(随访 4.3±2.6 年)。较高的 CDS 与游离睾酮和总睾酮(TT)降低以及 ANDROTEST 评分升高相关。当在调整年龄、严重勃起功能障碍和晨勃受损的多变量模型中引入 CDS 和 TT 时,CDS(比值比和 95%置信区间,OR [95%CI] = 1.25 [1.13;1.37]和 1.38 [1.29;1.48])和低 TT(OR [95%CI] = 1.11 [1.00;1.23]和 1.13 [1.06;1.21])与严重勃起功能障碍和勃起受损有关。PCDU 参数也得到了类似的结果。性欲减退与低 TT(OR [95%CI] = 1.21 [1.13;1.30])相关,而与 CDS 呈负相关(OR [95%CI] = 0.91 [0.84;0.97])。考虑到主要心血管事件的死亡率,TT<8nmol l,但 CDS 不是一个显著的预测因素(风险比[95%CI] = 5.57 [1.51;20.63])。慢性疾病与明显的 TD 相关。慢性疾病和低 T 都可能参与决定因性功能障碍就诊患者的症状。在 TD 的诊断评估中应考虑到这一点。

https://cdn.ncbi.nlm.nih.gov/pmc/blobs/d56e/7275801/1f5a3fb88c91/AJA-22-265-g001.jpg

文献AI研究员

20分钟写一篇综述,助力文献阅读效率提升50倍。

立即体验

用中文搜PubMed

大模型驱动的PubMed中文搜索引擎

马上搜索

文档翻译

学术文献翻译模型,支持多种主流文档格式。

立即体验