Suppr超能文献

肉鸡胫骨矿化、化学成分和结构组织随年龄(0 至 37 日龄)的变化。

Changes with age (from 0 to 37 D) in tibiae bone mineralization, chemical composition and structural organization in broiler chickens.

机构信息

Departamento de Mineralogía y Petrología, Universidad de Granada, Avenida de Fuentenueva s/n, Granada 18002, Spain.

Departamento de Estomatología, Universidad de Granada, Campus Universitario de Cartuja, Colegio Máximo s/n, Granada 18071, Spain.

出版信息

Poult Sci. 2019 Nov 1;98(11):5215-5225. doi: 10.3382/ps/pez363.

Abstract

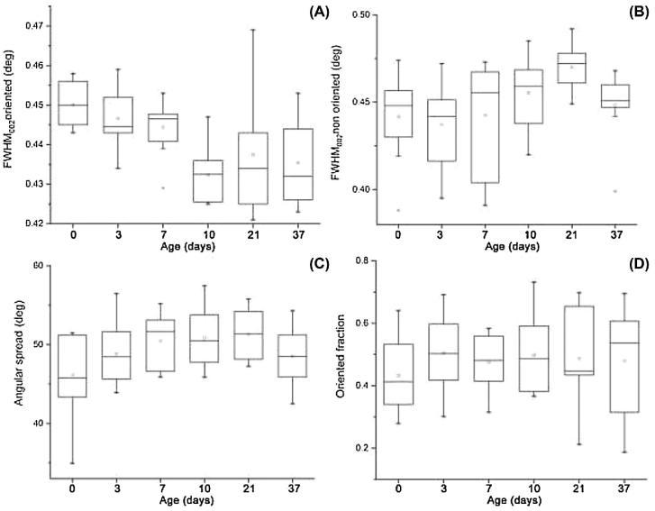
Broiler chickens have an extreme physiology (rapid growth rates) that challenges the correct bone mineralization, being an interesting animal model for studying the development of bone pathologies. This work studies in detail how the mineralization, chemistry, and structural organization of tibiae bone in broiler chickens change with age during the first 5 wk (37 D) from hatching until acquiring the final weight for slaughter. During the early growth phase (first 2 wk), the rapid addition of bone tissue does not allow for bone organic matrix to fully mineralize and mature, and seems to be a critical period for bone development at which bone mineralization cannot keep pace with the rapid growth of bones. The low degree of bone mineralization and large porosity of cortical bone at this period might be responsible of leg deformation and/or other skeletal abnormalities commonly observed in these birds. Later, cortical bone porosity gradually decreases and the cortical bone became fully mineralized (65%) at 37 D of age. At the same time, bone mineral acquires the composition of mature bone tissue (decreased amount of carbonate, higher crystallinity, Ca/P = 1.68). However, the mineral part was still poorly organized even at 37 D. The oriented fraction was about 0.45 which means that more than half of apatite crystals within the mineral are randomly oriented. Mineral organization (crystal orientation) had an important contribution to bone-breaking strength. Nevertheless, locally determined (at tibia mid-shaft) bone properties (i.e., cortical thickness, crystal orientation) has only a moderate correlation (R2 = 0.33) with bone breaking strength probably due to large and highly heterogeneous porosity of bone that acts as structural defects. On the other hand, the total amount of mineral (a global property) measured by total ash content was the best predictor for breaking strength (R2 = 0.49). Knowledge acquired in this study could help in designing strategies to improve bone quality and reduce the incidence of skeletal problems in broiler chickens that have important welfare and economic implications.

摘要

肉鸡具有极端的生理机能(快速生长速度),这对正确的骨骼矿化构成挑战,因此成为研究骨骼病变发育的有趣动物模型。本研究详细研究了肉鸡从孵化到获得屠宰终重的前 5 周(37 日龄)内,骨骼中胫骨的矿化、化学和结构组织如何随年龄而变化。在早期生长阶段(前 2 周),骨骼组织的快速增加不允许骨有机基质完全矿化和成熟,似乎是骨骼发育的关键时期,在此期间,骨矿化跟不上骨骼的快速生长。在此期间,皮质骨的矿化程度低,孔隙率大,可能是导致这些鸟类腿部变形和/或其他骨骼异常的原因。后来,皮质骨的孔隙率逐渐降低,在 37 日龄时皮质骨完全矿化(65%)。与此同时,骨骼矿物质获得成熟骨骼组织的成分(减少碳酸盐含量,更高的结晶度,Ca/P = 1.68)。然而,即使在 37 日龄时,矿物质部分仍未得到很好的组织。定向分数约为 0.45,这意味着矿物质中超过一半的磷灰石晶体是随机定向的。矿物质组织(晶体取向)对骨断裂强度有重要贡献。然而,局部确定的(在胫骨中段)骨骼特性(即皮质厚度、晶体取向)与骨断裂强度只有中等相关性(R2 = 0.33),这可能是由于骨骼的大且高度异质的孔隙率作为结构缺陷所致。另一方面,通过总灰分测量的矿物质总量(全局特性)是断裂强度的最佳预测指标(R2 = 0.49)。本研究获得的知识可有助于设计策略来改善肉鸡的骨骼质量,减少骨骼问题的发生率,这对动物福利和经济具有重要意义。

https://cdn.ncbi.nlm.nih.gov/pmc/blobs/3d16/6771771/53607842d4f1/pez363fig1.jpg

相似文献

2
Prenatal nutritional manipulation by in ovo enrichment influences bone structure, composition, and mechanical properties.
J Anim Sci. 2013 Jun;91(6):2784-93. doi: 10.2527/jas.2012-5548. Epub 2013 Mar 18.
4
Maternal and genetic effects on broiler bone properties during incubation period.
Poult Sci. 2017 Jul 1;96(7):2301-2311. doi: 10.3382/ps/pex021.

引用本文的文献

1
Characterizing the development of normal behaviors in broiler chicks during early life.
Poult Sci. 2025 Jun 13;104(9):105436. doi: 10.1016/j.psj.2025.105436.
4
The effect of salidroside on the bone and cartilage properties in broilers.
Poult Sci. 2024 Dec;103(12):104274. doi: 10.1016/j.psj.2024.104274. Epub 2024 Sep 2.
7
Postbiotic derived from ACCC 11025 improves growth performance, mortality rate, immunity, and tibia health in broiler chicks.
Front Vet Sci. 2024 Jul 19;11:1414767. doi: 10.3389/fvets.2024.1414767. eCollection 2024.

本文引用的文献

1
Influence of physical activity on tibial bone material properties in laying hens.
J Struct Biol. 2018 Jan;201(1):36-45. doi: 10.1016/j.jsb.2017.10.011. Epub 2017 Nov 3.
2
Hypodynamia Alters Bone Quality and Trabecular Microarchitecture.
Calcif Tissue Int. 2017 Apr;100(4):332-340. doi: 10.1007/s00223-017-0235-x. Epub 2017 Feb 3.
3
Bone mass and bone quality are altered by hypoactivity in the chicken.
PLoS One. 2015 Jan 30;10(1):e0116763. doi: 10.1371/journal.pone.0116763. eCollection 2015.
4
Growth, efficiency, and yield of commercial broilers from 1957, 1978, and 2005.
Poult Sci. 2014 Dec;93(12):2970-82. doi: 10.3382/ps.2014-04291. Epub 2014 Sep 26.
7
Age-related changes in the plasticity and toughness of human cortical bone at multiple length scales.
Proc Natl Acad Sci U S A. 2011 Aug 30;108(35):14416-21. doi: 10.1073/pnas.1107966108. Epub 2011 Aug 22.
8
Fetal and postnatal mouse bone tissue contains more calcium than is present in hydroxyapatite.
J Struct Biol. 2011 Nov;176(2):159-67. doi: 10.1016/j.jsb.2011.08.003. Epub 2011 Aug 10.
9
Bone mineralization in male commercial broilers and its relationship to gait score.
Poult Sci. 2010 Feb;89(2):342-8. doi: 10.3382/ps.2009-00382.
10
Use of FTIR spectroscopic imaging to identify parameters associated with fragility fracture.
J Bone Miner Res. 2009 Sep;24(9):1565-71. doi: 10.1359/jbmr.090414.

文献AI研究员

20分钟写一篇综述,助力文献阅读效率提升50倍。

立即体验

用中文搜PubMed

大模型驱动的PubMed中文搜索引擎

马上搜索

文档翻译

学术文献翻译模型,支持多种主流文档格式。

立即体验