Ling Weikang, Cheng Xiaoxiao, Miao Tengfei, Zhang Shuangshuang, Zhang Wei, Zhu Xiulin
Suzhou Key Laboratory of Macromolecular Design and Precision Synthesis, Jiangsu Key Laboratory of Advanced Functional Polymer Design and Application, State and Local Joint Engineering Laboratory for Novel Functional Polymeric Materials, College of Chemistry, Chemical Engineering and Materials Science, Soochow University, Suzhou 215123, China.
Global Institute of Software Technology, No 5. Qingshan Road, Suzhou National Hi-Tech District, Suzhou 215163, China.
Polymers (Basel). 2019 Jul 3;11(7):1143. doi: 10.3390/polym11071143.
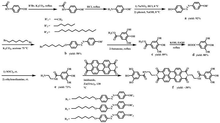
Azobenzene (Azo) units were successfully introduced into perylene bisimide (PBI) structures in order to realize the photocontrolling of the morphology of the supramolecular assembly of PBI by a photoisomerization process. A total of three Azo-functionalized perylene bisimide derivatives (, , and ) with different alkyl chain lengths were designed and synthesized by imidization of 3,4,9,10-perylene tetracarboxylic dianhydride with the corresponding amines. The structures of these compounds were characterized by proton nuclear magnetic resonance (H NMR) and matrix-assisted laser desorption ionization time-of-flight mass spectrometry (MALDI-TOF-MS). The photoisomerization behaviors of Azo units in PBIs were investigated using ultraviolet-visible (UV-VIS) absorption spectroscopy, which were obviously effected by solvents and the alkyl chain length. Furthermore, the photoisomerization of Azo units has the obviously regulatory effect on the morphology of supramolecular assembly of PBIs, especially for the medium-length alkyl chain-linked Azo-functionalized PBI derivative (). This research realized the photocontrolling of the morphology of the supramolecular assembly of PBI derivatives by photoisomerization of Azo units.
为了通过光异构化过程实现对苝酰亚胺(PBI)超分子组装体形态的光控,偶氮苯(Azo)单元被成功引入到苝酰亚胺(PBI)结构中。通过3,4,9,10 - 苝四羧酸二酐与相应胺的酰亚胺化反应,设计并合成了总共三种具有不同烷基链长度的偶氮功能化苝酰亚胺衍生物(、和)。这些化合物的结构通过质子核磁共振(H NMR)和基质辅助激光解吸电离飞行时间质谱(MALDI - TOF - MS)进行了表征。利用紫外 - 可见(UV - VIS)吸收光谱研究了PBI中Azo单元的光异构化行为,其明显受溶剂和烷基链长度的影响。此外,Azo单元的光异构化对PBI超分子组装体的形态具有明显的调节作用,特别是对于中等长度烷基链连接的偶氮功能化PBI衍生物()。本研究通过Azo单元的光异构化实现了对PBI衍生物超分子组装体形态的光控。