Suppr超能文献

有机热电材料会受热关注吗?

Will organic thermoelectrics get hot?

作者信息

Campoy-Quiles Mariano

机构信息

Institute of Materials Science of Barcelona (ICMAB-CSIC) , Campus UAB, Bellaterra 08193 , Spain.

出版信息

Philos Trans A Math Phys Eng Sci. 2019 Aug 26;377(2152):20180352. doi: 10.1098/rsta.2018.0352. Epub 2019 Jul 8.

Abstract

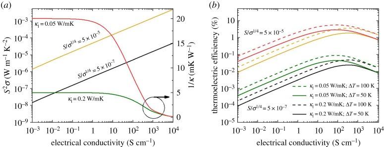
The generally low energy density from most heat sources-the Sun, Earth as well as most human activities-implies that solid-state thermoelectric devices are the most versatile heat harvesters since, unlike steam engines, they can be used on a small scale and at small temperature differences. In this opinion piece, we first discuss the materials requirements for the widespread use of thermoelectrics. We argue that carbon-based materials, such as conducting polymers and carbon nanotubes, are particularly suited for large area and low-temperature operation applications, as they are abundant, low-toxicity and easy to process. We combine experimentally observed macro-trends and basic thermoelectric relations to evaluate the major performance limitations of this technology thus far and propose a number of avenues to take the thermoelectric efficiency of organic materials beyond the state of the art. First, we emphasize how charge carrier mobility, rather than charge density, is currently limiting performance, and discuss how to improve mobility by exploiting anisotropy, high persistence length materials and composites with long and well-dispersed carbon nanotubes. We also show that reducing thermal conductivity could double efficiency while reducing doping requirements. Finally, we discuss several ways in which composites could further boost performance, introducing the concept of interface engineering to produce phonon stack-electron tunnel composites. This article is part of a discussion meeting issue 'Energy materials for a low carbon future'.

摘要

大多数热源(太阳、地球以及大多数人类活动)的能量密度普遍较低,这意味着固态热电器件是最为通用的热采集器,因为与蒸汽机不同,它们可以在小尺度和小温差条件下使用。在这篇观点文章中,我们首先讨论热电材料广泛应用所需满足的材料要求。我们认为,诸如导电聚合物和碳纳米管之类的碳基材料特别适合大面积和低温运行应用,因为它们储量丰富、毒性低且易于加工。我们结合实验观察到的宏观趋势和基本热电关系,来评估这项技术目前主要的性能限制,并提出一些途径,以使有机材料的热电效率超越当前的技术水平。首先,我们强调目前限制性能的是载流子迁移率而非电荷密度,并讨论如何通过利用各向异性、高持久长度材料以及含有长且分散良好的碳纳米管的复合材料来提高迁移率。我们还表明,降低热导率在减少掺杂要求的同时可使效率提高一倍。最后,我们讨论复合材料可进一步提升性能的几种方式,引入界面工程的概念以制备声子堆叠 - 电子隧道复合材料。本文是“低碳未来的能源材料”讨论会议特刊的一部分。

https://cdn.ncbi.nlm.nih.gov/pmc/blobs/e41f/6635632/3aa2557aa382/rsta20180352-g1.jpg

文献AI研究员

20分钟写一篇综述,助力文献阅读效率提升50倍。

立即体验

用中文搜PubMed

大模型驱动的PubMed中文搜索引擎

马上搜索

文档翻译

学术文献翻译模型,支持多种主流文档格式。

立即体验