Suppr超能文献

对结核分枝杆菌/艾滋病毒合并感染进行多项式建模可产生稳健的预测特征,并对艾滋病毒/结核分枝杆菌/结核分枝杆菌病状态产生假设。

Multinomial modelling of TB/HIV co-infection yields a robust predictive signature and generates hypotheses about the HIV+TB+ disease state.

机构信息

Seattle Children's Research Institute, Center for Global Infectious Disease Research, Seattle, WA, United States of America.

Center for Infectious Disease Research (formerly Seattle Biomedical Research Institute), Seattle, WA, United States of America.

出版信息

PLoS One. 2019 Jul 15;14(7):e0219322. doi: 10.1371/journal.pone.0219322. eCollection 2019.

Abstract

BACKGROUND

Current diagnostics are inadequate to meet the challenges presented by co-infection with Mycobacterium tuberculosis (Mtb) and HIV, the leading cause of death for HIV-infected individuals. Improved characterization of Mtb/HIV coinfection as a distinct disease state may lead to better identification and treatment of affected individuals.

METHODS

Four previously-published TB and HIV co-infection related datasets were used to train and validate multinomial machine learning classifiers that simultaneously predict TB and HIV status. Classifier predictive performance was measured using leave-one-out cross validation on the training set and blind predictive performance on multiple test sets using area under the ROC curve (AUC) as the performance metric. Linear modelling of signature gene expression was applied to systematically classify genes as TB-only, HIV-only or combined TB/HIV.

RESULTS

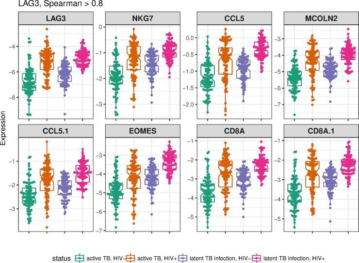
The optimal signature discovered was a 10-gene random forest multinomial signature that robustly discriminated active tuberculosis (TB) from other non-TB disease states with improved performance compared with previously published signatures (AUC: 0.87), and specifically discriminated active TB/HIV co-infection from all other conditions (AUC: 0.88). Signature genes exhibited a variety of transcriptional patterns including both TB-only and HIV-only response genes and genes with expression patterns driven by interactions between HIV and TB infection states, including the CD8+ T-cell receptor LAG3 and the apoptosis-related gene CERKL.

CONCLUSIONS

By explicitly including distinct disease states within the machine learning analysis framework, we developed a compact and highly diagnostic signature that simultaneously discriminates multiple disease states associated with Mtb/HIV co-infection. Examination of the expression patterns of signature genes suggests mechanisms underlying the unique inflammatory conditions associated with active TB in the presence of HIV. In particular, we observed that dysregulation of CD8+ effector T-cell and NK-cell associated genes may be an important feature of Mtb/HIV co-infection.

摘要

背景

当前的诊断方法不足以应对结核分枝杆菌(Mycobacterium tuberculosis,Mtb)和人类免疫缺陷病毒(human immunodeficiency virus,HIV)合并感染带来的挑战,HIV 感染者的主要死因正是合并感染。更准确地描述 Mtb/HIV 合并感染作为一种独特的疾病状态,可能有助于更好地识别和治疗受影响的个体。

方法

使用四个已发表的结核病和 HIV 合并感染相关数据集来训练和验证多类别机器学习分类器,该分类器可同时预测结核病和 HIV 状态。在训练集上使用留一法交叉验证来衡量分类器的预测性能,在多个测试集上使用 ROC 曲线下面积(area under the ROC curve,AUC)作为性能指标来衡量盲测性能。对特征基因表达进行线性建模,以系统地将基因分类为仅与结核病相关、仅与 HIV 相关或同时与结核病和 HIV 相关。

结果

发现的最优特征是一个由 10 个基因组成的随机森林多类别特征,与之前发表的特征相比,该特征能够更稳健地区分活动性结核病(AUC:0.87),特别是能够区分活动性 Mtb/HIV 合并感染与所有其他情况(AUC:0.88)。特征基因表现出多种转录模式,包括仅与结核病相关和仅与 HIV 相关的基因,以及受 HIV 和 TB 感染状态相互作用驱动的基因,包括 CD8+T 细胞受体 LAG3 和与细胞凋亡相关的基因 CERKL。

结论

通过在机器学习分析框架中明确纳入不同的疾病状态,我们开发了一个紧凑且高度诊断性的特征,可同时区分与 Mtb/HIV 合并感染相关的多种疾病状态。对特征基因表达模式的研究表明,与 HIV 存在时活动性结核病相关的独特炎症状态的潜在机制。特别是,我们观察到 CD8+效应 T 细胞和 NK 细胞相关基因的失调可能是 Mtb/HIV 合并感染的一个重要特征。

https://cdn.ncbi.nlm.nih.gov/pmc/blobs/3eb1/6629068/fa135e462d4a/pone.0219322.g001.jpg

文献AI研究员

20分钟写一篇综述,助力文献阅读效率提升50倍。

立即体验

用中文搜PubMed

大模型驱动的PubMed中文搜索引擎

马上搜索

文档翻译

学术文献翻译模型,支持多种主流文档格式。

立即体验