Suppr超能文献

临床试验中的招募和纳入程序能否成为“止痛药”?

Recruitment and inclusion procedures as "pain killers" in clinical trials?

作者信息

Nothnagel H, Brown Menard M, Kvarstein G, Norheim A J, Weiss T, Puta C, Mist S D, Musial F

机构信息

Department of Sports Medicine and Health Promotion, Friedrich Schiller University Jena, Jena, Germany.

Department of Psychiatry and Psychotherapy, Jena University Hospital, Jena, Germany.

出版信息

J Pain Res. 2019 Jul 3;12:2027-2037. doi: 10.2147/JPR.S204259. eCollection 2019.

Abstract

BACKGROUND

Recruitment and inclusion procedures in clinical trials are time critical. This holds particularly true for studies investigating patients with fluctuating symptom patterns, like those with chronic neck pain. In a feasibility study on neck pain, we found a clinically relevant decrease in pain ratings within the recruitment period. This paper analyses the phenomenon and gives recommendations for recruitment procedures in clinical trials on pain.

METHODS

Changes in pain intensity scores of 44 chronic neck pain patients (6 males and 36 females; mean age: 45.3±13.2 years) between the first telephone contact and baseline assessment were analyzed. Inclusion criterion was a mean pain intensity of ≥40 on a 0-100 numerical rating scale during the last three months. Statistical analyses were performed using ANOVA and parametric/non-parametric correlation coefficients.

RESULTS

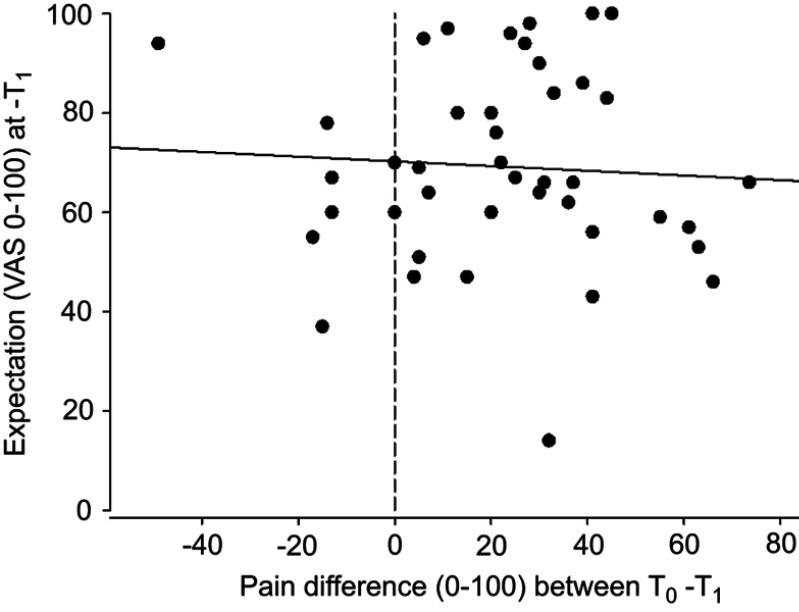
Average pain intensity score decreased significantly from 60.3±13.3 at telephone interview to 38.1±21.7 at baseline assessment. This represents a relative change of 36.8%. A weak but significant negative correlation was found between number of days between assessments and pain rating differences. There was a positive correlation between change of pain intensity and the pain level at the first contact, indicating that the decreased pain ratings over time were also dependent on the initial pain rating.

CONCLUSIONS

The clinically significant changes in pain intensity were weakly related to waiting time and moderately dependent on initial pain intensity, suggesting regression to the mean. The natural course of the disease and the Hawthorne effect are also discussed as contributing factors.

摘要

背景

临床试验中的招募和纳入程序对时间要求严格。对于研究症状波动模式患者(如慢性颈部疼痛患者)的研究而言尤其如此。在一项关于颈部疼痛的可行性研究中,我们发现在招募期间疼痛评分出现了具有临床意义的下降。本文分析了这一现象,并针对疼痛方面的临床试验招募程序提出建议。

方法

分析了44例慢性颈部疼痛患者(6例男性和36例女性;平均年龄:45.3±13.2岁)从首次电话联系到基线评估期间疼痛强度评分的变化。纳入标准是在过去三个月中,0至100数字评分量表上的平均疼痛强度≥40。使用方差分析和参数/非参数相关系数进行统计分析。

结果

平均疼痛强度评分从电话访谈时的60.3±13.3显著降至基线评估时的38.1±21.7。这代表相对变化为36.8%。在评估间隔天数与疼痛评分差异之间发现了微弱但显著的负相关。疼痛强度变化与首次接触时的疼痛水平之间存在正相关,表明随着时间推移疼痛评分的降低也取决于初始疼痛评分。

结论

疼痛强度的临床显著变化与等待时间的相关性较弱,且适度依赖于初始疼痛强度,提示存在均值回归现象。还讨论了疾病的自然病程和霍桑效应作为促成因素。

https://cdn.ncbi.nlm.nih.gov/pmc/blobs/0437/6614587/35479e2a11b5/JPR-12-2027-g0001.jpg

文献AI研究员

20分钟写一篇综述,助力文献阅读效率提升50倍。

立即体验

用中文搜PubMed

大模型驱动的PubMed中文搜索引擎

马上搜索

文档翻译

学术文献翻译模型,支持多种主流文档格式。

立即体验