Suppr超能文献

水中行走时地面反力的预测。

Prediction of ground reaction forces while walking in water.

机构信息

Department of Physiotherapy, Federal University of Santa Catarina, Araranguá, SC, Brazil.

School of Biological Science, Federal University of Santa Catarina, Florianópolis, SC, Brazil.

出版信息

PLoS One. 2019 Jul 18;14(7):e0219673. doi: 10.1371/journal.pone.0219673. eCollection 2019.

Abstract

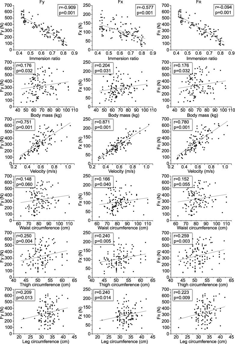
Despite being a key concept in rehabilitation, controlling weight-bearing load while walking, following lower limb injury is very hard to achieve. Walking in water provides an opportunity to prescribe load for people who have pain, weakness or weight bearing restrictions related to stages of healing. The aim of this experimental study was to evaluate and validate regression models for predicting ground reaction forces while walking in water. One hundred and thirty seven individuals (24±5 years, 1.71±0.08 m and 68.7±12.5 kg) were randomly assigned to a regression group (n = 113) and a validation group (n = 24). Trials were performed at a randomly assigned water depth (0.75 to 1.35 m), and at a self-selected speed. Independent variables were: immersion ratio, velocity, body mass, and waist, thigh and leg circumferences. Stepwise regression was used for the prediction of ground reaction forces and validation included agreement and consistency statistical analyses. Data from a force plate were compared with predicted data from the created model in the validation group. Body mass, immersion ratio, and velocity independently predicted 95% of the vertical and resultant ground reaction force variability, while, together, velocity and thigh circumference explained 81% of antero-posterior ground reaction force variability. When tested against the data measured in validation samples, the models output resulted in statistically similar values, intraclass correlation coefficients ranging from 0.88 to 0.90 and standard errors of measurement, 11.8 to 42.3 N. The models introduced in this study showed good predictive performance in our evaluation procedures and may be considered valid in the prediction of vertical, antero-posterior and resultant ground reaction forces while walking in water. All predictive variables can be easily determined in clinical practice. Future studies should focus on the validation of these models in specific populations.

摘要

尽管在康复中是一个关键概念,但控制下肢损伤后行走时的负重,是非常困难的。在水中行走为那些因疼痛、虚弱或负重限制而处于愈合阶段的人提供了一种规定负荷的机会。本实验研究的目的是评估和验证预测水中行走时地面反力的回归模型。137 名个体(24±5 岁,1.71±0.08 m 和 68.7±12.5 kg)被随机分配到回归组(n = 113)和验证组(n = 24)。试验在随机分配的水深(0.75 至 1.35 m)和自我选择的速度下进行。自变量为:浸入比、速度、体重和腰围、大腿和小腿周长。逐步回归用于预测地面反力,验证包括一致性和一致性统计分析。验证组中,比较了力板上的数据与创建模型预测的数据。体重、浸入比和速度独立预测了垂直和合成地面反力变化的 95%,而速度和大腿周长共同解释了前向地面反力变化的 81%。当将模型应用于验证样本中测量的数据时,模型输出的结果具有统计学上的相似值,组内相关系数范围为 0.88 至 0.90,测量误差为 11.8 至 42.3 N。本研究中引入的模型在我们的评估过程中表现出良好的预测性能,可用于预测水中行走时的垂直、前向和合成地面反力。所有预测变量都可以在临床实践中轻松确定。未来的研究应集中在这些模型在特定人群中的验证上。

https://cdn.ncbi.nlm.nih.gov/pmc/blobs/d56c/6638929/504ce48dda0c/pone.0219673.g001.jpg

文献检索

告别复杂PubMed语法,用中文像聊天一样搜索,搜遍4000万医学文献。AI智能推荐,让科研检索更轻松。

立即免费搜索

文件翻译

保留排版,准确专业,支持PDF/Word/PPT等文件格式,支持 12+语言互译。

免费翻译文档

深度研究

AI帮你快速写综述,25分钟生成高质量综述,智能提取关键信息,辅助科研写作。

立即免费体验