Malathesh Pari, Praveen Kumara N Y, Jilani Bhvimane Sanna, Mruthyunjayachari C D, Venugopala Reddy K R
Department of Chemistry, Vijayanagara Shrikrishnadevaraya University, Ballari, 583 105, Karnataka, India.
Department of Industrial Chemistry, Sahyadri Science College, Shivamogga, 577 203, Karnataka, India.
Heliyon. 2019 Jul 4;5(7):e01946. doi: 10.1016/j.heliyon.2019.e01946. eCollection 2019 Jul.
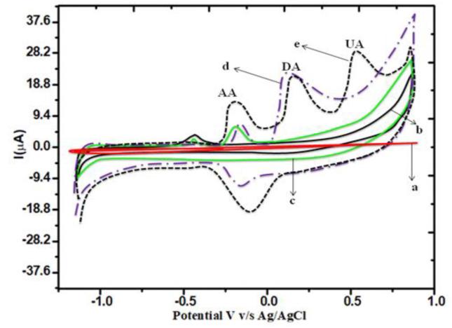
Cobalt (II) phthalocyanine embedded with ganciclovir units has been synthesized by a novel method using tetracarboxylic phthalocyanine reported for the first time. The synthesized dark green colored complexes were characterized by electronic spectroscopy, elemental analysis, FT-IR, MASS and XRD. Thermal stability study reveals that the newly synthesized complex was stable up to 300 °C and XRD patterns showed amorphous nature of the complex. In the present work, the synthesized complex was characterized by cyclic voltammetry and shows the redox behavior corresponding to central metal (Co/Co) of the complex. Three biomolecules are well-separated by their oxidation peaks in simultaneous determination predicting the potentials for (-128, 335, and 723 mV) with highly increasing current. The low detection limit of AA, DA, and UA were 0.33, 0.03 and 0.10 μmol by CV method and good responses of amperometric and DPV technique. The modified tetra substituted CoTGPc/GCE exhibit an excellent electrocatalytic activity, stability, high sensitivity, good linearity, and selectivity without losing its catalytic activity and proves to be a versatile chemical sensor for commercial pharmaceutical samples, vitamin C tablets, and dopamine injections.
通过一种首次报道的使用四羧酸酞菁的新方法合成了嵌入更昔洛韦单元的钴(II)酞菁。通过电子光谱、元素分析、傅里叶变换红外光谱、质谱和X射线衍射对合成的深绿色配合物进行了表征。热稳定性研究表明,新合成的配合物在300°C以下稳定,X射线衍射图谱显示该配合物为非晶态。在本工作中,通过循环伏安法对合成的配合物进行了表征,显示出与配合物中心金属(Co/Co)相对应的氧化还原行为。在同时测定中,三种生物分子通过其氧化峰得到很好的分离,预测电位为(-128、335和723 mV),电流大幅增加。通过循环伏安法,AA、DA和UA的检测限分别为0.33、0.03和0.10 μmol,安培法和差分脉冲伏安法技术响应良好。修饰的四取代CoTGPc/GCE表现出优异的电催化活性、稳定性、高灵敏度、良好的线性和选择性,且不失其催化活性,证明是一种适用于商业药物样品、维生素C片和多巴胺注射液的通用化学传感器。