Suppr超能文献

腺苷A2A受体基因转录调控在帕金森病中的作用

On the Role of Adenosine A2A Receptor Gene Transcriptional Regulation in Parkinson's Disease.

作者信息

Falconi Anastasia, Bonito-Oliva Alessandra, Di Bartolomeo Martina, Massimini Marcella, Fattapposta Francesco, Locuratolo Nicoletta, Dainese Enrico, Pascale Esterina, Fisone Gilberto, D'Addario Claudio

机构信息

Faculty of Bioscience, University of Teramo, Teramo, Italy.

Department of Neuroscience, Karolinska Institute, Stockholm, Sweden.

出版信息

Front Neurosci. 2019 Jul 10;13:683. doi: 10.3389/fnins.2019.00683. eCollection 2019.

Abstract

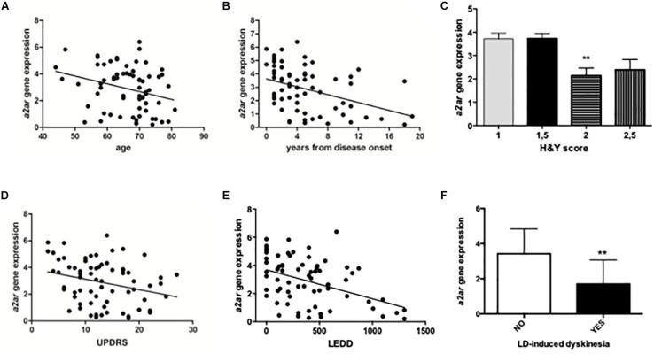
Adenosine A2A receptors (A2ARs) have attracted considerable attention as an important molecular target for the design of Parkinson's disease (PD) therapeutic compounds. Here, we studied the transcriptional regulation of the A2AR gene in human peripheral blood mononuclear cells (PBMCs) obtained from PD patients and in the striatum of the well-validated, 6-hydroxydopamine (6-OHDA)-induced PD mouse model. We report an increase in A2AR mRNA expression and protein levels in both human cells and mice striata, and in the latter we could also observe a consistent reduction in DNA methylation at gene promoter and an increase in histone H3 acetylation at lysine 9. Of particular relevance in clinical samples, we also observed higher levels in the receptor gene expression in younger subjects, as well as in those with less years from disease onset, and less severe disease according to clinical scores. In conclusion, the present findings provide further evidence of the relevant role of A2AR in PD and, based on the clinical data, highlight its potential role as disease biomarker for PD especially at the initial stages of disease development. Furthermore, our preclinical results also suggest selective epigenetic mechanisms targeting gene promoter as tool for the development of new treatments.

摘要

腺苷A2A受体(A2ARs)作为帕金森病(PD)治疗化合物设计的重要分子靶点,已引起了广泛关注。在此,我们研究了从PD患者获取的人外周血单核细胞(PBMCs)以及经过充分验证的6-羟基多巴胺(6-OHDA)诱导的PD小鼠模型纹状体中A2AR基因的转录调控。我们报告了在人细胞和小鼠纹状体中A2AR mRNA表达和蛋白水平均有所增加,并且在小鼠纹状体中我们还能观察到基因启动子处DNA甲基化持续减少以及赖氨酸9处组蛋白H3乙酰化增加。在临床样本中特别相关的是,我们还观察到年轻受试者以及疾病发病年限较短且根据临床评分疾病较轻的受试者中受体基因表达水平更高。总之,目前的研究结果为A2AR在PD中的相关作用提供了进一步证据,并且基于临床数据,突出了其作为PD疾病生物标志物的潜在作用,尤其是在疾病发展的初始阶段。此外,我们的临床前结果还表明,针对基因启动子的选择性表观遗传机制可作为开发新治疗方法的工具。

https://cdn.ncbi.nlm.nih.gov/pmc/blobs/4dcb/6635589/47ed149b7084/fnins-13-00683-g001.jpg

相似文献

1
On the Role of Adenosine A2A Receptor Gene Transcriptional Regulation in Parkinson's Disease.
Front Neurosci. 2019 Jul 10;13:683. doi: 10.3389/fnins.2019.00683. eCollection 2019.
7
Occupancy of adenosine A receptors by istradefylline in patients with Parkinson's disease using C-preladenant PET.
Neuropharmacology. 2018 Dec;143:106-112. doi: 10.1016/j.neuropharm.2018.09.036. Epub 2018 Sep 22.
8
Neuroprotection by caffeine in the MPTP model of parkinson's disease and its dependence on adenosine A2A receptors.
Neuroscience. 2016 May 13;322:129-37. doi: 10.1016/j.neuroscience.2016.02.035. Epub 2016 Feb 22.
9
A(2A) adenosine receptors and Parkinson's disease severity.
Acta Neurol Scand. 2014 Apr;129(4):276-81. doi: 10.1111/ane.12181. Epub 2013 Aug 30.
10
Adenosine A2A Receptors Modulate α-Synuclein Aggregation and Toxicity.
Cereb Cortex. 2017 Jan 1;27(1):718-730. doi: 10.1093/cercor/bhv268.

引用本文的文献

本文引用的文献

3
Perspectives on Systems Modeling of Human Peripheral Blood Mononuclear Cells.
Front Mol Biosci. 2018 Jan 9;4:96. doi: 10.3389/fmolb.2017.00096. eCollection 2017.
4
Regulation of Histone Acetylation by Autophagy in Parkinson Disease.
J Biol Chem. 2016 Feb 12;291(7):3531-40. doi: 10.1074/jbc.M115.675488. Epub 2015 Dec 23.
7
Levodopa therapy for Parkinson's disease: Pharmacokinetics and pharmacodynamics.
Mov Disord. 2015 Jan;30(1):64-72. doi: 10.1002/mds.26082. Epub 2014 Dec 1.
9
Peripheral blood mononuclear cells as a laboratory to study dementia in the elderly.
Biomed Res Int. 2014;2014:169203. doi: 10.1155/2014/169203. Epub 2014 Apr 30.
10
A(2A) adenosine receptors and Parkinson's disease severity.
Acta Neurol Scand. 2014 Apr;129(4):276-81. doi: 10.1111/ane.12181. Epub 2013 Aug 30.

文献AI研究员

20分钟写一篇综述,助力文献阅读效率提升50倍。

立即体验

用中文搜PubMed

大模型驱动的PubMed中文搜索引擎

马上搜索

文档翻译

学术文献翻译模型,支持多种主流文档格式。

立即体验