Suppr超能文献

子痫前期与终末期肾病风险:一项瑞典全国队列研究。

Preeclampsia and risk of end stage kidney disease: A Swedish nationwide cohort study.

机构信息

School of Public Health, University College Cork, Cork, Ireland.

The Irish Centre for Fetal and Neonatal Translational Research (INFANT), University College Cork, Cork, Ireland.

出版信息

PLoS Med. 2019 Jul 30;16(7):e1002875. doi: 10.1371/journal.pmed.1002875. eCollection 2019 Jul.

Abstract

BACKGROUND

Preeclampsia has been suggested to increase the risk of end-stage kidney disease (ESKD); however, most studies were unable to adjust for potential confounders including pre-existing comorbidities such as renal disease and cardiovascular disease (CVD). We aimed to examine the association between preeclampsia and the risk of ESKD in healthy women, while taking into account pre-existing comorbidity and potential confounders.

METHODS AND FINDINGS

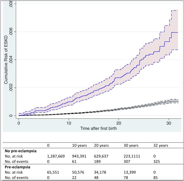
Using data from the Swedish Medical Birth Register (MBR), women who had singleton live births in Sweden between 1982 and 2012, including those who had preeclampsia, were identified. Women with a diagnosis of chronic kidney disease (CKD), CVD, hypertension, or diabetes prior to the first pregnancy were excluded. The outcome was a diagnosis of ESKD, identified from the Swedish Renal Registry (SRR) from January 1, 1991, onwards along with the specified cause of renal disease. We conducted Cox proportional hazards regression analysis to examine the association between preeclampsia and ESKD adjusting for several potential confounders: maternal age, body mass index (BMI), education, native country, and smoking. This analysis accounts for differential follow-up among women because women had different lengths of follow-up time. We performed subgroup analyses according to preterm preeclampsia, small for gestational age (SGA), and women who had 2 pregnancies with preeclampsia in both. The cohort consisted of 1,366,441 healthy women who had 2,665,320 singleton live births in Sweden between 1982 and 2012. At the first pregnancy, women's mean (SD) age and BMI were 27.8 (5.13) and 23.4 (4.03), respectively, 15.2% were smokers, and 80.7% were native Swedish. The overall median (interquartile range [IQR]) follow-up was 7.4 years (3.2-17.4) and 16.4 years (10.3-22.0) among women with ESKD diagnosis. During the study period, 67,273 (4.9%) women having 74,648 (2.8% of all pregnancies) singleton live births had preeclampsia, and 410 women developed ESKD with an incidence rate of 1.85 per 100,000 person-years. There was an association between preeclampsia and ESKD in the unadjusted analysis (hazard ratio [HR] = 4.99, 95% confidence interval [CI] 3.93-6.33; p < 0.001), which remained in the extensively adjusted (HR = 4.96, 95% CI 3.89-6.32, p < 0.001) models. Women who had preterm preeclampsia (adjusted HR = 9.19; 95% CI 5.16-15.61, p < 0.001) and women who had preeclampsia in 2 pregnancies (adjusted HR = 7.13, 95% CI 3.12-16.31, p < 0.001) had the highest risk of ESKD compared with women with no preeclampsia. Considering this was an observational cohort study, and although we accounted for several potential confounders, residual confounding cannot be ruled out.

CONCLUSIONS

The present findings suggest that women with preeclampsia and no major comorbidities before their first pregnancy are at a 5-fold increased risk of ESKD compared with parous women with no preeclampsia; however, the absolute risk of ESKD among women with preeclampsia remains small. Preeclampsia should be considered as an important risk factor for subsequent ESKD. Whether screening and/or preventive strategies will reduce the risk of ESKD in women with adverse pregnancy outcomes is worthy of further investigation.

摘要

背景

子痫前期被认为会增加终末期肾病(ESKD)的风险;然而,大多数研究无法调整潜在的混杂因素,包括先前存在的合并症,如肾脏疾病和心血管疾病(CVD)。我们旨在研究健康女性中子痫前期与 ESKD 风险之间的关系,同时考虑到先前存在的合并症和潜在的混杂因素。

方法和发现

利用瑞典医学出生登记处(MBR)的数据,确定了 1982 年至 2012 年期间在瑞典单胎活产的女性,包括患有子痫前期的女性。排除了在第一次怀孕前患有慢性肾脏病(CKD)、心血管疾病、高血压或糖尿病的女性。该结局是通过从 1991 年 1 月 1 日起的瑞典肾脏登记处(SRR)确定的 ESKD 诊断,以及特定的肾脏疾病病因。我们使用 Cox 比例风险回归分析来检查子痫前期与 ESKD 之间的关联,同时调整了几个潜在的混杂因素:母亲年龄、体重指数(BMI)、教育程度、原籍国和吸烟状况。该分析考虑了女性之间不同的随访时间,因为女性的随访时间不同。我们根据早产子痫前期、小于胎龄儿(SGA)和两次怀孕均患有子痫前期的女性进行了亚组分析。该队列包括 1366441 名健康女性,她们在 1982 年至 2012 年期间在瑞典进行了 2665320 次单胎活产。在第一次怀孕时,女性的平均(SD)年龄和 BMI 分别为 27.8(5.13)和 23.4(4.03),15.2%的女性吸烟,80.7%的女性原籍国为瑞典。总体中位数(四分位距 [IQR])随访时间为 7.4 年(3.2-17.4)和 16.4 年(10.3-22.0),患有 ESKD 诊断的女性。在研究期间,67273 名(4.9%)女性在 74648 次(所有妊娠的 2.8%)单胎活产中患有子痫前期,410 名女性患有 ESKD,发病率为每 100000 人年 1.85 人。在未调整分析中,子痫前期与 ESKD 之间存在关联(风险比 [HR] = 4.99,95%置信区间 [CI] 3.93-6.33;p < 0.001),在广泛调整的分析中(HR = 4.96,95% CI 3.89-6.32,p < 0.001)仍然存在。与没有子痫前期的女性相比,患有早产子痫前期(调整后 HR = 9.19;95% CI 5.16-15.61,p < 0.001)和两次怀孕中患有子痫前期的女性(调整后 HR = 7.13,95% CI 3.12-16.31,p < 0.001)的 ESKD 风险最高。考虑到这是一项观察性队列研究,尽管我们考虑了几个潜在的混杂因素,但仍不能排除残余混杂因素。

结论

本研究结果表明,与没有子痫前期的经产妇女相比,首次妊娠前没有主要合并症的子痫前期妇女发生 ESKD 的风险增加 5 倍;然而,子痫前期妇女发生 ESKD 的绝对风险仍然较小。子痫前期应被视为随后发生 ESKD 的重要危险因素。对于有不良妊娠结局的女性,是否进行筛查和/或预防策略是否会降低 ESKD 的风险,值得进一步研究。

https://cdn.ncbi.nlm.nih.gov/pmc/blobs/82e0/6667103/e06c91c1a114/pmed.1002875.g001.jpg

文献检索

告别复杂PubMed语法,用中文像聊天一样搜索,搜遍4000万医学文献。AI智能推荐,让科研检索更轻松。

立即免费搜索

文件翻译

保留排版,准确专业,支持PDF/Word/PPT等文件格式,支持 12+语言互译。

免费翻译文档

深度研究

AI帮你快速写综述,25分钟生成高质量综述,智能提取关键信息,辅助科研写作。

立即免费体验