Suppr超能文献

听觉对象与事件感知的声学关联:说话者、音乐音色与环境声音

Acoustic Correlates of Auditory Object and Event Perception: Speakers, Musical Timbres, and Environmental Sounds.

作者信息

Ogg Mattson, Slevc L Robert

机构信息

Neuroscience and Cognitive Science Program, University of Maryland, College Park, College Park, MD, United States.

Department of Psychology, University of Maryland, College Park, College Park, MD, United States.

出版信息

Front Psychol. 2019 Jul 17;10:1594. doi: 10.3389/fpsyg.2019.01594. eCollection 2019.

Abstract

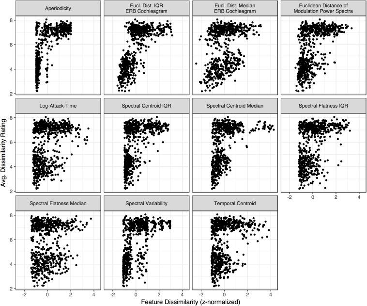
Human listeners must identify and orient themselves to auditory objects and events in their environment. What acoustic features support a listener's ability to differentiate the great variety of natural sounds they might encounter? Studies of auditory object perception typically examine identification (and confusion) responses or dissimilarity ratings between pairs of objects and events. However, the majority of this prior work has been conducted within single categories of sound. This separation has precluded a broader understanding of the general acoustic attributes that govern auditory object and event perception within and across different behaviorally relevant sound classes. The present experiments take a broader approach by examining multiple categories of sound relative to one another. This approach bridges critical gaps in the literature and allows us to identify (and assess the relative importance of) features that are useful for distinguishing sounds within, between and across behaviorally relevant sound categories. To do this, we conducted behavioral sound identification (Experiment 1) and dissimilarity rating (Experiment 2) studies using a broad set of stimuli that leveraged the acoustic variability within and between different sound categories via a diverse set of 36 sound tokens (12 utterances from different speakers, 12 instrument timbres, and 12 everyday objects from a typical human environment). Multidimensional scaling solutions as well as analyses of item-pair-level responses as a function of different acoustic qualities were used to understand what acoustic features informed participants' responses. In addition to the spectral and temporal envelope qualities noted in previous work, listeners' dissimilarity ratings were associated with spectrotemporal variability and aperiodicity. Subsets of these features (along with fundamental frequency variability) were also useful for making specific within or between sound category judgments. Dissimilarity ratings largely paralleled sound identification performance, however the results of these tasks did not completely mirror one another. In addition, musical training was related to improved sound identification performance.

摘要

人类听众必须识别并确定自己在周围环境中对听觉对象和事件的方位。哪些声学特征有助于听众区分他们可能遇到的各种各样的自然声音?对听觉对象感知的研究通常会考察对对象和事件的识别(以及混淆)反应或成对对象和事件之间的差异评级。然而,此前的大部分研究都是在单一声音类别中进行的。这种分隔妨碍了我们更广泛地理解在不同行为相关声音类别内部和之间支配听觉对象和事件感知的一般声学属性。本实验采用了一种更广泛的方法,即相互比较多个声音类别。这种方法弥合了文献中的关键空白,使我们能够识别(并评估其相对重要性)有助于区分行为相关声音类别内部、之间以及跨类别声音的特征。为此,我们进行了行为声音识别(实验1)和差异评级(实验2)研究,使用了一组广泛的刺激材料,通过36种不同的声音样本(来自不同说话者的12个语音、12种乐器音色以及来自典型人类环境的12个日常物体声音)利用不同声音类别内部和之间的声学变异性。使用多维标度解以及作为不同声学特性函数的项目对水平反应分析,来了解哪些声学特征影响了参与者的反应。除了先前工作中提到的频谱和时间包络特性外,听众的差异评级还与频谱时间变异性和非周期性有关。这些特征的子集(连同基频变异性)对于做出特定的声音类别内部或之间的判断也很有用。差异评级在很大程度上与声音识别表现平行,然而这些任务的结果并没有完全相互反映。此外,音乐训练与声音识别表现的提高有关。

https://cdn.ncbi.nlm.nih.gov/pmc/blobs/326e/6650748/0f08dff804a1/fpsyg-10-01594-g001.jpg

文献检索

告别复杂PubMed语法,用中文像聊天一样搜索,搜遍4000万医学文献。AI智能推荐,让科研检索更轻松。

立即免费搜索

文件翻译

保留排版,准确专业,支持PDF/Word/PPT等文件格式,支持 12+语言互译。

免费翻译文档

深度研究

AI帮你快速写综述,25分钟生成高质量综述,智能提取关键信息,辅助科研写作。

立即免费体验