Suppr超能文献

LL-37 通过防止线粒体 DNA(mtDNA)降解诱导的自噬加剧脓毒症诱导的急性肺损伤中的局部炎症。

LL-37 Exacerbates Local Inflammation in Sepsis-Induced Acute Lung Injury by Preventing Mitochondrial DNA (mtDNA) Degradation-Induced Autophagy.

机构信息

Pediatric Intensive Care Unit, Guangzhou Women's and Children's Medical Center, Guangzhou, Guangdong, China (mainland).

出版信息

Med Sci Monit. 2019 Aug 18;25:6193-9203. doi: 10.12659/MSM.915298.

Abstract

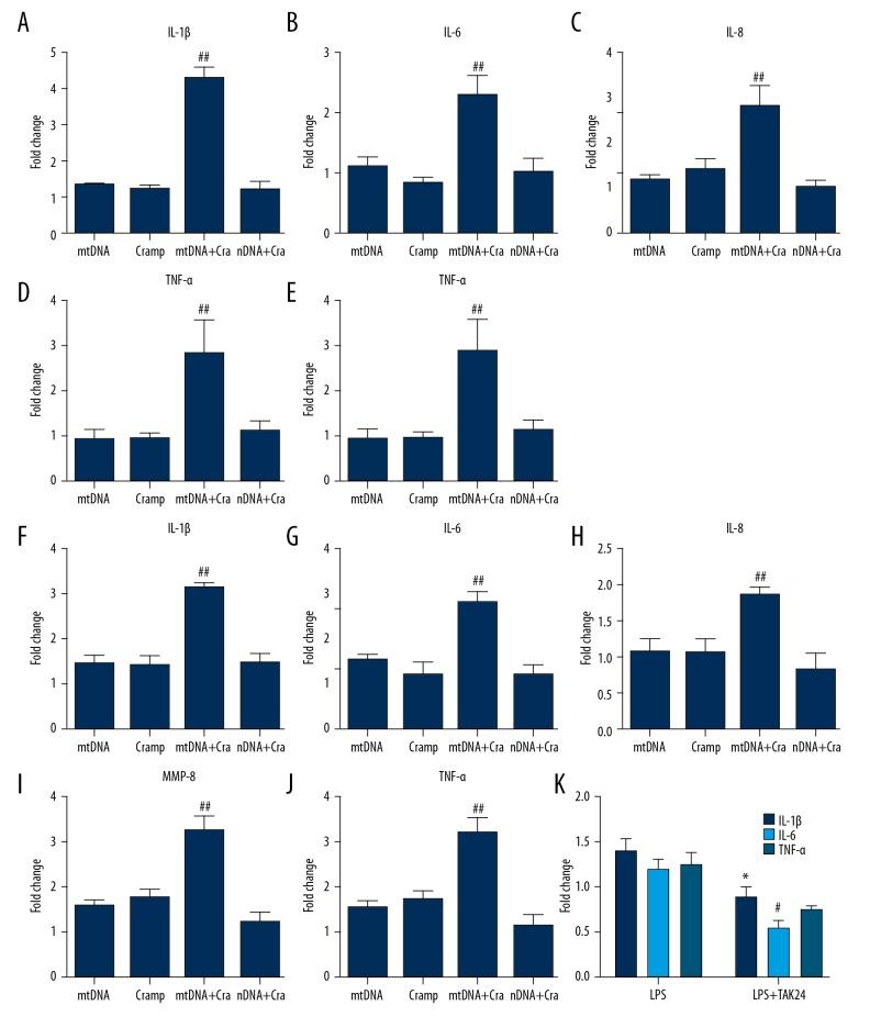
BACKGROUND Recent studies have proved that autophagy dysfunction in proinflammatory cells is involved in tissue damage and an excessive inflammatory response in sepsis. In the present study, we identified that the human antimicrobial peptide LL-37 facilitates resistance to DNase II-induced mitochondrial DNA (mtDNA) degradation and subsequent autophagy. MATERIAL AND METHODS We found higher serum levels of LL-37 in patients with severe sepsis compared to that in patients with mild sepsis. Neutrophils isolated from mice with sepsis after treatment with Cramp-mtDNA produced an excess of proinflammatory cytokines, including IL-1ß, IL-6, IL-8, MMP-8, and TNF-alpha. Cramp-mtDNA in the lung samples from model animals with sepsis was detected by immunohistochemical staining. RESULTS Exogenous delivery of Cramp-mtDNA complex significantly exacerbated lung inflammation but the antibody against Cramp-mtDNA attenuated the excessive inflammatory response in LPS-induced acute lung injury. The expression of proinflammatory cytokines in lungs was upregulated and downregulated after treatment with the complex and antibody, respectively. LC-3 expression in 16HBE cells increased after LPS induction, irrespective of stimulation with LL-37. CONCLUSIONS These data show that LL-37 treatment worsens local inflammation in sepsis-induced acute lung injury by preventing mtDNA degradation-induced autophagy.

摘要

背景

最近的研究证明,促炎细胞中的自噬功能障碍与脓毒症中的组织损伤和过度炎症反应有关。在本研究中,我们发现人抗菌肽 LL-37 有助于抵抗 DNase II 诱导的线粒体 DNA(mtDNA)降解和随后的自噬。

材料和方法

我们发现严重脓毒症患者的血清 LL-37 水平高于轻度脓毒症患者。用 Cramp-mtDNA 处理脓毒症小鼠分离的中性粒细胞产生了过量的促炎细胞因子,包括 IL-1ß、IL-6、IL-8、MMP-8 和 TNF-α。通过免疫组织化学染色检测模型动物脓毒症肺样本中的 Cramp-mtDNA。

结果

外源性递送 Cramp-mtDNA 复合物显著加重了肺炎症,但针对 Cramp-mtDNA 的抗体减轻了 LPS 诱导的急性肺损伤中的过度炎症反应。复合物和抗体处理后,肺中促炎细胞因子的表达分别上调和下调。LPS 诱导后,16HBE 细胞中的 LC-3 表达增加,而不受 LL-37 的刺激。

结论

这些数据表明,LL-37 治疗通过防止 mtDNA 降解诱导的自噬来加重脓毒症诱导的急性肺损伤中的局部炎症。

https://cdn.ncbi.nlm.nih.gov/pmc/blobs/f112/6711262/8325cfd2a705/medscimonit-25-6193-g001.jpg

文献检索

告别复杂PubMed语法,用中文像聊天一样搜索,搜遍4000万医学文献。AI智能推荐,让科研检索更轻松。

立即免费搜索

文件翻译

保留排版,准确专业,支持PDF/Word/PPT等文件格式,支持 12+语言互译。

免费翻译文档

深度研究

AI帮你快速写综述,25分钟生成高质量综述,智能提取关键信息,辅助科研写作。

立即免费体验