• 文献检索
  • 文档翻译
  • 深度研究
  • 学术资讯
  • Suppr Zotero 插件Zotero 插件
  • 邀请有礼
  • 套餐&价格
  • 历史记录
应用&插件
Suppr Zotero 插件Zotero 插件浏览器插件Mac 客户端Windows 客户端微信小程序
定价
高级版会员购买积分包购买API积分包
服务
文献检索文档翻译深度研究API 文档MCP 服务
关于我们
关于 Suppr公司介绍联系我们用户协议隐私条款
关注我们

Suppr 超能文献

核心技术专利:CN118964589B侵权必究
粤ICP备2023148730 号-1Suppr @ 2026

文献检索

告别复杂PubMed语法,用中文像聊天一样搜索,搜遍4000万医学文献。AI智能推荐,让科研检索更轻松。

立即免费搜索

文件翻译

保留排版,准确专业,支持PDF/Word/PPT等文件格式,支持 12+语言互译。

免费翻译文档

深度研究

AI帮你快速写综述,25分钟生成高质量综述,智能提取关键信息,辅助科研写作。

立即免费体验

卡宾稳定的一磷化砷 [AsP]及其自由基阳离子 [AsP]+和二阳离子 [AsP]2+的分离。

Isolation of Carbene-Stabilized Arsenic Monophosphide [AsP] and its Radical Cation [AsP] and Dication [AsP].

机构信息

Department of Chemical Sciences, Indian Institute of Science Education and Research Berhampur, Transit Campus, Govt. ITI Building, Engineering School Road, Ganjam, Berhampur, 760010, Odisha, India.

Institut für Anorganische und Analytische Chemie, Technische Universität Braunschweig, Hagenring 30, 38106, Braunschweig, Germany.

出版信息

Chemistry. 2019 Oct 11;25(57):13119-13123. doi: 10.1002/chem.201903795. Epub 2019 Sep 13.

DOI:10.1002/chem.201903795
PMID:31433085
原文链接:https://pmc.ncbi.nlm.nih.gov/articles/PMC6856684/
Abstract

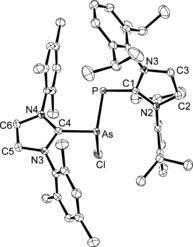
Arsenic monophosphide (AsP) species supported by two different N-heterocyclic carbenes were prepared by reaction of (IDipp)PSiMe (1) (IDipp=1,3-bis(2,6-diisopropylphenyl)imidazolin-2-ylidene) with (IMes)AsCl (2) (IMes=1,3-bis(2,4,6-trimethylphenyl)imidazolin-2-ylidene) to afford the dichloride [(IMes)As(Cl)P(IDipp)]Cl (3), which upon reduction with KC furnished heteroleptic [(IMes)AsP(IDipp)] (4). The corresponding mono- and dications [(IMes)AsP(IDipp)][PF ], [5]PF , and [(IMes)AsP(IDipp)][GaCl ] [6][GaCl ] , respectively, were prepared by one-electron oxidation of 4 with ferrocenium hexafluorophosphate, [Fc]PF or by chloride abstraction from 3 with two equivalents of GaCl , respectively. Compounds 4-6 represent rare examples of heterodiatiomic interpnictogen compounds, and X-ray crystal structure determinations together with density functional theory (DFT) calculations reveal a consecutive shortening of the As-P bond lengths and increasing bond order, in agreement with the presence of an arsenic-phosphorus single bond in 4 and a double bond in 6 . The EPR signal of the cationic radical [5] indicates a symmetric spin distribution on the AsP moiety through strong hyperfine coupling with the As and P nuclei.

摘要

两种不同的 N-杂环卡宾稳定的砷单膦化物(AsP)物种是通过(IDipp)PSiMe(1)(IDipp=1,3-双(2,6-二异丙基苯基)咪唑啉-2-亚基)与(IMes)AsCl(2)(IMes=1,3-双(2,4,6-三甲基苯基)咪唑啉-2-亚基)反应制备的,得到二氯化物[(IMes)As(Cl)P(IDipp)]Cl(3),后者用 KC 还原得到杂配位[(IMes)AsP(IDipp)](4)。相应的单和二阳离子[(IMes)AsP(IDipp)][PF 6],[5]PF 6和[(IMes)AsP(IDipp)][GaCl 4] [6][GaCl 4],分别通过 4 与 ferrocenium 六氟磷酸盐,[Fc]PF 6或 3 与 GaCl 3的两当量的氯化物抽提进行单电子氧化制备。化合物 4-6 代表罕见的异原子间互金属化合物的例子,X 射线晶体结构测定和密度泛函理论(DFT)计算表明,As-P 键长连续缩短,键序增加,这与 4 中存在砷-磷单键和 6 中存在双键一致。阳离子自由基[5]的 EPR 信号表明,通过与 31As 和 31P 核的强超精细耦合,AsP 部分的自旋分布对称。

https://cdn.ncbi.nlm.nih.gov/pmc/blobs/6f39/6856684/e123d0492a8c/CHEM-25-13119-g006.jpg
https://cdn.ncbi.nlm.nih.gov/pmc/blobs/6f39/6856684/505a3d861df4/CHEM-25-13119-g001.jpg
https://cdn.ncbi.nlm.nih.gov/pmc/blobs/6f39/6856684/0235955aa378/CHEM-25-13119-g007.jpg
https://cdn.ncbi.nlm.nih.gov/pmc/blobs/6f39/6856684/f18c64591e86/CHEM-25-13119-g002.jpg
https://cdn.ncbi.nlm.nih.gov/pmc/blobs/6f39/6856684/eac57b6a2dc4/CHEM-25-13119-g003.jpg
https://cdn.ncbi.nlm.nih.gov/pmc/blobs/6f39/6856684/73561b1ee41a/CHEM-25-13119-g004.jpg
https://cdn.ncbi.nlm.nih.gov/pmc/blobs/6f39/6856684/d95db6f24dfb/CHEM-25-13119-g005.jpg
https://cdn.ncbi.nlm.nih.gov/pmc/blobs/6f39/6856684/e123d0492a8c/CHEM-25-13119-g006.jpg
https://cdn.ncbi.nlm.nih.gov/pmc/blobs/6f39/6856684/505a3d861df4/CHEM-25-13119-g001.jpg
https://cdn.ncbi.nlm.nih.gov/pmc/blobs/6f39/6856684/0235955aa378/CHEM-25-13119-g007.jpg
https://cdn.ncbi.nlm.nih.gov/pmc/blobs/6f39/6856684/f18c64591e86/CHEM-25-13119-g002.jpg
https://cdn.ncbi.nlm.nih.gov/pmc/blobs/6f39/6856684/eac57b6a2dc4/CHEM-25-13119-g003.jpg
https://cdn.ncbi.nlm.nih.gov/pmc/blobs/6f39/6856684/73561b1ee41a/CHEM-25-13119-g004.jpg
https://cdn.ncbi.nlm.nih.gov/pmc/blobs/6f39/6856684/d95db6f24dfb/CHEM-25-13119-g005.jpg
https://cdn.ncbi.nlm.nih.gov/pmc/blobs/6f39/6856684/e123d0492a8c/CHEM-25-13119-g006.jpg

相似文献

1
Isolation of Carbene-Stabilized Arsenic Monophosphide [AsP] and its Radical Cation [AsP] and Dication [AsP].卡宾稳定的一磷化砷 [AsP]及其自由基阳离子 [AsP]+和二阳离子 [AsP]2+的分离。
Chemistry. 2019 Oct 11;25(57):13119-13123. doi: 10.1002/chem.201903795. Epub 2019 Sep 13.
2
A modular approach to carbene-stabilized diphosphorus species.一种用于卡宾稳定双磷物种的模块化方法。
Dalton Trans. 2017 Nov 21;46(45):15859-15864. doi: 10.1039/c7dt03436a.
3
Heteroleptic diphosphenes and arsaphosphenes bearing neutral and anionic N-heterocyclic carbenes.带有中性和阴离子型N-杂环卡宾的异双膦烯和砷杂膦烯
Chem Commun (Camb). 2019 Sep 16;55(72):10709-10712. doi: 10.1039/c9cc05739k. Epub 2019 Aug 20.
4
N-heterocyclic carbene and cyclic (alkyl)(amino)carbene complexes of molybdenum(IV) and tungsten(IV).N-杂环卡宾和环(烷基)(氨基)卡宾配合物的钼(IV)和钨(IV)。
Dalton Trans. 2022 Dec 6;51(47):18337-18352. doi: 10.1039/d2dt03409c.
5
Halogen Complexes of Anionic N-Heterocyclic Carbenes.阴离子型氮杂环卡宾的卤素配合物
Chemistry. 2021 Mar 1;27(13):4349-4363. doi: 10.1002/chem.202004418. Epub 2020 Dec 21.
6
N-Heterocyclic Carbene Based Tri-organyl-Zn-Alkyl Cations: Synthesis, Structures, and Use in CO Functionalization.基于氮杂环卡宾的三有机锌烷基阳离子:合成、结构及其在一氧化碳官能团化中的应用
Chemistry. 2017 Apr 24;23(23):5509-5519. doi: 10.1002/chem.201605907. Epub 2017 Apr 4.
7
N-Heterocyclic Carbene Analogues of Nucleophilic Phosphinidene Transition Metal Complexes.亲核磷烯过渡金属配合物的氮杂环卡宾类似物
Chemistry. 2020 Nov 20;26(65):14878-14887. doi: 10.1002/chem.202003099. Epub 2020 Oct 6.
8
Isoselective Polymerization of rac-Lactide by Aluminum Complexes of N-Heterocyclic Carbene-Phosphinidene Adducts.氮杂环卡宾-磷烯加合物的铝配合物催化外消旋丙交酯的等规选择性聚合反应
Chemistry. 2021 Apr 1;27(19):5913-5918. doi: 10.1002/chem.202100482. Epub 2021 Mar 3.
9
Stabilization of a bismuth-bismuth double bond by anionic N-heterocyclic carbenes.通过阴离子型氮杂环卡宾实现铋-铋双键的稳定化。
Dalton Trans. 2021 Feb 2;50(4):1202-1205. doi: 10.1039/d1dt00140j.
10
A General Pathway towards NHC ⋅ GaH (OTf) Adducts - The Key for the Synthesis of NHC-Stabilized Cationic 13/15 Chain Compounds of Gallium.通往NHC⋅GaH(OTf)加合物的通用途径——合成NHC稳定的镓阳离子13/15链化合物的关键。
Chemistry. 2023 Sep 21;29(53):e202301752. doi: 10.1002/chem.202301752. Epub 2023 Aug 16.

引用本文的文献

1
Synthesis and Reactivity of N-Heterocyclic Carbene-Phosphinidene Manganese Complexes.氮杂环卡宾-磷烯锰配合物的合成与反应活性
Chemistry. 2025 May;31(25):e202500997. doi: 10.1002/chem.202500997. Epub 2025 Apr 3.
2
Carbene-supported triphosphorus anion.卡宾支持的三磷阴离子。
Nat Commun. 2025 Mar 8;16(1):2321. doi: 10.1038/s41467-025-57660-6.
3
Rhodium and Iridium Complexes of Anionic Thione and Selone Ligands Derived from Anionic N-Heterocyclic Carbenes.源自阴离子 N-杂环卡宾的阴离子硫酮和硒酮配体的铑和铱配合物

本文引用的文献

1
N-Heterocyclic Carbene Adducts of Main Group Elements and Their Use as Ligands in Transition Metal Chemistry.主族元素的氮杂环卡宾加合物及其在过渡金属化学中作为配体的应用。
Chem Rev. 2019 Jun 26;119(12):6994-7112. doi: 10.1021/acs.chemrev.8b00791. Epub 2019 Apr 15.
2
B(C F ) -Enabled Synthesis of a Cyclic cis-Arsaphosphene.B(C F ) 促进的环状顺式砷叶立德的合成。
Chemistry. 2019 Apr 11;25(21):5445-5450. doi: 10.1002/chem.201901022. Epub 2019 Mar 27.
3
NHCs in Main Group Chemistry.主族化学中的氮杂环卡宾
Chemistry. 2022 Jan 19;28(4):e202104139. doi: 10.1002/chem.202104139. Epub 2021 Dec 22.
4
Synthesis, structure and bonding nature of heavy dipnictene radical anions.重双氮烯自由基阴离子的合成、结构及键合性质
Chem Sci. 2021 Aug 30;12(42):14024-14032. doi: 10.1039/d1sc04230k. eCollection 2021 Nov 3.
5
Carbodicarbene Bismaalkene Cations: Unravelling the Complexities of Carbene versus Carbone in Heavy Pnictogen Chemistry.碳二卡宾双铋烯烃阳离子:揭示重氮族元素化学中卡宾与碳烯的复杂性
Angew Chem Int Ed Engl. 2021 Mar 15;60(12):6682-6690. doi: 10.1002/anie.202014398. Epub 2021 Feb 9.
6
N-Heterocyclic Carbene Analogues of Nucleophilic Phosphinidene Transition Metal Complexes.亲核磷烯过渡金属配合物的氮杂环卡宾类似物
Chemistry. 2020 Nov 20;26(65):14878-14887. doi: 10.1002/chem.202003099. Epub 2020 Oct 6.
7
Group 13 Element Trihalide Complexes of Anionic N-Heterocyclic Carbenes.阴离子型氮杂环卡宾的第13族元素三卤化物配合物
Chem Asian J. 2020 Mar 16;15(6):845-851. doi: 10.1002/asia.201901774. Epub 2020 Feb 20.
Chem Rev. 2018 Oct 10;118(19):9678-9842. doi: 10.1021/acs.chemrev.8b00079. Epub 2018 Jul 3.
4
Intercepting a Transient Phosphino-Arsinidene.截获瞬态膦-胂基。
Chemistry. 2018 Jul 5;24(38):9514-9519. doi: 10.1002/chem.201802175. Epub 2018 Jun 5.
5
Reaction of Group 15 Trichlorides ECl with the Anion [Mo Cp (CO) (μ-PH )] ; Synthesis and Characterization of the First Complexes Featuring a Hetero μ,η -PE ligand (E=As, Sb).第15族三氯化物ECl与阴离子[Mo Cp (CO) (μ-PH )]的反应;首个具有杂μ,η -PE配体(E = As、Sb)的配合物的合成与表征
Angew Chem Int Ed Engl. 1998 Jun 5;37(10):1428-1429. doi: 10.1002/(SICI)1521-3773(19980605)37:10<1428::AID-ANIE1428>3.0.CO;2-3.
6
Phosphaalkene-substituted organo-group 15 compounds: synthesis and characterisation of (NHC)P-EtBu (E = P, As, Sb and Bi).磷亚烯基取代的第15族有机化合物:(NHC)P-EtBu(E = P、As、Sb和Bi)的合成与表征
Chem Commun (Camb). 2018 Mar 8;54(21):2659-2661. doi: 10.1039/c8cc00899j.
7
A modular approach to carbene-stabilized diphosphorus species.一种用于卡宾稳定双磷物种的模块化方法。
Dalton Trans. 2017 Nov 21;46(45):15859-15864. doi: 10.1039/c7dt03436a.
8
N-Heterocyclic Carbene-Phosphinidene and Carbene-Phosphinidenide Transition Metal Complexes.N-杂环卡宾-磷烯和卡宾-磷烯化物过渡金属配合物
Inorg Chem. 2017 Sep 5;56(17):10785-10793. doi: 10.1021/acs.inorgchem.7b01798. Epub 2017 Aug 22.
9
N-Heterocyclic carbene-stabilised arsinidene (AsH).N-杂环卡宾稳定的胂烯(AsH)。
Chem Commun (Camb). 2017 Jun 1;53(45):6069-6072. doi: 10.1039/c7cc02628e.
10
Synthesis of a Molecule with Four Different Adjacent Pnictogens.具有四个不同相邻氮族元素的分子的合成。
Chemistry. 2016 Aug 22;22(35):12266-9. doi: 10.1002/chem.201601916. Epub 2016 Jul 21.